Skip Navigation
Skip to contents

Ann Occup Environ Med : Annals of Occupational and Environmental Medicine

OPEN ACCESS
SEARCH
Search

Articles

Page Path
HOME > Ann Occup Environ Med > Volume 25; 2013 > Article
Research Article Association between work-related health problems and job insecurity in permanent and temporary employees
Won-Wook Lee1, Jae-Bum Park2, Kyoung-Bok Min2, Kyung-Jong Lee2, Min-Su Kim1
Annals of Occupational and Environmental Medicine 2013;25:15.
DOI: https://doi.org/10.1186/2052-4374-25-15
Published online: September 11, 2013

1Department of Occupational and Environmental Medicine, Ajou University Hospital, Suwon, South Korea

2Department of Occupational and Environmental Medicine, Ajou University School of Medicine, Suwon, South KoreaJFIFddDuckydqhttp://ns.adobe.com/xap/1.0/ Adobed     ! 1AQa"q 2#w8B36v7XRr$9bCt%u&Ws'(xy4T5fH  !1AQaq"2B Rbr#u67Ѳ3sTt5v8Sc$4ĂCÔ%UӅFV ?_Aנj- H>>,m*>fzp"TrKkr^r.|_&]|*vPuܶvoQ1mwVJUhu-I"=LniAƕ8"۲ k*ҿ[yu:.vUQ+)%F DHyVBk>Hy8jݹ q~9D4KRmzQ)^ʔ.J%k_tVi5NTjg!'ky|5asOȻ)R۸ߩFMԿ3L4j6dڜ#NIwUF]JqB/(FafJRzq3\G՛ ?~\ 6)6W4m[O^L0E&rRMض*C .]Unl-1 1r#Rj/&QɈ׉˩s6Rj=5Tg.y.·Pӡ:JJS:C8-2u]d&vUz;7p9 5VnL֢"y)">iי(IDDd| Yj0; LRfS:ktYK%*N2^m|&dğth":ey)uPQZW)gcC3Pv&MMWd&Ŵ۲mvTRoժM03*F3Yd6\8,\hݻ kߔi<k NTwSԪmljj[>->ptU%'LR>&EBH$MQAUx[$Z6vi&_a.KIQ{hyƒ j"JOC9eFҝfj;˚Ω<[3_m% lQ@4g=5$(J]Yc-OMq<Ǎ wSzڗ)k$7VIP붾ͯnV+卵*t]iЎD31~SA1éC2u)ʼnQn-Uoi3:grI8ؓWm*G zܕ)ZקJ}Y YlGeJ6cB2I NS3Q>k=KTBT]W6+SOXQgGR? telˊ%-Re\hѯ2TF"C/OJΩ6r[N.0{SpljjX1“jOsӥ;ҭhe}xu`Ք&.)yO̒ Fߑ.$Qw;9Iw2o+RVJMSOj[SoҌZ%;`d$blQ{Ro{Imڌ>3egf\O֝Uzx"䢸g+mv%Gʆ:|V[N'&ס-ޝ'kfE|K,G&˳98Juin/\\Qݿ̋v~Ǩ!rtWU d|E߫R4d}.qPw*Ӭv5YEcn~f5c%MTMkb-F>5JT,})QHg%{("ӔȸWMsYyWNRrkkJr0XドnͫT}r-jj,Ŕʍ\Q2Ri>v$5!]"JB2WɅ)]VԜUc8i|.jeRO6^V.¸ Q&#|ܶ-*uOG%JAtRZRr]FFG\۩w+?'zչSѧt jz>KW&ot{7P&2D;&\\>Q2JzܗAKSfeNn[jRrԕf6,q,F1tRfԗ>vֶևj-&R'Zi2=xv~Elbsvm8=ӛ"ū񕜈BȩlWau[]ٷBߨF~J!|Ipr3R̴#Yp)={7:G{+:\W}n|Q#%)7^-h"Ƒq:M*%J&$T軨I333׎g_- ucBwwjp[6i25$̏bU’ٱRv?G\~#Iͪb7<<}Ezt" q_Inw,7-d,G÷%T* Wg1"䥱kq/A.,_KhqŒxwvo u2ۥۧ.bQ}XκA$֣ +K״ZUNmڸII{.v{5z5ѮRme[moyƾd~cRݾK'j.\i&/S6f|b=5: p!6i_ 4j6=.si˧eƾtS^c.Y^RJVS-Vi3,esi08?H$GvZgg?gi䤟2adw릿:"۪lkSN>q-4kI܋ێe̊qۅgDoѨ9; #T.Q;7#~_Ufstb_'w~Xw1Xk,vcOt._}v}8"(4Z\ۘgk?J?bm_c!g{HZV]Fkk%~gEt)b秴vΰB|꽸}mp~E6ݹv;7P٤v+ri*3Ԣ|'O14_~7nP{7ZU\Vű[ +7󖱅o#:ǥŬ\|3r%TJX]V7ez¨Y]lc|O3V! R zbJ'PnGqVJ"19WVeOF埜EaEJωqCN5Z g-9[S<$sUK5b|7sn\7x qmv##FF\ w[=-43$^ooVSiXօv7iB۴yg>]Vf"r$J3""32!Zh[K%7GvNLs+4nB/B{vlsobJaҺJR:0g%&zR\ S3T[&ִor*ⷳc3ʊO[iozW٨%$gn:ܶWwFBԹjHP&z u&F2\f;ipW73 [; '_̽b;vib!oec dC-tS__$Xs]l9&z$2/N>%'[}b{h/{`{Ji׉׏ YJB/X%}.|+{(S:qz]4_Kѵo`^tY_4S#* ^zvݾMr+TrkQ g.8Ͽ^i>ӈǙvix>$o( ^qt*&t1oJVu-ql5U6jCЉmĻ*"?JT=K'O/|=Vo}l0b}}f?X[?/\JSBe,kP8ETJ==?.p5ފgbU9}ǶdNKk—_$8̸͓ۍ8Di\BԿ-1v{FF]|.^ۅ{vl12׏z7-R7wE?\nh\jN/Kձr_oBw"N QMBZqe-m:ӨSn6j4%!hQ;sv'm4kcM=!8\m[M4{SMliۇ%eֽR&N:{2A8)THLK3Zj[jPBx#BگMf:G1\`edcʮ?|w(-̮vXt,bW2;.ιNHRR#YwTM"<;mk\.foIDjmlJ;vxy7o7i\,KQŊ9d^Mmgc L*.T6tLeIuOH3SJQ3=F/ʿ<9\JM6mN6=<{xkP!F1QR[I$6ُimXu2An2yԒMU q f[IB-'䤯jYm52&JG\zд\~vdg QtHGXw&1Lw+nDEdC1w|YJmvP)HZ>i0BPβә?R:QO["]I_Jʏۍ>QKyu^bycBq4lXF~l [\*N>-J6,Gq(Zr5h]CwYӤU~ʶߑ u*SIv%ZfJ7)! FS*s_\|IŸZ)J ]ܜi4"z[+Z,MOZ))}|Ʀ(RUNIII.S'ˍO~˨rn}M)xxӕ0 eyҵ7YMAB]ӣU:/ѭ*6bcwP͵ "+qēVjŹO|GtY4V j[mLV M -m>",B$ GD1~j6O4|LxnNmqATNR3ε|DŽa[fmn-ڭ+FiK7Pcm;r5 l8r{#-]'nrFh2ruycb;pW=njRqRJ(d mnpckNnʹ+6]tz~E=ʕ l ZZ5jSi3#47.Lcfe`9؏v囜.F\-UZ:*0_<Νu9Lӵm&)_3\^ҹ3"1n1v_|uRʞͫr'iȧN_kH׺8xXrj=\МH)V\ˬ.Xʸ oVRC}ySU9/OBY먌5 ٿwޞ)rw8Ӫi5*5ZΗcGƱ !ZۄlmpjJ -l <R̵/JAպZuq\IdUS 48wXJJtcg4cI~aqߓwŷrm-v)G7yS^7H^-\mŌAq|"m9IBnF㏉9[N+mmy/!KKۉ%n +BdddfFF6FQRN-U5;Sv'm4kcM=Mn)\qιqUd9F%",6MGdT%-+~ f%+y֛^3SrF>6lc(֪vۊN;g._0Sѧ]ETWرkQKzGe9ʨsKA"yC y2\[5 rԭ7Gk5Mzw_4sM3hxЊ'oÍ5jsub )ͪ~tR2H]R͍>̋m6=%(˿(Wrr-܅y5(ܔJ޺YunW̹븹NsqK ]/QR#"ZMDfD|43Qw|._ԡSqTZBg??O Ϥ)/E_U|i}2 9Z?¹0:x'3,whǣ?C y-A~=daJј&M?D1_PS+Oi&;a @;Dž7[ zZC"bv:jjMQk$M RԸ3uA\=wI.AwC"^.{?-\NSiˏ"b}T/}q/ o.1M}R%:-ZniʒL$SgrBW*,Mw'N\ɇ{s\j]VryG'8f`}'N<*/`U숻z CwHq18J+vԕKss4R53/&XTt1bZƟo\=%nO)h$rBi-nKĪ^ ջڜlwkYm[̑+/QrZo%TQ;TLs($2C:s.%+eoNttq۰kK7O0m_t_pZ1SsSM7"mevFZ[w -FJ*T*jФQRg BSu|]g:ɵzjqwmltL.e3sRMچkSmjkmWœިm++¦'tILk*բQ D,PB\lI[9{%Gb R6öۍmX-MaʉA931cs..G4CujQտ[9 }G-xwl)IQz j Ó"rqe&=]꾧֎c)<kӳ+0JrRR3'TnXi^xMF Bު*tIL.[h"2"nKzZe'ZV/RrNYz]8죝n]Ķܩ>^Ժ]u-7^\mZjܣ9+Rmn ߑv?oꋘ?&ƪy^N4o=3-ؔ̿*`}V݁ ƒPu8%$ ݗ]wt;\y\>='OjPIp/nJU8{϶FNMsf"ίNqƹ(+ ݮF2Km |jܴZs%zf*eȫ?]4)I۵nR&FX + [jDh(#哑9q9Eծj8noǕZf\J-l&Z˫}`ӎhyrΉn\űn]9pʌӣ"׮Wt?N4_I_~54#/my1Xr*척aS#DT >q ssΛW;3oUaJSRMDgQnt:Ql,/ ܷfRqiM Ȼ>Cob;A>ڦWقM9X~/!'MW.}Vrߔꔵ!5|iB(0-zF=}okڢE$^wW~nokY߮\6՜̌{i-AF*9)\t9IV6۸5ZUF6R$ŨQIq砳YUZ]eyv >hI櫥N )&l JulwE1GDOuFN2| }馥uC1rޫV+^gdb&W[4<^e4YW,d|htͮsUM)۸8:{3d{AѢ)~ \#J=NdƮꮓ90 |1K$v*?мS ]i$J,C,SG?/_՜pMSƯM|mG1V1$~K>CSvkuj=&) -,yLjuFHK{c駗.SOua;BrSqj-ۍZ#'Jys7[g2z/.u4+XV2VQ.ޕ)$"(%)#Z7suZ%j }BǬݕe)Jvz8zJf:hIN|svO1O#IEcۍjݽ:SdὮvu^@:o^5cs>i/VqmVm]ؔܢn6'vޑ̗J4Wn@OlKbX ;n:hgJ9ŻyǑz8f܌q&Y fN0N;[69 rbׅC2/#kE l&2~èMR.*%g=Ft.%؝e8<.e=Uv{~㻏"EˑnvDѭ͜Lu3u0:U֝$[M5<:oi+V4V9 6nXvx&_ q Qqw3W:uϔ2yb/(ɳ|5zQiJ#r|Hw#.W?4aDŲ\ugWG;Cw鐢K|xg)##=O.dF˟jMUvWĻsr.z]kPc9"]R)mkfOd*uYf١RsB Aîh=k]ʳUrrZsq`d#r$/Ը3o^&lRWȍyuW̦Y4QDUMJ65ƒ[+ygk XK_±k#y:8(TJOSQhJt2.DR}"5[) r)6V6u5k:eXZmv𭤔!푊Q[qQ}ҹLE- 8qIZG|UM4j}Mܕ[Vwm{} Naqµ"ԈM zOpKѰ?IAD3Ir0'/q1itoB5{%wkOBn-ۜduqIzYK60{+DʕܞqIt";r1mG/\/ym[6JƫR \L=S=OT@Ix[TMm{>ݾտ֒ݸӉLYIx>+"JVNzx||5rI?C{oz8۹e\R-^\A2F R+N9 vlT]"ۭ d)t֞i #E2jB@׵=#/N+!ĕhx}I!cM`ąZ*ŻɄҒ߮Y.Z}='/oۙ3IpW̮hT7cTSuz9>B}΄&h!>lӵn~j˅IvU.'v'CSZw8QK3G> ,J59ٷ+HSg䧎hJdzvwv-cvxS5[̊n~ؿ%ַX?O0\6ne 6kn9.ϯ} *h 8_QhLݣ7q +=XBҲ5?[[)+F`=4 }B,sNg==u*Nj9k_GJ)+R~GSPBȒZ:(K]heL=vKPӢwq(NrG^ثϣ?#tC?.ͼ[ۅo؞y#%ǛjVyLSw%T*s92JTM%"YkQО.q)gCͲn8cgi6j1MѾ[{9h^vƘǚםidfi.^RHmg&rׇz:}݃}xT$ضk'5s-狶,\vpbPD،=Okf.c#cdz2FK5T!&)|ntD<+OŹU i-G[EE*FDfeaf2QƤM\UG_{ǹm%\yrGy:.\4wjPGUJޕUV7Do\7Vy_13w;[?c]H\$IJ,*L]3b%L{y.JRKG2sq,B6T}(#nW|km+q5] r㪍bJ@y{byz,b踊3ϻJ,'^xd،)JVw#.Vټc''ÝպWtbRؒJz۠8!o9IۄS95E9ؔ-e9JR{dmnッ<[~n${~Њ$W?&ՐY_? #a.ߑv?oꋘ?&ơ|y^N4o=3t=~7!/M3>n8W홎2M`Qx+ z qy8%]7_~540ۦ彷]Wq CѡwkďyF5Dum_}~P(5.(X,K9vᯐ?leB9;Jhm#3{CxGE-S{;@Fz˙]=O'!ɿ]' r`:7'2bЖ>Iy,/eTy/V<.H?UYY{\^#ѣr9^7?xoRȆ7EoS_&??zϾM?(~Q-K&>"~aߨ t7Emsϛ+?;fCr)fY+>z$tIkjn_>vnrֳki-˹l= t;'EyC¥|/BLwBJdgjۛ$s S1|ɍV%JI6KvəhzIlBYɒ|0"Sy0F>eo5W)O+X˻u';v)2vVq۳kۮws?UʑBǴYO漪e2MIjPAک\b1)DDؚKm6ZWΨgȕ۶yjڳ 2ضN[C[|r@9Jfo<_eI7q.|cÊV߷:i.:$ȋ)1%%)ADZCEBxJ0MJۥy(bNsKM9k43IwNt.\%N簤I'.j|ƃ2$grBEٌ\}9:v*!n7M(ɽ]7c@XxƱԨ37īf62cTTfFK]9wntQHͮvٱI/f|j=7}\_V5U^+:uljSȃY(XI.ȱmo1甅jڎIZ2>#\*:gY|4k\8ZwSqtyA!+];бޞKծË¥e)#5ap.QK^8VdU{*ѽL\=qmjnB5>{ Ӟ`v±5 ^k&O~Oshɷ,;6nOW>u6{RqS`)S%jp\ipdEBLfTWy$GIYw~䲭J.1vSY5z.V>^+Ǎvc.I[R{QsNR3ӎfhd>y?UJ*}~[e\i5U^͛E]G_FS(Iɿ]i8:4zj~շsW,ˆsy:%O}iur]iF5~3M:Ӟ#N06)4ߧgdawIotiz:1r5YDZLHBSi;NQc44la=Y kQIT*ըl:tq2(է9VO4뒳܂~2rq'nrVZŦ[t7\oլfb/mlpc.I8콚q^1iE~䰳mi[dۧw֤ICfdFeCsg:i| 6擣׋* 96lust^{%99UNRvaMܽo ammi$em4D6DD\nA%$$#}۷/ݕr99JMն[oT޲E"KTaP+HGkŴj5TM5xƱOS-k`ۛkٝWz;{kS}F;~q|~^_|euwnE'pSupUP)V]vE+t =ZRaVdG6= *.ϼnj9:UɷbېmF_tޫgHjVS'śǕًdkkѻ_]Kv?nT>)^e=Ar1'3ԔILyD?:-^in):{7.؂\.:V }#뺾.3r̸*xbFM aȵz 6SQ:ײj[ 8nn iFMw rR"5M5I旘35f^j='j:nNW.ʭocZvZKV^ɚJ.cM1ZI7E'6rg탸5oZ=[m Z`\hbMUR١Ȗĉ):Jin!_7Dй+f̷eKҷvͨBPR(V`y6tw*MRΝcB.ڭTnc;P$8nFvm4(D(R#R-L -2:FP lxZKQc6I("Km%$E, 78uXIFA$RQI$JbInG]c[ֹ:ZM+n^')JmJMJRu{e)7jQDw~%yQl}BZujSSf۩QZ+Dzhd5o%BIc'GZ?}΍:>Ɵivז-%݌J5MqGWTVʦh݇ܟ~Օ_6 n'{3~mϬj'J11OȻn߃r Qr\3y٘+WӍ'WxEs^O3 o~[|7>]]H9݇ZomT@]?5B:Z߂'`V_+/MSKX߆ޠk3?o7y:4R/7þ] iG߬aBRU&?r&/} cQߥGj2?C5Yśe7hU=?+ x龳f-܈czW^7p%-(\D4h{UK&ӡn^m]Fݢ:`δvj俜F+) y[{{ 7 tu>gvrěOj'5 iRg[ͶFjGe n~qT$ci ۚ0oԹc*jL[sVWqj\ݻ&6"WoK:cnWmrv)o>66(F>=W^bf#c zzʞtپy%mՉPël e}J.\Zk4ttt>oEM=q)hJjI=ͥ(%]脼_88ф;͛gWG;Cw~˘$4=uWdĜTثNDkiQL9U*O"4XP`02,Ge-k5$h>ܼ]3vr6!9RQPIVSnM(ۓ{>;/Qͱv{3&-[rc)ܚI$n{Sv3[j00)-D3z}MRzVQпj,T[uVs0\}Sid;r(ݝJ>æʺL&c[jPK0~d(FKÝW\m]GTcF|Iׁ)I3~#oX%vҦEݑؼ5Żv2qAZTE^..M{ʐfȏ2##.R}*KʛZz^ӞN*lPťLf\G6[WVQquV]XAi)5J!,$iJ6o$tPZc;Kjx_n3`qIelV~vLy{fn匋Ѿn%;zV.n'-ұdd2߽1bZksPe3TI9)$ԩIN9Vơ\=2885N\ p)/a柛w9g_lױo8ݷ iixJV& ғRi{N^_oAŮE6Y7I$Nk$|Q)-*4Z)^¸%4Qm [I%.c-OV+C֧R#%ѨCe3i;w$G+_dy| Fzj$DI(=OA gj%v/]8qԯNIS*֩',Q%\44ZZ%D|Ǧʴ6&vֵI$%8(ԬƾS&#Z. }6z?b/|Jl{ץv&mpx4Z$”ڝ4-H%dGKfM:sKSRWeJAn]>s6应-W9'H]'uȫYvgK^\czp|My\鏩w/ËQ.)]\QiS`8uL뚛̸=J"ܻi\å'-)54Ue]:K\퓡vK xwBqrH\*֕TnzC.mT=t-H]SČ~Nu╏NÅ3f|͡G~B+Xm[Q7U{9"~jgK Zoʰ7"qJ,ekSeNGgϳ] ^.6:s}_,%eRg<5⿨z{ZPun#jRІ.6g T.!]xa c#jN$Zpl̋H WZu8WmMRýsĮ?Mco~sx TU҆Q :KDG4n42.<3/'^?6/ܠڒ^yrrÿr2\D}}B]^E~^T cɛ7϶Y[<֞[7d}2%QPqOLEQR\CIsj1?\}%tJ0e~ *sk"*)&ۓEi#{1J8Hrt|'ܝRr8)=ƔN'RVz:cf]F7bZyZUȘ4x8,#JG̒?.W9XnO]KO]%]ƻ O5Γ/3qÓj؍/r̺rƵ 5\&m6h.xoeX[=<3%< lZ"2h\Z[&jW3ejm?k&[]ųj+{N{66leu_+lj]q* 7g*knأYv= q ەdxЬZ|%GUrQ3jLŒqET]1% qkXYūYc[7Ś]QY\jko\</Lc7+'hMSUc6qXyؙ~6#ѯv.0$BQi5YyIhɍiy=KD!n3Vm[V%W-B%swa97ajۗ m+9~]fKq|Ddaˑ0A]_v޺mM5* F-BYHJ5}q>ʉ.6hyDmpD׬'-_v5;5[8K[viJ.3dR:oYHHh9I7:۽fi+wm^ [)odPѱ52CZUJicSw\&_s0uBȍh32džzQflcd^m|7GѹE!fO5]]H9݇ZomT@]?5B:Z߂'`V_+/MSKX߆ޠk3?o7y:4R/7þ] iG߬aBRU&?r&/} cQߥGj2?C5Yśe7hU=?+ x龳f-܈czW^7p%5|Y:SJE\U-(a_cƣUǽXXKiȞNlmۊڭڄR!**ܤMeȽ$|X5(Ź\rJ~ܮ]>'HB0cp XFr_c?f?7<ukSgov¥iG>>䙗i.+t+bOjIܶ . i^:nm}s}(3>NZ$2Qg([".>i.ƾ)B̋M8+"- >eE6DݥJnJˣt׻ 5.˅nJGwZD~!i۶a,Db3ZQ3O#KO5/֍ozuK'GbRi᝘NV_ҝcvם ZoX}F6z 7e5_e:ۓj=AB+iܔERadMBq*ԯ DwI/Gy*mĥiRKg6skY/#SN4e$-yXM YL?^ĸNNӪ{$r1JJRSLO]Aqm>V/s[~i/j+m>z}eI"Qvp]{ZԼ:{vPAG2=T͡@ڐ#u"E*>C;o$~C#_d/HBq^YRٽzIKbOm\~żjFFGdiQ(*/i*#.FF]©m=BmpQQQSP&Ҫ!T&^>:y)$ˑÐFčI Bӡ-t!bM WҦŶ'UZ=}zvn~oT/\ǒ'nr8 AJIӆz<^uߖ4eFC1i+v!3qNyߕni?4JZlmYFXFۼO0B\m[ tʄU3s"Sr(NJ;SKW72L4̏BVdf^Ҹj\]ȱ۪(ӷm?J-KEmWڽ^4<8qu%9pŹW~877ܾeVгS(յe^C]yX͹! םm4FGȋ\y'Z FX7e)|Gjt߹#gb\ŧq_([R8[qU$Z (ʻezV2V!iQ,i$JE˂٩ a(GK'O{vnBvryRd-RK4=qxZJMl_CuuIz @Rt㮽޳!|68\-l[џ84-2Pu" RJ_^OL>G1~XnBŬw6J0*Uvlږ1N G1q9IUm*'oWu][&UyYZbBZRZNfEJf"+2nF~Eû7n1xv.RUM$6 lAxSQJ&n5ܞwlEói"#>4׿Q.nEq7Oko[1wg8ZQwZYiqtm&~">Bo?w͡ni2峋NCEy Ҕ+%ZJ ʩq*fpˤl,~^Mχk1+:ݕ z&Y`KLӪУDr3[*Z :(SL&ݻ۬Vqsyԭs x|iI߽zZrg.:mp%6ԜvgmpIUt;QbS.Է) ǨKSV,*lڌ|5Jt3#NP.=+OZ~/G سIgbꥹJnl_DUM\iM!֔wVZuԺ,yV.Q>f v:݇WiaŸN5Ҕ[M7SsrvǣrMW= \8ZW-jsnڕ.ZnF2qt ً[ٻޘY۷Zm"Jxr&NAfA-݌to9s359݆mZ+N1-qS$D=17 x׵+%_ ve4ir6Z$FDڗnFtOr'7'{9C˨ꤡaYoace{Refnft RR"4%ʌm:Sj3)OdInTO>X'vxV#jܮw9Fog;5.~Y5\~18YQܹvj4+~t7S ﬕs %^۵ڴDZV69R^Y+rj$ԇoJKR5wB9C>Y:l+EǎS{ʲ{T6Wi* ^^9k/y/Cs\g*qڵgn4T8mERr|Ti+iPe;;.i\EBEJ 丬i9ɧM-ԼsGDrZ>r#R>~X9y4b棇9JwV۔%m(b[Tjvl}۩~nDԺ{Zo-YuK1vx.nWuO+jN [ٮ0%"΢CdTJK-RަH"$I(*ve &҉FzB,_Vpqp9m8werv')E;o&QE׵^d9˦j\_,ڵugZȻ̧8k+jK{wmr@3ӭ2 wFkzFVqs1؛.v'I%$[iT]D5Dl2 nk7qUxԫLS+sا3/ΖeZYK<["%-g/kRs:f3;*E ت wJ%)5&+&rw*霣i|sMҴ|;R+fm䡩.!**dӶ-6s6,]zAXMWjmnz%SJߴm2UXw7MQ%<!tKys#P,W>s;3IYwx<+i_\\\U6 u7P|xbn_k&ӓVOe䦒 VUr,-㘘"-LZeOSҠթrEvq8Kf%5%&K"#%vD/.ZYYŏ+p$nZkvއuW9㓱Z G wYIFyf)?ƎUm5ԉ/'k84{KO:rQI}XRuԪ|*lu)3qZ[mSm5R3".Xcَ5c®ࢫI*۳~wRϿQWޝ(EJrri&ۥ^ʶ齲Im|[yb;mnm֩uiܘq>E+Ikx߄3r33-5𹻖09ϖ9[Tz~mr5NsWl$oPusޛ^{Z;);sڹf\3oٹZmԉ/'k84{NO:rQIBø8Bݱ3n֤DiK4u& ofSȒܩx<˘|N0Fչ]qsp"}! QWw@t4ӭ+cO5%]'*{eM߲DRO1y*q8w++e!c߶ܪlZWّM欼 CQ̼빶lX{vib/V/ ai;x6~]+z]MWB>re-:lgk}պ!#9?%܋V-c[z!W?c7YNm/jRr[HOzԻefճ0q15Zp#rkQQ0tU-AmڵP/cȕ?0cZYj;:0ZM=D6g ?'UN+ձ[K ܖB2'xq9{|۫N0ku 7xaj;n\ 2[VznMlWiKbSk))f..)Km)&bGZ=>OR܍W:j'rM'wYz&/鶧{Sʵb"vջq[I-ՌZH._x*BagC'T(Q:$ͳQcMCKy?3g'ߝqnT);qs #ؤZ}OOI:cfnc8W~qy.;^pVl]Hԓ>^H^@7-AA܃nmL(uWܻS߿ Td95Bdh4t6*dDh!EhI[iŨ\L.&Nc ܮf^;$R)\rip9I|ٺ?#R.ZDZ;/]nݻqs\QE9M&Bd ]N mN*D>tgbK>+ˏ.!23]BȔR1ɝ^j'k2ƮqBQq[$di]icV/e`޵B.FIIJqbi>Ӥ|p; 6${)RU>_e}^dzdfzi %ekRVUS?6'hׂ)5.\+qUgzE2C˷ecŏ^֔ibk shesFWJ#~> Wk~ݨ}ڶ>ơǚ)׽ZƉo~B-ڼrvoE:Ʃ3ۣK7+Y`WirS):{>ڛ}:wԨ(J_";6R%[u&ƫdZ_\'np| RJwNeTW,=rrbnkڄ[M3ܴz)3- R.?:okۼ0TU'w{6&w7j1z3ON'fGoO?)S_bQ_¿R(^ԴԴG.EtMڇ&RUiW uQjU> Kiu1d<ѥIQ'RQ1:O/lŗᏩiʂv&Jc{D5 Tt)1.n[n۶X}RjqnOʽ(~[Ns{ސ⛌uO,kgo֢dRNQȄ .'6W!׌P朼tdZjFGE"]K@'i۪N;sI[{SOzk>`rRR+!σj8&TjlvA̷Q?HyjyLHNտJMjܶT۽lG?SnKN%<‘ nq[N0Sq[Ta(&t(|HGO~gvkݻTR4&Z$#ViOY1r$6YF?e4U/Mvxų:zbU^gQQ+NW_'4jfz^c'#`rvrڡ(IJ/J ݦ6 ]-CW |_{v*_q3^DZ}Ic6Uڌ8p7{crZq5ki`)mU6|-Z5^iEz3P=:Cu7DF'k%}<C-޹ֲ̱#\,(f88%X-N(ck0VLR~} G"-8ӏ/ϰKq?(#nrVTmZ;zióM4 m |UT'C^_1X.gXM{%ʤd 4\ovN":"y-,T)fLQgۢr=/CƹǨJVr[a+!rT|%Y\ٱzsS>jͱ.oOc6f$q% ǒGo;n[];ߎjrk{~\VۓNIGn:iqxo |~t5)Rxעri{Vi&NUOl_ѮMfsޕkЄay.0P{7N((BaIP$ K"U6Gl ݙqJRu+qN$ m#*p<|{:>-Ev=86N*MM긭U*uѾ?/^o7;'u,h4݌xښRM:5.(/ \իU.{F^rmF-Jɷ.>Q"[4xT^OZ~mK}T0ݛ^SAo9u?lX(' qj%=X}"^e4wˠ|rܫ 6I\Ķ;Ӻw!'ڍWg{ i U_9Avhۣƾ+:vs/MK[ɭīe{`Zgb}r[i'GE2J7Nez579wRq+Un ]J.cJ4M:h箽Wxxm^ pc\wcN%'My $$| :$Fqɏ¾^қP9J6Wxvu}ݵP>Z'FFdg"-; [¢cmWkÎT8nG%ݣ7*\խCLRYZͤiD&J#'ehbSyXK|y*ӞpS̍R`[pTr/Eg)K+92{_ n3zwz'oŸۤ+sOj J:`T>Cf*lwd\fYOP"R E֢̔L4ɥ :;.b(B02rJ蠟9>V'9M%)IqnhP<%,r'P/vNSwr#w"ݨaqc(|{kd=^0jTMR2ULNz|.<|^PfY22##!,K~E BEJۜ&jRNsHަޛg\r,v؜.jK3)[EJ2ii{KEiHP^&]Gn8x=K}Wx/KI9-ϵwQ%spܾ[^R}S3$qvq8M[ ozKxcqmJ/ӿ{_}7&ݨ\f6ZSyQz& 7ۉ[8~UNn|nkiTB+4RI8'Nc%tn{!]Ȋo.nEmʱn𵵥J A+wy#+ikǒڂ;՛s85'KmE:Ђu""Iģ5p=БbTY-ͽڔ詻ngL2Q}$de# fs^o{DUUsfwӶ;s1T,ǤtޒQ\෼J=.tKU,7čJ5 N$y3kdSMQU~mO[03 $zAڟsF5^뜞"Կ QHmrR"ӳηer+ҔZ]hE-6Jmt'ޒ=O[sQj)6K}?e4v_KfZheޓ=BV[bY}lݒTTЬ{ȫvO_qpRApVŗ 6ju=*BR)g "O1yhb=tqJ gtm\b3RY+JQ^Ō֍\յ\>+uSi{=x ^w;uӘ#ĸzLn*$anok߷CBӷ}5Yqvdž<( "_OWit5:EZj2 B ρ1̊fi[n!HQF82q1牙nqnEpT(2RMoM4ϳOu ':֧_Xjsg jP^(ڙ{2%E͖j^}ZU[Q$'U) <܂%!s"m R'G5M0<+zM6qYm$ڕ$3ǧH]?o2N<8F1̻r_my[Rf59NjpzBnl7*{.QP 3N&^BLJPjAHCK2Q}$#~YMq8 k(MFMU)8MEqTy+Tʞ-ar5yܕOXw!e;q-Jqܶ䓊Y:LC UE{/t>r"lI9)3KJjϤA 6SEE$d߇3KG*En|P\ԭTn6I-ƍKTj<1H_zwGr19wF N8ݝ+a9ɫM6mhePi%mmD! """"""*1bRKrD"vnrM۫mmĽm]ӡiG~e"˩ lhRTMk^MX["Jݱk7_ޕ*DqĒ&flՒ}`W}~SմZ{ĕ~wm*/{{ѹ_-0ط#P]xlڱ~Tn5wi*lڪ (JxioϏbqKYR|!|KN53 OS222$jzww%i}>N)E+rۥ7c$Ofl/LNث\6H9: FY󡈾I)fB֔JI_ ֣^: 9mY{66㒢7Uj]:.-os[R&gMF3˸#໹kmjq^8W"PΦURjʄWa˧T!͋ lW48JB2ko+ /Nw QwQzQ ے%$ޓ7^YL|r7!v%Trܥ &|M8~ybrn[RV gSn{{*#2#ԽᢏӴHak" ӌcwҜw&RJ07ױ>Ļ =^ BɆ)v32.M1=#6%̠tҤnzqMwԣ~s*%-j|_m*.Yx9Sz=)qE4 3pk+,`=kNRڥ=B=nŔNAx)Q$ԩȧ4z3t#Z2lҮYn$S%y- JzGpu|LBV7ZW#;Wwipܷ%(6jFG5#{$D"uۭ~]֫SrD܃fҎӾ+Tu>-ZTQ& N|$沸ii>eRWݳu'[O̻j8JۻEѩ[]vni= ڒ,[_%kC7I3Nv$4ɎЈeٸoUu:[}Do5|zNq=Tre%ɧ6&~DȍF]ƞG5q m]/w/ \ʲr8=oʔe9U(W"|S]uZd#?Se[W"ֿh][-7Nu:T=)R}.;ml*5Dlf $fF(̏T hiIUU4Szɕ t(%_|2 ~6eM;TƗK[f&]LK^CE2[ȏBOd;Mi|cx,^6;sیGpQ\NuJIFTJ~đArh* B"$H쉩eXPRj?sl"ԥ)su]xpԴY%VESH"ЋJǰ K&5^Ukzׄ8kEgS2h&Se\ Yl]WҶp-ZUvi7QS:4byqOo+[̺腋[6-_Fo.6[7$p&^ _GZԸߍkc.qqoI[9m߸YxOZЦ1uoiSH)P9Uʄjcq= S>֙NeR><;+ڌk%_qT].srNO?s[=vH[]RZHRMtᩗVؾ:/~u)ԍdg%=edVrISb{6vSu=(ܥ)mTv/J}̇8 S3ad:^hBSf؉OɔLhI_1d8,L><_A0y3rXq"'(۱;mFNII.v5_(^q~X>y{3צ I*Vܛv/jW' T'NR'j%ꔩ:mJ3SB}΋!-H-RJBТQoedi9tjENenPpke.%4]#{:>mkEɱdYWl\\\'nRM4&U>?Ќˉk÷!𴪛]]5}UqG~ݏI"O~s6(Ļ)qO~h}uԕd}Q~G,oE!&G&/]_H-O=o{k\̭bkv.Ô܈+;arZx)m?M\3lU$mk-CFXjTv6u' g:Vn_*qk:VC A%'4JV%EY)#BғO4<e׿jQQ]yUr4=wm[K1r׵%Iũ-O}|kC;/VcݩWZ)EHdžTru]8hgĵ-;=>U_ InvTm_jBM+QiF"9*{DI/iuo(=TzϖmPQl_v4z>T*ȴ>YF;ε\t]EH4ꌇ[VrLzef 2T^V>g2~kg5~Nק;{~Z~W}&ŒBӿS2$J?~(Yœ"˲ߩ\O]: J׉ښT{mmIѩn3˧)4LdFZ/zUG>U> n 5& ϴ-KJi2o]uKljvK3$bԔҚV旧iY5.ίfi96v7!v))FJM4{jG~Jt/lUE%pTAFe4qQk\ve۽/u/Im+W')v{\-E|Pms7߮DZRr۞/mu*1ՙaB܆ -xg3#6ۥtRogʌU)׎]ZҞNnŞr}F1Nnޞ;cZ{N}ۿMiuxʉ*3qi'9KHQ$WJxXyرŔe~[v5~/jN9Q4o6rJv FrdxM*iRjMzUinHdн7ᾞS=S'7 } ̽zt7K|_g J=Lq+/Bw_\ۧx\HJUPzQ<hqF[V0x==CsU7q|^ {)Iq38$_A(VgcKu06Ƅ"%i~_ˉk QCܣB8Ku/񋇵u([w}$F|8TՠI.E !;RJ^}MɒD_q2];Ɖ{5}*n7nEInO{Mwv}&q+v [V}Ĝ@%>#dXQ$f;iep.GquixVt x6bj͵mlKقQ[T]zs/&yەnM'W}!Fp_d^Tu N{ɻ'l{խ2.sTu{W^H&;1s)Pӛ6>$mě;Łnj= fLT)>׸+qReɴ[UR\L*P/!$Ӊ3Q 'K=m~6XqW3^W+ųO_[F$rR*u"T%@O +%# ]˽!aܽz{ͷvQh쩎]hGތ5ɇ*DzJDRNLi 4:{~2FmXY-zzĽ^f=]uū{/+&c:Ma{ĝDp2m܍kHș/(--m_vݮK(V{R}.k&yƴ7i^4@3f sK3^Ř˸B=]?gt5KbZB<e;kQLpxuWC}n 5ҴepB##~q= `x]KWF {GfŲ}?G.I9pjWkU]>={7q{kO/^I3==f1ɏ%nnʫ/Zu_yXN<57ۍ'vy/"8넭M2eԷ&Y,в33%IkjMr7xf nmQkX4踼>a-GcIeތw&U=-:qnW)z¥j :WqSZvԒ#j"KrIU)%qrmRoDGQ~SYRsu*V)  ,/x)MFD6O#]z 96[Ui(JRfw'y$GeUީkdMF-ݻ98F2d[o{Rn0n-xsV6Dh|Eb2E:KCOӪv4SJCr"J!!m,hRLD| ZYFm/X~ΧfrN&4Ƒ=Z9Mh.Mܵw/BdrܥniŪ8ɧ|y%œ[M=_tj?F!z5\evM:\ ~F-sg钬OWq“iiȍ<Gi%%n2rqͻllƑ)okw7}\Uk-:&fj솘XerV9yZuʼşdFC=rmo%~ZN78X(N)_7.Εn1MpJ}62jjJdI";R5&iLԸc:jmqiQj$ujp\{;v5B񥍪Xn Ą4qOERjzN(Ga٠䌡)p*v(J7#ZۻZ8O W uONb+^Qipv9GvֽƼϯrYƖKGJQDNPhRJjᡧC"21"9ѓS1;R_O7/WGz)8fE%F2ukmvSov/iZ&/]~KmI[:^~ͤ\kMi稜\ywJt3W7 8Ʒ~ݥeFgѼw"8VVSج\뻆}ݭ/J6Q)d|)zU3>k\L=;ow֯gN3pKѫ|wmkZ$z^2R:E)f>ς нd|#׆?\ǔpV{;\$ƵE%-ͪm0S6[n< kE[}mvE4DDZ^$OZ0*$~XUv҅B@^?]so#%ojw;Y#SxxueBگy v^i-)s)zV jC{7Gt.w3v,ygg8s]aE_,*E tY5k٨h=o"m泏:\6w噓aiL׎n^c\75AGkЯ0Lf46َ`egZ˓p/k;̛]kq!ݸzpԭG"}R9Ve>ˏHUjJ-&7nrnwG*Xv\˱/vN}O)ʼn&CV͍f̵]r\PMB-6Du-#RͰtRN^)mT _}nSȕC*_xBuTkJW[`ɩ`ejvsngP ڻ.-WUtܑqԹQj)t;vN&RNũT+8%IXӃ5fK՛-d9 ]CƑm|nZ-6=Hz,*aEm W3VzRšdY~Xf׀Xx"]s;)5u*ُHB BRGS6bݶؿ 9j[1*jױga7oX CUI%0v#~\-O-Ꙛuɷ쏪&5mY٦M`LJ2qK~HZbr =N'YobI. (^ ׾{_ ?OJ`S`3BN[}5w6:ǵ/iSlt=4F*d&T4y/#. ɵim5Uֲf 眕6Y7 fơ=3dϕq뚩$qTM-%r!$@A? ޾V0c~{[{;򥧅a~ڵ»&ڄv1ek=wb MLkNAԬw-x>~/r=e73VeVN)K%Sښe"+3uXuچrn ֺVzscJ峻m}vb㶓n\YbIUBT%*,0nov=;z꣓S/nSXSpl##k9mXGrZv^Gde!ŷRԠzQyjC]`gToPov{j~KRBMY}i[߶9KL2ԉO0K#m>wB[ٍ+n[[b٦DX ݲpo] [\m5qdT()mo4Oy9Ie b][wղmM~vmi۱~t \}$яimRk(L c Cvk7r9_r1 ;zv|F@KyZ[&jEji/"6$69ml#e]9s\{ScL}Ȣؿ0q/nZ*t,CLoD߉Njǚy=Pgmu6^]l-["çUʖMlʍp-"qmU>۷uFOJ%Ǔkx 'g=睋k[3u,{³WɘݪF]ՍeFX"Oy\,cچ=w/gn Ļ]#2? vqy-gXnR.^}ݺFs{ŝG]}e|#0mjx"ƬWكm?rgU^xVB":Dt>@LRbun~ݭ,w+v⪕;\U(RYa61>#Jm˞Μ9g9XKaG='u8gf}'qy#ɉw J]We.ʲ-<+&q%s?2dњztҼn`cΤmmqMdz O[-ߩӲ&;[tmܝVnr">{x<8U+p:Ig]zjGkt,uzf}dؠoJaکqEq -(:d<պ=eKy[˗^%ZXkX[C2߱\ITTLGzANM￵i]K>UsOGDDD.ZF6* ҃V Zhz{'xp^`wo8r0h ZmJ5"jb[l=yUu7-;7IT%:jFjߖm0tzU'K)څNۧYJ)4IQ}^KWm7kSP>q;ނ#)'n7&׊r?óM{IwR\j2Qn[v pe#/tAF\ϵ225q֒om6z})6҅*oqDsMf CNIN=T S2t,_ѧ}kveMF0J\Rnnݙܹy[rUc-j{yGtkQ%s]5qB.Nw.JN1LvR Ui5J ZESQԙr):MJ+g}χ!2;q([jAud][ljVK3$ײSJI=/|&tl'*n۽f.frܥ jQO8>&Z];.|7T/C}$ڋUmP2Reҭ8hFF\L 3~e v\۫]ݝNmrnB%*]Z«hKc=BTLG :V74$=Ǘy+EX'4tn(I:Ѝ;Df8c,k1%dJ6.j6ź{N~l6&*fœI7 WAlGOu-ҢH,,(ǔe뿋쩨kM܍ZſgRvQ' 9)?n|er˭|I|-fGK.rΛp8XV1%K6mvG+tc+qE&ǸC_Nm:l=_/m5^[dߌڇ.c<%:)tQ$Ow~-aY;UJ>=F)2[nk؆?훐M=l6[4(O.]2#-H^n#->&mp5~Fӛ+|| S,xag%qkEUzUgæBhߕP(7]kFnq?֖CpruZ6*rEڊtS|*tI*E}7R<,nUU֫^I7Q*mSly%rdȓd8hE<9oHhMfNSRj[i7D[Rj݊+kდq{"$$H?p\̅S?㭻;t~R߁)^/>Qj`yt[w ԛ;²~+ߔ_ YW~|o]?x^ᯛ `ʼn;g)T@vWn]>&4lp+$D̢1l|ȨF%-}.9[}w~ ԠLM9hСablfe&QoW!s?wjLK?s7yO>(=C~_nyǜu?v3vyo oI@qV-jeES^[9WoSܝh"l2C1a͔CiJ@3:Pճw=/7ovuk+\V;lDgն<[A+rX~d;m!_s8ݖ׷;;.0llUC+?i#_crʙ1~C.\–q ul8Hܶ2m`ܻM3Tov|Bs rɵ"oLS- DКw=Tv@f'6|YlD͓Y%׵-#Ѯo%:&!3o%\J<02;K87>^vgƓ# ;ݝmz^Y6=PS39U%~ &f# }o!muH;ʲŇ˷yvP+&.7e[3'vR4Yj̗IZ`e˽3o[WU{ m[sUbۋZǾۆl6~9'V*.\S2<Sd*zY[aŶ`]C$n.v^Ʌ dng>ەZ,Mmϑ :n6nϦezWqUJ4! ۇ4R! =>>Fn|Q[{pRO17ƕ~._I''00k=b՛o}Osðc2'o\3}ݭQ^2 . R1yKȣtAݿ-uܾw!`?1Whn|gzUo[ECWwjUIן)^h#1ɭ!/Z np;o;ΗŻkXs."6E`Z1 עӐ9Kl8qd q} 2Stt;#j>;խabONŗ=fwP1j)l6J̶|gV2`y/0E˛6+ԫ1? 6}KW c\KoKͨ2ۅFw–s*TԞLיuDx .kCzWXhy۶gLu|%TnupǺl-S* PRaLnT+c+*xl.v!.U=|; !_L̎뱚U=4hm:ٯ"y)$:>%(n}X'p[ȴ ^˒4kƓmzDx \ 'NqamP7nyN݅=j7%McSڵj%STy qXymvCg{w/w=wSW5r̹u erծˊsOm=DhEҚRb#n)QOxtվQwe]I}wCa'"[ۂ-z}2UuKP$㜉ԧ:mc<Ý>RoL?wu|%ҷ&K y_!y9 ??:tq3(UU-lkS'ɸ@jdzQˬR] EVPW1DJq2n:,c|ǻ̑;y{X,ۂ.u.b˕u.tKBjQ"[S園S`ٮdNبeJ&9Ơ ~0a(Vm٘L+Jr*vڑE( x0+tp˕ n';wm-ޜMOxX>{#2%jgb2M[`K*\5@8l'e=0u+w ֘鳾{y܀:R*Ya]"Ӧ%ktynlۣ65,3gU}{GYrb;ge'TKwǘ.,rpܚV]Tr,!dp /ԺU,xՉ>s׽~W5oTh yx?xrrx?)?ilbT׬,z$Ԏ.UH٠\U1pU:]JwSrGZq8àd驐,N67QYBӢD㏙W!Q25ϸo9ms-7-%3CihO.J鯽-;MZM8ku-7k9S$8]q2E(}bۏI[DKOK}3KUB^u %Y,u.-&f#]'܆o$x`Yu,dzwM;#oKxn;\[d7}Rb+*Y䛂ZuBӱl{j0O̓}LhK;[aֶaGL{Cb#S.T[>߃F]NK"u^LUʐ_ykW?!GRj29͖qa'0[npcDvV)qz9R)PۨM^aJx W] r>];eN3vxdmĘ(5W2K1䪖weF{mE/QP6\u54x5[hۮ-Nk”i[lUgL]J}5 S:EhiUrgHl!ŒJ$pe=q^b͵Q' ?6|R\,JA ڵ"TDꈭ:ymg`B5t%M] <N_zv2_Ortٵ/i/ReӮ*7[qүqEG* m"[I:6e^p"I$jԴęh!m)]GZkcjS!{e^z}+Cѥ9;R|/ֱeiUԏCNu2Zhcٗg$ݭwvr P8*7/Lk~I'Km1+MW%Bk|oOm>-#qj*|Dbѱkn|n{v#jĮqNpMIUm(7Liz;{ҜݞڝVƚVϬ+sO!OstGvxӉ']uӎ4g_ 1^-8ۦ k!)Ύ5O;YSB#2Zzχ;<.ֵOtge~.(RC#wFZeGZٸ6FFJ4e2ˇpJT$[wgV)q6muDGJ56q\I!̗ y/I~RtJ9kJ]Iy*'FN0s.[l!fw'y(7$œ WƫgyΙdMEU JQJv̋vmrۖ.jWR_M֨djYgSj0^\y'EoECjm$ IƩK>Z28J2TiJ2N#}.s cArl嫶nB.FIJ.)۔\ZiM>/hLĸ=C1s[?YMqp|94- 鮝𦔽/k^#NT(Y LS$6˩}{;5 )B۷W$qpN)qqoot}ZDVә;7TiK|6f3h$dԄ}fqݡ>Nb򗉉+ͶO]>ߡ_VtYf79ڰիF sq~prս|QM)g%l0ocJȨHz V;Bb/kLAcfPJ,ԭ{ƍgpjNR6VSI*$!yV足jᇑ.](EܣqM\qJ2eZT).<9UB/(B0j)mtKEj#׿fDI-=rZړj|'Nڤ]k*i$5qt"ݙPM6E4ke^Z8ۏhz$Q(R Ay2zfRñnpnkbkI:=j &ΝșW?׵d{+ύM'??XqeeĽ.[o=UxFS=ӷdZwenՄ]_X=ĭVa* pKs0ބۍfJ3 gz̚i|wnxtjc¼5${(1fXQ65ȼb̶Zkn>%FQMJXӡ{TZEVNᖣimT/37cNJUPnP҂ZOE~"-Rc4^b- FEͧtf5[)S!OZIښݲ͑;tvܡ+N)AR=hCNn;wL16-:特7M$=Tҕ-.R[HٷnXk sn[ҞD-0WS9p9:-Ϸ-jѬNu{ҹfv)[Ľvwfg(ٷfe+0mYj8Q1\ݧg]Eǎvڿc!4#j5̋C2"}BRriFp7=ô\TZ:\BLfj#I22װ<;صZl j 6:l"6]۸ K'6RTѯ^ئOԓV\?$x7s#r:Oh{ց=MmuHԷd{pN /܅:UE#Yy+(SgQ(Щ)RHzw>^Ѿݻ>mK&^ '$Jۻ&w%F|xfz%˳ L~3N?Cy9 v w/{ƿ kz3x> sXv}vP"@WyC z`'톽Dw%-tt yVY\wmuPYQA0iG-2JP,6/gˢ]u.-n!Zw.N7Q]Df}Q0({a\@=i_X7gFǘ8^⻲}G MZ1)WEfO12G+=-B@z\`||w6ċj߬m}UwRox֢I &c~XGP6Qndpvܻul'V7^FJt^{b^B(L~sѣ6@߿^xqU!ڙ5|Vpvef-uӥ^3  FSDɯKD%0r}FF穛r7 +o"V8tv̖NQU!5uFd"bCr^bJ=֤fM#ʳԷP0O-9xRBm\=`r-:;~3Tl(nXtXi%2Vٛ#vwqƴ`L@"H‹qW.j,JM5B[)WܺUeZFqc'V˷1W7V̾-MHФwn8N;HPSdݷC7&2j.W\τGŎ'Vb]c.x+Rx1%C2T{myg[qU|+m:M:շ8҉yWd)ՋWS%%:iqlʹmGwݹ WnNŤѩ5(9hTٵDdGUi-)vSs2 2{OnT$Xck n:¶(lASLeȔBjμPpTb2~N2~%^k[ܗ[Jzs0ӓHBKq[}JَA-$dFQgjxxFv4r/x*Rm% `4J(&iv7SkԲmSH1YWmx 8n.k']:Z˭_W >ڃXЩ. jTq%Aā[E}amc]D:rmHRiu:uӚӢ\p(5-q%e)(۬ҖȽIf<߽pr&ݫVfY91q2ĭEQgYbTGQ&,yL+N$[q*RVۉQ=FuTܻ>f>f㋳8N6$܌n)9&»iˤsX,݅܍ȩv+sRTpO}d?Wn/Inpȸ%O]StQO|v5\}7Zwb.AIVK^:wb{[uݯcytO߶S<{8KSRׁH̏N7ۚ[xkwYy_'ZӵF+>쌛ZUĦreE9F[24De{}@:ExWs-\ǻ7K-\JNvEk%:s˙#κ].oͳ;լ7wB6nwu:$L; DkI#Wz.:Xp(˅v$Sq,wn\qIN-e<5Oe+vuYTpcojUI_ާP8 O 7&VL8z$_B-H-[uh]T{|8=qVRN-:Ij:7PUtXϷmy鉿:RIM~33ӸS2#׳GdŲ5+/Bx{(WzȨ5Y㞎#|˖+ ط.|e<o/rߔX>7s}VE.OVti׽ .5nNJO"95{#q}Ay9do]R"M6z\tnNS-D!@3N_jicWsy*5uٮRcWv/.,j}=S)j5C^> Ie =gu9ӛqjtz]۪TMoߧI!Ǧ¶m:,"[L!{qAv-o 3{"KʼnrIkfٶj2ƙ؄S`7` k6jzޞ?e5G&6uʷ2%ԒRKE*G\Npom F/V |C0.q_eenƣ<5Oh'67ɪn[SĽ{ڔjǘzs;~׌(ۂ`ܢ1ƣ` _l9Va6%UQWh~P~\F^ZHR@:ۧCJ{ôGeBh;~ۧnU J\O+n2 RҠ)ng}Kh{5+S×ܛ.1ZjG)iRȤIN 4%{oΜ/eO[Nffd ĹK?nnԼMqX'܌nZvq<ķbFnͪaQ`5 s,M_լ?-@_{w{ӺձJ}GF[%v\5[ŒGkOw/ΜM9rjË%2+rd~+󲕛C9U۳r[aJǭm|˒LAʨSCq[XMۺoubfp:t+ΤĻo ][ zt-*67kvS7D·MMCQXm;)܎n_h%]4ܙnRk!]ڵsDUF"`R, &#R_*[z*ZqFXɻ]7|۵w+'pFDەs=r./ᐚm3Hשy yD"jHCr':sA65نѮ^o1V/ f;nFr3VM)e*- s D'H݅fӧ\*޷[k<7u<-]֍Q8R h|p=WlW3s%Q %3l}@U-K6f-NϿu|ڴmWN׮[׸F*mW\%r! C78:޳vBG7ŵ.JթԚ2x)ST!řn~9 W:Wpܢ件{xf8ٳwKE ҰWxVB\qBZ 2wMb[lGSnyԚ~z9ZmያvoN2Afnݽjf>)j3 !;gOYʹK" Wftڎ+׭b*2ϻK>ۢӱeyԪXISUm[z+ugX%0lϏnvg!;t{BqPj>PyvR7Cj]O%+ݲ :qiMj6W}3vC/R=4Som]ŗ=ю, TF6U_-\6MyskwMr&Q\wjKܩyMϣUj0*}RZܷSdY3>Zjqj6TgzpA/M`/Cmл,޻feE[/+uk^Vs1W$G(JsW2ٰu*߻q*Y޵.Wi:ur5T),=0uRmho.twܖiYwrWHntvEj8qhf`Ͻpf(R&>Ki%I7$QӖm-2 ~yߗQ-앑/ x[k8nw.c㩵k}]FkbJl:{.(˩n0Hqvαp7 귎.Gupx[N`Yq'+ruU7[ү+>!xrȫoSo]OC# d^Q]\>!ƛGw^Mx"-+%vdX-:M2UR%d>%l ioSu6lsj7D P>XxHz Ukà(n^Q V>5cVtWj SEiJdznyej[lE' 3kuٌNn4JW)gB {4 j6&]' m-(ZMEz8cz>WZ6#7+[,MR-Z!4ܓtCyE|umj1ƽvƷV\;%>Q :#Le(iVz5 4ũۤUWxX ^(ҔsլB2w-V ^R+; ˂M\z+Uwr+RWY⺧~ Q*JcYSNSλUd8in=v K낫k\IRרSUaCFmϿ5̗P|u ZTԕ}>oYѲ1sfP+sQkX8Gb~6r,s>^\,mGL+7[n-E\.Fqḕcl*Jmjb5 ,m]c}NXfeVlǸJ5eˡ$4%g~N p4Y*WwW٧<8v#;qԩTut,m"#Y D\5V`\\Lȋ];LȇiS6ϝZ l>LruR\v=ǘϔDg=ԈdFZ+M{=|,[;0>RiSi4,S5}yxw&(E7&fݙ4UՕ! ~'Id)]ǽu2K-fޭ \08Vڅ쓬=Vy^^ IhyKR-B#Ըr=]mܻӾ'*Umkoy rTqT_i,/8Q^<ݤ|4ԻO(܄"'5N~#m.(Ҿ2i6Uev&I*<}҄$eNtÛzyWJubW^iBW.܅Wڮg]irO6Ve90sgv.+sV޿aޔ[p?3q*FutUo*eL\KM'EG*ZcAFfG5J 5jj=MJ3OK:k˝'NMB7m3uFҕ\-Ywg%PRqMIyZGY9|μvn߻5cWݷa^+X֥vnݘ\v7m>Fgzv"-;Ew֝}1|RjN𿊀7g#֟*GQQ|#/bo]p$>_Un9гUbn9׃ErQBU-^vDmVh'<R[fdHT]*~}3j;nvjc7s-rӳ Y8[n[1pJx kX[Jk9Mn!_Nю6x:iZ˦U |߉^Ԛ݃hYxk &U^bwKk.[jE+P(˞=9j@snCv7%c_7=xǁ<l {t'酚+1F‹l׭:ݻILruǶkL-L(K0L1&>wXB(pm;1fpnlp֓%Skidkt(U +xulo'/ڕeN r=^pZZ:Pnj8Hf"48ijY[ N[yZٻ+=  ø:3 ?^ܷ^Sr#YK[UF?CuhC b]GM')mڏsNrܗI]ljq6VB. W,UK"YX5{c >Iqā> T:n!,5l2VzCl|+I[*SrjnS6٨y+x,@>П.g+!rn9>N|W>OZT_ut Y""v7|sfި;Pclm EùN,{'fNT%U&LfH8~1v>Il}统u6P˗c(WV~H^bMU.o*oOF0N:_:6Smr_.b+|ݶYY غF,mwjv>f*>QM뭱Sd:`N{l/⎱;n-z~"Gze퇎J5S KG9!Gn;N1 ݎ h6m|S?ɂ5'WOÞ 7|7^ao @mxGmi^jϽ>01Mf0լD3-2T. VXR"ɥV Kl J O7|u?bvа;6.eߓ|[1bmRr,eRz`z 6܎-ͨku͹Fː dPhYgZUj}nvX;z=gVեTv_J }\1n7w2J?ޘγc\E 1Aޑzq;\r]]\Y&[nsNei\uURje*Qk2CSl*xJz-xٶlm+|UjUؓ`Ladqiĩ!Gd\W~fz;Tn*PdRM&T4`չSWq5k훶(N"Ӎ% V]֦wb.nUO!u*J&Oӕ2e|Z=eV쫚΅g#+/RW:طnbi*Wyo)p{:ETKؚR(RY+r웓r(IF) VmȵNB:h Q1ғ|u8E]{,'$-TR[j49l*3"I鯴zhd>Q+\BkNF=.$ZR4Nwհ(IpNi.(Gi33#33e$FXK*NdWrud[r{xnk$v2ıh+J1TQ[#JQl[tRO]LHKٮ NӍnF񨔤֞Em'MILB"ԋ%dBŋ+p̿_17jzT~4pc Vo\ƹb9Rq-'1j;8ܗ)hE%DZKS<璸Bu*%*Yw5ڻ9ۣ^z4U; Ñk\U(o~G?VUĎ:?P?_F_Kߤ~ᓾI |pr.Ok\SklRhҪz{­P .}SktZ7UQ4ڌIM8̈eaӊJZ%FFZu,KZvln廐SNFIVtuNi?CM5]+Ph,{jN JSR$IS^tSUVrORYu.9WyP6 [Kiu m!X|]Y79ӄ)\ģ)pbڳr%*&ꑶ_-H*dzk)1 V3')UAϹٶWRxe'պn۫h7AR9 EAJeGLms!%D| A 5]/Q3eb̄vnVn%za\m kZnv([emqrIҕij|""><hjJשvvǕ|Pޟs}V~2&Z?+2N&Z4w@)4iSڪ_>/JN9Hiۏuf8'It[ȲR.hZ$ȋ_Y ~U<UUO*6b)Ovzڜj\R̋.$FsQuҊj^נ䈈y<zZIuP[}Qm=C?zN(Exqu/kn S-FzKZzOסӽjJ\)F3b!r5ٝ|;6 o=-3*λ]αb\abqRi-w޵⦪~b8Kpo)Z=>)ғ"5/GTZLE-輵f7ݘ۹~+&+w/7GFI:l33fg.N~۲\2|*cnermnnM+Fq"ѪIz%j =YW8@~gc/~?N'?)«qȸs➟n=k" X“m֮VreMh2[uݖ] *FܖN)MȐ`f0 g,C9̑o;ddudJ=In13:ݒvvdMUEJLp^,6t-@͐9'{7m{-3,>hnF;ѰM)->>+Ěz!R* :`e--m7nB\u{b U>[8֪]6^ߤLʦ\DFNo$$dͶlgno8OrsQ\l̯hRo8tuNo+ CTxu!2[>ctFpeޓƻֶR"3QrQuOѳgwQr;S~)6HhZw/GgVTmUf_yt7%$];zLWF̰xy2Ʉu!MCmš_0[W6jf#a-KLi+3Q7c^qg%s<1aYIQeZf+}>;S6L0]Yu_h9߻<ƅpmiM$AVvŚ,*#t2.8Y)-Zhshü97/#Oro"u^/uFgWɺ,p:6a,^x%$Yve^3PƗMnTP&yS}OJ '덫MH^:rXԴJۋ/rI;S*,+yz1hv)Qw^ڍJ2oL׊q(\fDj:^T%vOadɂnS}ZO)N*λdaȜkG_PIEO}нa(^iQX᯦-7^)%g'SJx(.S9zVɴZ{E ))ۅi/s7 VIV-|sj0*UBTHIqRf>FP$KqN0 R̻8j\GcC}IUz\i 6F)Q{Gҧ3qSzKj-Az VЛS-zy:8*mNk|D鿓ND2u+0Yŝ7kqm·?8Ib]u>˗^_>(]vӋzv+ݩ){vZrJ2RQ몋C$z [,pp,8mڊbR]Il .f~d/ݓs㓓mͶ{mgjQwn=Oic9ܚm4Q/6ݨ[TƧ?nԶoytf{@AzT{e{[O'ZRZt~AGD?s3􌿂ՉIw'|~U\ w~di:Kޱ)U/sU%njѩ&GSP^ǝd)..!^U` 1wX[aԇSxoFV6_扐)T 2Mfd=ۖͭiZ7KK Bi9%7@<3<ճԻU,},a}FRqɛr i@ONJvK KLN M, ʖv0n-]DwlI-X6ܶ$Jʴh5O+mOI+Ra瞠\ MG7BفjYo1#͖0V`Ѱ2M?c8>-Crt*JkIGS:e#hPKx[鱼>{5m;wcն&>j-M֥^َ) 6yȜl_w{-ō̱r> U=]iw3)r*]:K]6BdCTZ|>gf}LW}[$'Y5 &c -j.z6R 67MԷFMnÌwI7w5E}o޽+K ֵy4܌ȥW"COyR[q5Ӱ͙f[v"_#q{MV6܍3"u9BK(41ӯqˇc${ߝCi6I(OmθzҜ5k^:>Jzw.>qV8{vU[ڶEm|DžBz].KHjI]x;Mɗ{m,qZXr忇2u^RO2Z}ZێS[2Jen!*NDcrBUً4<ǼMҲs1Zw57c3&ĖڻzmP*FuJG1-dN:|OU}ҵgi2t~F^^Z.VxjvŧnNNh<:]^~NN+ge^g.SԔGFe߯'[vn'(ScJ]kܗ7eJOlRrfziݮq̋S"\*U<*W]k$FջV}? 7g#֟*GQQ|#/bo]p$>_Un9;l S VvQU%OLU{οmU6bZ1MTx%!֙Q7, J=!3 ;Q,ڌ;6ͱ݅q^&ߔ·n #WbwӖX.HtG)N&d̵zpI,n cu ޖUj+VXUp[w]N o.J6Z8Ts&utxln;~HPHS/xw`G\ʡ¿rj Z^vt"[L:SD\h0sUwR,}[x^X,R2Vn< ]2YDr[SRKs8tXb̷G?Ps Tv 3be,zVz D[/I.KOEQrm'$7|[J>r S`5յwT#\w1FTz\Ԛ &"ׅhSHrD\'r]~/>p;:Piuu:"9ő=tTaS7V2rӷk7mb[^WmPp*[y.Þ6f]cizJCgRR@UVl큝.WJP1N{/\whZ ػϧӱE7|E֫Sί.x-Y&pi%v''-x6r'Ws*6=DwwUu]=C?MK [yrtܒG$!WGqJ*%SAz ED[^)/tė/g=#Omd.|^n/sl׉g DZqemqowݮRzUܜ=ڽ-o/Iۖ;qVʘgPp|mm;6zGl9.8pwWgsJ2qPbe}}UpNjٯ}7TMQKrؽtEx%v w߾8%|j;~|}pK]ơ/ w߾8%|j;~|}pK]ơ/ w&~e_H 8PL7:%ʭ5Kw&U2vwR_+rm'}C7#rWoO&HoG?M$UR7{FU]u ;# !Wk`|W>׹潇9Vn)6)*ҹ{%qV4q>W1vi#T"Qk&GwxcJBJ- Ϸ^ˁxkU}ԣ/3.;]J=<*)cS)ROK9H=,r zX @)cS)Da^ԽQ gxJI=w֣gf*TRj

• Received: October 29, 2012   • Accepted: July 8, 2013

Copyright © 2013 Lee et al.; licensee BioMed Central Ltd.

This is an Open Access article distributed under the terms of the Creative Commons Attribution License (http://creativecommons.org/licenses/by/2.0), which permits unrestricted use, distribution, and reproduction in any medium, provided the original work is properly cited.

  • 1,762 Views
  • 3 Download
  • 21 Web of Science
  • 18 Crossref
prev next
  • Objectives
    This research was conducted with an aim of determining the correlation between job insecurity and an employee’s work-related health problems among permanent and temporary workers.
  • Methods
    Using the data from the First Korean Working Conditions Survey conducted in 2006, a total of 7,071 workers, excluding employers and the self-employed, were analyzed. Work-related health problems were categorized as backache, headache, abdominal pain, muscular pain, stress, fatigue, insomnia, anxiety or depression. Each problem was then analyzed for its relationship to job insecurity through logistic regression analysis.
  • Results
    Among the 7,071 workers, 5,294 (74.9%) were permanent workers and 1,777 (25.1%) were temporary workers. For the permanent workers, presence of high or moderate job insecurity appeared more closely linked to backache, headache, abdominal pain, muscular pain, stress, fatigue, insomnia, anxiety, and depression compared to absence of job insecurity. However, for the temporary workers, only depression appeared to be associated with the presence of high job insecurity.
  • Conclusion
    The study showed that the presence of job insecurity is correlated with work-related health problems. The deleterious effects of job insecurity appeared to be stronger in permanent than temporary workers. Additional research should investigate ways to effectively reduce job insecurity.
As a type of occupational stress, job insecurity has been defined in a number of ways, from concerns about maintaining a current job or work position, fear of total loss of any type of employment, to a degree of concern about the extent of job security [1-3]. All of these varying definitions are based upon the uncertain future and the individual experiences of workers [4]. Job insecurity, in effect, is a perception, and is different from the threat of losing one's job or the actual dismissal from the employment because, employees are apt to experience this with or without the true risk of such losses [3]. Even though it is generally known that temporary employees experience more job insecurity than do permanent ones, it is always possible for permanent employees, who are less likely to actually be dismissed from work, to perceive job insecurity as a threat throughout their employment just as temporary employees do, and because more employees are likely to experience such threat than actually experience dismissals, job insecurity has become an important occupational stress factor [4,5].
Within the most recent few decades, a pan-global economic crisis has caused many corporations and companies to carry out restructuring, mergers, etc., and this brought about massive layouts and expansion of temporary employment in the secondary labor market, which has exposed an increasing number of workers to the perception of job insecurity [6]. Hence, reports and studies generally identify such job insecurity as contributing negatively to the psychological and physical health and well-being of employees [1,3,7-12]. Up until now, studies in South Korea (hereafter, “Korea”), however, have treated job insecurity along the dame lines as actual job losses, threats of job dismissal, and/or temporary employment [13], and some have limited their subjects to a certain job group [10-12]. Furthermore, even though reports from other countries indicate different correlations between the health of the employees and the job insecurity according to different types of employment [14,15], research on how job insecurity impacts different types of workers has been sparse in Korea.
There are two hypotheses that have to do with the type of employment and job insecurity. The intensification hypothesis explains that the perception of job insecurity of temporary employees contributes to more health problems than permanent employees’ experience. On the other hand, the violation hypothesis explains that even though temporary employees experience more job losses and risks than permanent employees, permanent employees' perception of job insecurity causes more detrimental health issues [14,16]. In many studies outside of Korea, evidence has been gathered that supports the latter claim [15,17-19], but the results have only been found in some countries [14], and they were focused more on the psychological dimension [15]. Moreover, the research on both the physical and psychological health effects of job insecurity on workers did not show a significant association with job insecurity [20,21].
Our research, using the First Korean Working Conditions Survey (2006), aims to evaluate the hypothesis mentioned earlier, that job insecurity correlates to the health and well-being of employees, and goes on to determine the differences in work-related health and well-being according to the differing perceptions of job insecurity between two types of employees.
Study population
Our research utilized the First Korean Working Conditions Survey, which was published in 2006. This survey was performed by the Occupational Safety and Health Research Institute (OSHRI), and was based on the Fourth European Working Conditions Survey. With an intent to set up all employees residing in South Korea as a cohort, the survey collected general information such as gender, age, lifestyle, and work environment factors such as occupation, area of specialty, type of employment, noxious exposure, and the shift system in order to acknowledge the extent of exposure of risk factors having to do with work environment and to provide appropriate information for policy. Paid employees from the age of 15 to 64 were included, and based on the 2005 Korea Population and Housing Census as a sampling frame, survey units were selected and trained surveyors visited each household to carry out the survey [22]. Out of a total number of 10,043 participants, with the exclusion of the self-employed, employers and those who did not complete with essential parts of the survey, 7,071 were selected as the study population. This study was reviewed by the institutional review board (IRB) of Ajou University Hospital.
Study design
We have defined the group of participants with high job insecurity as those who have responded to the statement of the First Korean Working Conditions Survey (2006), “I will lose my job within the next 6 months” with “Agree” or “Very much agree”, those who reported themselves to be “Neutral” as a moderate job insecurity group, and those who answered “Disagree” and “Strongly disagree” as a low job insecurity group. Those who responded “yes “to the question “Have you ever had any hazardous accidents or health problems on account of your job?” and selected any one of backache, headache, abdominal pain, muscular pain (shoulder, neck, or upper or lower extremities), stress, fatigue, sleeping problems, anxiety, or depression as the health problem derived from the employment were defined as having work-related health problems. The participants who reported having one or more symptoms of backache, headache, abdominal pain, muscular pain, or fatigue were treated as a physical health problem group, and those with one or more of stress, sleeping problems, anxiety, or depression were considered to have psychological health problems. In addition, in order to determine the influence of hazardous exposure and work environment on the health of the employees, those who responded affirmatively to one or more of the queries on physical/chemical hazard exposure or ergonomic risk factor exposure for more than half of the working time were defined as an exposure group. The workers were also classified by contract type [22], into permanent and temporary employees. Permanent employees were defined as those who were employed full-time either indefinitely or with a limited contract period with a continuous working period of one year or more, and all the rest of the workers were classified as temporary employees.
Statistical analysis
Our research was conducted, stratifying by employment type, to find the association between social demographic characteristics as well as work environment factors, on the one hand, and the level of job insecurity and work-related health problems, both physical and psychological, on the other. Then, adjusting for factors such as demographic characteristics and work environment, logistic regression was performed. Statistical analysis was done using Statistical Package for the Social Science (SPSS) for Windows version 19.0 (IBM Corp.: Armonk, NY, USA).
General characteristics
The total number of employees included in the study was 7,071. Among them, 6,248 (88.4%) had low job insecurity, 446 (6.3%) moderate, and 377 (5.3%) high. Of the characteristics based on the different levels of job insecurity, the age of those with a high level of insecurity ranged from 25 to 54 years old, and those with low insecurity were mostly younger than 24 and over 55 years old. By gender, women had a higher sense of job insecurity than men. Those with lower job insecurity tended to have the group with a higher income, as well as a higher educational level. Regarding type of employment, the temporary employee group showed a higher level of job insecurity than the permanent ones did, with 11.6% and 11.1% reporting a moderate level and high level of job insecurity, respectively, while 4.5% and 3.4% of the permanent employees in the moderate and high level groups, respectively, reported job insecurity. The demographics also showed that physical laborers and those who were in the service industry had a higher incidence of moderate to high job insecurity than did those who were office clerks or professionals. Those who had moderate to high job insecurity were more likely to have more exposure to physical and/or chemical hazards or had higher ergonomic risk factors than not. Smoking, drinking, and the shift system, however, had no statistical significance among the different levels of job insecurity (Table 1).
Table 1
Characteristics of the participants
Variables
All
Job insecurity N (%)
p-value*
      Low Moderate High  
Total
7,071
6,248 (88.4)
446 (6.3)
377 (5.3)
 
Age group (years)
 
 
 
 
 
 
15-24
398
325 (81.7)
22 (5.5)
51 (12.8)
<0.001
 
25-34
2,016
1,786 (88.6)
134 (6.6)
96 (4.8)
 
 
35-44
2,506
2,244 (89.5)
149 (5.9)
113 (4.5)
 
 
45-54
1,473
1,331 (90.4)
77 (5.2)
65 (4.4)
 
 
55-65
678
562 (82.9)
64 (9.4)
52 (7.7)
 
Gender
 
 
 
 
 
 
Male
4,594
4,083 (88.9)
296 (6.4)
215 (4.7)
0.004
 
Female
2,477
2,165 (87.4)
150 (6.1)
162 (6.5)
 
Income (10,000 won/month)
 
 
 
 
 
 
<100
1,516
1,192 (78.6)
161 (10.6)
163 (10.8)
<0.001
 
100-200
2,987
2,369 (88.3)
200 (6.7)
148 (5.0)
 
 
200-299
1,663
1,552 (93.3)
66 (4.0)
45 (2.7)
 
 
≥300
905
865 (95.6)
19 (2.1)
21 (2.3)
 
Education completed
 
 
 
 
 
 
≤Middle school
1,024
846 (82.6)
100 (9.8)
78 (7.6)
<0.001
 
High school
2,915
2,522 (86.5)
199 (6.8)
194 (6.7)
 
 
≥University
3,132
2,880 (92.0)
147 (4.7)
105 (3.4)
 
Drinking (times/week)
 
 
 
 
 
 
No drinking
1,688
1,494 (88.5)
103 (6.1)
91 (5.4)
0.170
 
≤1
3,084
2,722 (88.3)
182 (5.9)
180 (5.8)
 
 
≥2
2,299
2,032 (88.4)
161 (7.0)
106 (4.6)
 
Smoking
 
 
 
 
 
 
Never
3,627
3,188 (87.9)
228 (6.3)
211 (5.8)
0.162
 
Former
952
844 (88.7)
69 (7.2)
39 (4.1)
 
 
Current
2,492
2,216 (88.9)
149 (6.0)
127 (5.1)
 
Contract type
 
 
 
 
 
 
Permanent
5,294
4,875 (92.1)
240 (4.5)
179 (3.4)
<0.001
 
Temporary
1,777
1,373 (77.3)
206 (11.6)
198 (11.1)
 
Occupation
 
 
 
 
 
 
Office clerk
1,448
1,324 (91.4)
66 (4.6)
58 (4.0)
<0.001
 
Professional
1,486
1,377 (92.7)
60 (4.0)
49 (3.3)
 
 
Service industry
1,217
1,057 (86.9)
87 (7.1)
73 (6.0)
 
 
Physical labor
2,920
2,490 (85.3)
233 (8.0)
197 (6.7)
 
Working hours per week
 
 
 
 
 
 
<35
571
442 (77.4)
71 (12.4)
58 (10.2)
<0.001
 
35-44
2,649
2,413 (91.1)
124 (4.7)
112 (4.2)
 
 
≥45
3,851
3,393 (88.1)
251 (6.5)
207 (5.4)
 
Work schedule
 
 
 
 
 
 
Non-shift
6,252
5,626 (88.4)
400 (6.4)
326 (5.2)
0.350
 
Shift
819
722 (88.2)
46 (5.6)
51 (6.2)
 
Physical & chemical hazards
 
 
 
 
 
 
Non-exposure
4,451
4,044 (90.9)
218 (4.9)
189 (4.2)
<0.001
 
Exposure
2,620
2,204 (84.1)
228 (8.7)
188 (7.2)
 
Ergonomic risk factors
 
 
 
 
 
 
Non-exposure
1,964
1,803 (91.8)
93 (4.7)
68 (3.5)
<0.001
  Exposure 5,107 4,445 (87.0) 353 (6.9) 309 (6.1)  
*Calculated by chi-squared test.
Work-related health problems and the level of job insecurity by contract type
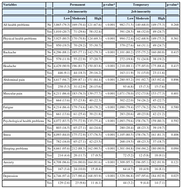
Work-related health was analyzed by stratifying participants into different contract types: temporary and permanent. The temporary employees reported more work-related health problems than did the permanent workers (data not shown). After the stratification, comparing work-related health problems at each level of job insecurity, it was found that permanent workers responded with more work-related health problems in higher level of job insecurity than those with low job insecurity. As for the temporary employees, even though there proved to be more complaints of work-related health problems compared to the permanent workers on the whole, unlike the permanent workers, the differences in work-related health problems by level of job insecurity were not statistically significant (Table 2).
Table 2
Results of work related health problems by contract type and level of job insecurity
Variables
 
Permanent
p-value*
Temporary
p-value*
 
 
Job insecurity
 
Job insecurity
 
    Low Moderate High   Low Moderate High  
All health problems
No
3,865 (79.3)
169 (70.4)
121 (67.6)
< 0.001
982 (71.5)
140 (68.0)
149 (75.3)
0.268
 
Yes
1,010 (20.7)
71 (29.6)
58 (32.4)
 
391 (28.5)
66 (32.0)
49 (24.7)
 
Physical health problems
No
3,925 (80.5)
170 (70.8)
124 (69.3)
< 0.001
994 (72.4)
142 (68.9)
149 (75.3)
0.361
 
Yes
950 (19.5)
70 (29.2)
55 (30.7)
 
379 (27.6)
64 (31.1)
49 (24.7)
 
 Backache
No
4,296 (88.1)
185 (77.1)
142 (79.3)
< 0.001
1,101 (80.2)
155 (75.2)
160 (80.8)
0.415
 
Yes
579 (11.9)
55 (22.9)
37 (20.7)
 
272 (19.8)
51 (24.8)
38 (19.2)
 
 Headache
No
4,429 (90.9)
196 (81.7)
150 (83.8)
< 0.001
1,210 (88.1)
175 (85.0)
175 (88.4)
0.415
 
Yes
446 (9.1)
44 (18.3)
29 (16.2)
 
163 (11.9)
31 (15.0)
23 (11.6)
 
 Abdominal pain
No
4,617 (94.7)
209 (87.1)
151 (84.4)
< 0.001
1,280 (93.2)
191 (92.7)
183 (92.4)
0.896
 
Yes
258 (5.3)
31 (12.9)
28 (15.6)
 
93 (6.8)
15 (7.3)
15 (7.6)
 
 Muscular pain
No
4,211 (86.4)
183 (76.3)
139 (77.7)
< 0.001
1,071 (78.0)
152 (73.8)
153 (77.3)
0.401
 
Yes
664 (13.6)
57 (23.8)
40 (22.3)
 
302 (22.0)
54 (26.2)
45 (22.7)
 
 Fatigue
No
4,214 (86.4)
179 (74.6)
140 (78.2)
< 0.001
1,090 (79.4)
157 (76.2)
156 (78.8)
0.580
 
Yes
661 (13.6)
61 (25.4)
39 (21.8)
 
283 (20.6)
49 (23.8)
42 (21.2)
 
 Psychological health problems
No
4,072 (83.5)
175 (72.9)
135 (75.4)
< 0.001
1,093 (79.6)
158 (76.7)
159 (80.3)
0.592
 
Yes
803 (16.5)
65 (27.1)
44 (24.6)
 
280 (20.4)
48 (23.3)
39 (19.7)
 
 Stress
No
4,093 (84.0)
175 (72.9)
137 (76.5)
< 0.001
1,105 (80.5)
158 (76.7)
161 (81.3)
0.406
 
Yes
782 (16.0)
65 (27.1)
42 (23.5)
 
268 (19.5)
48 (23.3)
37 (18.7)
 
 Sleeping problems
No
4,661 (95.6)
212 (88.3)
162 (90.5)
< 0.001
1,301 (94.8)
194 (94.2)
180 (90.9)
0.094
 
Yes
214 (4.4)
28 (11.7)
17 (9.5)
 
72 (5.2)
12 (5.8)
18 (9.1)
 
 Anxiety
No
4,708 (96.6)
216 (90.0)
164 (91.6)
< 0.001
1,309 (95.3)
196 (95.1)
182 (91.9)
0.121
 
Yes
167 (3.4)
24 (10.0)
15 (8.4)
 
64 (4.7)
10 (4.9)
16 (8.1)
 
 Depression
No
4,746 (97.4)
217 (90.4)
168 (93.9)
< 0.001
1,329 (96.8)
197 (95.6)
184 (92.9)
0.025
  Yes 129 (2.6) 23 (9.6) 11 (6.1)   44 (3.2) 9 (4.4) 14 (7.1)  
*Calculated by chi-squared test.
Correlation of job insecurity of each contract type with work-related health problems
In order to examine the correlation between job insecurity and work-related health problems, multiple logistic regression was used according to contract type, adjusting for social demographic factors such as gender, age, education, income, occupation, smoking, and drinking, and work-related characteristics such as working hours, shift schedule, physical and chemical hazard exposure, and ergonomic risk factors. Analyzing only the temporary employees, those with higher job insecurity showed more correlation to having depression (OR 2.41; 95% CI = 1.24-4.68). Aside from that, there were no statistically significant associations between level of job insecurity and work-related health (Table 3). Unlike the temporary workers, however, the permanent employees with moderate job insecurity, compared to those with low, responded as having backache (OR 2.08; 95% CI = 1.49-2.90), headache (OR 2.19; 95% CI = 1.53-3.13), abdominal pain (OR 2.52; 95% CI = 1.66-3.81), muscular pain (OR 1.86; 95% CI = 1.35-2.58), fatigue (OR 2.12; 95% CI = 1.54-2.92), stress (OR 1.97; 95% CI = 1.44-2.68), sleeping problems (OR 3.04; 95% CI = 1.95-4.74), anxiety (OR 2.91; 95% CI = 1.82-4.65), and depression (OR 3.82; 95% CI = 2.34-6.23), all with statistical significance. The high job insecurity group also showed statistically significant results compared to those with low, reporting higher rates of backache (OR 1.78; 95% CI = 1.20-2.64), headache (OR 1.91; 95% CI = 1.25-2.93), abdominal pain (OR 3.27; 95% CI = 2.09-5.12), muscular pain (OR 1.68; 95% CI = 1.14-2.46), fatigue (OR 1.75; 95% CI = 1.19-2.57), stress (OR 1.65; 95% CI = 1.14-2.40), sleeping problems (OR 2.31; 95% CI = 1.33-4.02), anxiety (OR 2.33; 95% CI = 1.31-4.13), and depression (OR 2.26; 95% CI = 1.16-4.39). Additional analysis of the physical and/or psychological health problems and all types of health problems showed a higher odds ratio in the group with higher job insecurity than in those with low job insecurity (Table 4).
Table 3
Odds ratios (OR) and 95% confidence intervals for the association between job insecurity and work-related health problems in temporary workers
 
Crude OR
Adjusted OR*
 
Job insecurity
Job insecurity
 
Low
Moderate
High
Low
Moderate
High
  OR (95% CI) OR (95% CI) OR (95% CI) OR (95% CI) OR (95% CI) OR (95% CI)
All health problems
reference
1.18 (0.86-1.62)
0.83 (0.59-1.16)
reference
1.16 (0.83-1.61)
0.76 (0.53-1.09)
Physical health problems
reference
1.18 (0.86-1.62)
0.86 (0.61-1.22)
reference
1.14 (0.82-1.60)
0.78 (0.54-1.12)
 Backache
reference
1.33 (0.95-1.88)
0.84 (0.66-1.40)
reference
1.23 (0.86-1.78)
0.85 (0.57-1.27)
 Headache
reference
1.31 (0.86-1.99)
0.98 (0.61-1.55)
reference
1.22 (0.79-1.89)
0.83 (0.51-1.35)
 Abdominal pain
reference
1.08 (0.61-1.90)
1.13 (0.64-1.99)
reference
0.97 (0.53-1.77)
0.96 (0.53-1.76)
 Muscular pain
reference
1.26 (0.90-1.76)
1.04 (0.73-1.49)
reference
1.21 (0.85-1.73)
0.94 (0.64-1.36)
 Fatigue
reference
1.20 (0.85-1.70)
1.04 (0.72-1.49)
reference
1.23 (0.86-1.78)
0.96 (0.66-1.42)
Psychological health problems
reference
1.19 (0.84-1.68)
0.96 (0.66-1.39)
reference
1.13 (0.78-1.63)
0.88 (0.59-1.30)
 Stress
reference
1.25 (0.88-1.78)
0.95 (0.65-1.39)
reference
1.19 (0.83-1.73)
0.86 (0.58-2.10)
 Sleeping problems
reference
1.12 (0.59-2.09)
1.81 (1.05-3.09)
reference
1.06 (0.56-2.04)
1.75 (0.99-3.10)
 Anxiety
reference
1.04 (0.53-2.07)
1.80 (1.02-3.18)
reference
0.91 (0.45-1.84)
1.72 (0.94-3.14)
 Depression reference 1.38 (0.66-2.87) 2.30 (1.24-4.28) reference 1.28 (0.59-2.78) 2.41 (1.24-4.68)
*Adjusted for gender, age, education, income, occupation, smoking, drinking, physical & chemical hazards, ergonomic risk factor, working hours, and work schedule.
Table 4
Odds ratios (OR) and 95% confidence intervals for the association between job insecurity and work-related health problems in permanent workers
 
Crude OR
Adjusted OR*
 
Job insecurity
Job insecurity
 
Low
Moderate
High
Low
Moderate
High
  OR (95% CI) OR (95% CI) OR (95% CI) OR (95% CI) OR (95% CI) OR (95% CI)
All health problems
reference
1.62 (1.21-2.15)
1.84 (1.34-2.54)
reference
1.57 (1.16-2.12)
1.81 (1.29-2.55)
Physical health problems
reference
1.70 (1.28-2.27)
1.83 (1.32-2.54)
reference
1.65 (1.22-2.23)
1.80 (1.28-2.55)
 Backache
reference
2.21 (1.61-3.02)
1.93 (1.33-2.81)
reference
2.08 (1.49-2.90)
1.78 (1.20-2.64)
 Headache
reference
2.23 (1.59-3.14)
1.92 (1.28-2.89)
reference
2.19 (1.53-3.13)
1.91 (1.25-2.93)
 Abdominal pain
reference
2.65 (1.78-3.95)
3.32 (2.18-5.06)
reference
2.52 (1.66-3.81)
3.27 (2.09-5.12)
 Muscular pain
reference
1.98 (1.45-2.69)
1.83 (1.27-2.62)
reference
1.86 (1.35-2.58)
1.68 (1.14-2.46)
 Fatigue
reference
2.17 (1.61-2.94)
1.78 (1.23-2.56)
reference
2.12 (1.54-2.92)
1.75 (1.19-2.57)
Psychological health problems
reference
1.88 (1.40-2.23)
1.65 (1.17-2.34)
reference
1.90 (1.39-2.58)
1.69 (1.17-2.44)
 Stress
reference
1.94 (1.45-2.61)
1.61 (1.13-2.29)
reference
1.97 (1.44-2.68)
1.65 (1.14-2.40)
 Sleeping problems
reference
2.88 (1.89-4.37)
2.29 (1.36-3.84)
reference
3.04 (1.95-4.74)
2.31 (1.33-4.02)
 Anxiety
reference
3.13 (1.99-4.91)
2.58 (1.49-4.47)
reference
2.91 (1.82-4.65)
2.33 (1.31-4.13)
 Depression reference 3.89 (2.45-6.20) 2.41 (1.28-4.54) reference 3.82 (2.34-6.23) 2.26 (1.16-4.39)
*Adjusted for gender, age, education, income, occupation, smoking, drinking, physical & chemical hazards, ergonomic risk factor, working hours, and work schedule.
This study using the First Korean Working Conditions Survey data gathered in 2006, investigated the correlation between the level of job insecurity and work-related health problems among South Korean employees. In particular, stratifying according to contract type, analyses were performed to determined whether there were correlations between job insecurity and both the type of contract (temporary or permanent) and work-related health. On examination, a greater correlation with work-related health was found in the group with moderate or higher job insecurity in the permanent employees. The connection between health problems and job insecurity has been investigated in a variety of studies using either direct or indirect methods, and the majority of studies have reported that job insecurity has negative correlation to health [1,5,7-9,18,23-26]. In one study conducted with the employees of a major electronics company in South Korea, job insecurity was shown to affect psychological health in both male and female workers [12]. Another study on fire fighters and male employees of an automobile manufacturing corporation demonstrated that their depressive symptoms are linked to job insecurity [11]. Many other studies have reported similar results, such as a study on the relation between overweight and obesity, and job insecurity [8], and another on the association between job insecurity and subjective health perceptions and complaints of depressive symptoms. A study on insomnia incidence in relation to job insecurity also found similar results [9].
It is difficult to anticipate an appropriate action or provide timely social support for the phenomena that result from job insecurity, since it does not occur in an objective and distinctive manner such as actual unemployment or layoff [5]. In effect, in the case where job insecurity is experienced, it is often not easy for employees to find a way to work it out or find a solution, and in the end, the insecurity could materialize as chronic stress [3]. Our body, under a certain amount of stress, exudes hormones such as catecholamine, dopamine, serotonin, etc., following changes in the hypothalamus-pituitary-endocrine axis, limbic system, as well as autonomic nervous system-adrenal cortex [27]. These changes in hormones result in a variety of physical responses. For one, catecholamine can raise the blood pressure and heart rate, cause vasoconstriction of the vessels and hemodynamic changes, and activate platelet activities, to increase the risk of myocardial ischemia and thrombus formation. This is the reason exposure to stress could contribute to the onset or aggravation of cardiovascular diseases [28]. Sociopsychological factors linked with stress can also increase the degree of muscle tension and thus worsen the biomechanical tension in the musculoskeletal system causing an actual physical disability [29]. Stress also shows a connection to psychological well-being. It is thought to happen as a result of hormone changes such as dopamine and serotonin [30], or to those with a tendency to develop psychiatric diseases, who cannot overcome stress and succumb a full-blown malady [31].
Studies of job insecurity show a wide range of results for the incidence in employees according to the cohort setting (13.2%-51.2%) [5,32]. In our study, 11.6% of respondents at least moderate job insecurity, a result somewhat lower than in other reports. Such an outcome could be explained by the percentage of temporary workers included in a cohort [16,17], and we concluded that the direct comparison to the cohorts of other studies with different proportions of temporary workers would be impractical.
Our study results show that job insecurity is correlated to health in permanent employees, but not in temporary employees. This result is in accordance to many other reports already published that the job insecurity of permanent workers has a greater correlation to health than that of temporary ones [17]. One theory that explains the hypothesis that job insecurity has a greater impact on the health of permanent employees is the psychological contract theory. A psychological contract is a concept that with the expectations or sense of mutual obligation, one can form obligations to an organization one belongs to and fulfill it, to achieve the right to continue working for that particular organization [33]. In other words, the permanent worker forms a greater psychological contract than the temporary worker. In return for stability, they go as far as to tolerate expectations of the employer and obligations that follow, but as soon as they experience an incident that does not guarantee such stability within the employment arrangement, they tend to feel greater betrayal than the temporary employee, which then to becomes a more impactful stress factor in the form of job insecurity, to finally end in negative consequences to psychological and physical health and well-being [15]. Since the influence of job insecurity in accordance with the type of contract has not been clarified, however, and also whether the amount of work or nature of the work that is known to affect the health of the temporary workers has not been thoroughly analyzed, one cannot prematurely conclude that there is no connection between job insecurity and the work-related health of temporary employees per se.
In our research, job insecurity did not show a clear dose–response relationship in any of absence of related areas. We can assume from this result, that they do not feel either the presence or absence of security altogether but rather experience it on a continuum [3]. However, many previous studies have shown a dose–response curve [16,17], and this shows that there is a need for further studies in this area.
The strength of this study is having a large scale cohort population of 7,071, and that this is a sampling study that extends to the entire country, which can therefore be representative of the national population. In addition, when the survey was performed, well-trained surveyors were engaged, and systematic surveys were used so that random interpretation of the respondents could be prevented to minimize information bias. Also, another strength of this study was that, unlike other studies that focused on only a few symptoms or health problems, our study investigated a variety of work-related health problems.
Our research also has its limitations. Since our study is a cross-sectional study, proving a causal relationship between job insecurity and work-related health. In measuring job insecurity, only one clause was used, and not using the Occupational Stress Scale for Korean Employees [34] that is popularly used in the Korea or the scale of Ashford et al. that is used in many studies in other countries [35] can be considered as a drawback. There is not a generally accepted method of measuring such associations as yet [4], and different studies are using different methods of measurement [2]. The basic concept of such a variety of methods, however, has its cornerstone in understanding whether or not the current work position or employment status could be continued in the near future [4]. The clause in our study also has its foundation on such a concept, and the Fourth European Working Conditions Survey, which is the basis of the survey we have used in our study, has the same clause as a part of its investigation of job insecurity [36]. One meta-analysis also found that more than 30% of the studies it included used one clause for analysis [2], and our literature review also turned up many studies in which single-clause surveys were used. A question clause about work-related health problems also has its limitations in that as it is a self-reported questionnaire, there could be a disparity in the actual health of the workers from what they reported. Self-report questionnaires, however, are known to be a good predictive tool for the actual health factors, such as mortality [37]. There is also evidence that nationwide scale self-reported questionnaires in general show good reliability [38], and considering there are many studies that have used Working Conditions Survey data, which our study used as the health measurement method [9,39], using the survey in our study did not seem to be a problem. Future studies, however, measuring job insecurity and/or health problems, could use methods that have been proven valid and reliable to overcome the potential limitations of our study. Another limitation is that there is a gap between the known percentage of permanent and temporary workers and the percentage investigated in our study. In the same year that our study was carried out, Statistics Korea had actually determined that the percentage of permanent employees was about 64.5% through an economic activity survey [40], but the study we carried out found the percentage to be 74.9%, higher than that of Statistics Korea. It seems the difference seen here might be due to the different definitions of the contract type. Statistics Korea's economic activity population survey allows for overlap between types of temporary workers such as part-time work, employment by the hour, and irregular work, but in our study we have described temporary work in its exclusive form [22].
As it is expected that the number of employees experiencing job insecurity will increase consistently with ongoing changes in the labor market, there will be an increasing need for research on the health and working conditions in the future. Not only the use of surveys for subjective information, but objective information such as blood pressure measurement or taking blood samples for laboratory examinations is also needed, and research that aims to investigate methods to reduce job insecurity as well as the factors that cause it should be performed at the same time.
The authors declare that they have no competing interests.
WWL and JBP designed the research. MSK collected the data. WWL and KBM performed the statistical analysis. WWL, KJL, and JBP interpreted the data. WWL and KBM wrote the manuscript. All of the authors read and approved the final manuscript.
  • Ferrie JE: Is job insecurity harmful to health? J R Soc Med 2001;25:71–76. 11234203.ArticlePubMedPMCPDF
  • Sverke M, Hellgren J, Näswall K: No security: a meta-analysis and review of job insecurity and its consequences. J Occup Health Psychol 2002;25(3):242–264. 12148956.Article
  • Witte HD: Job Insecurity and psychological well-being: review of the literature and exploration of some unresolved issues. Eur J Work Org Psychol 1999;25(2):155–177. 10.1080/135943299398302.Article
  • Sverke M, Hellgren J: The nature of job insecurity: Understanding employment uncertainty on the brink of a new millennium. Appl Psychol Int Rev 2002;25(1):23–42. 10.1111/1464-0597.0077z.Article
  • Burgard SA, Brand JE, House JS: Perceived job insecurity and worker health in the United States. Soc Sci Med 2009;25(5):777–785. 10.1016/j.socscimed.2009.06.029. 19596166.ArticlePubMedPMC
  • De Witte H: Job insecurity: review of the international literature on definitions, prevalence, antecedents and consequences. SA J Ind Psychol 2007;25(4):1–6.
  • Laszlo KD, Pikhart H, Kopp MS, Bobak M, Pajak A, Malyutina S, Salavecz G, Marmot M: Job insecurity and health: a study of 16 European countries. Soc Sci Med 2010;25(6):867–874. 10.1016/j.socscimed.2009.11.022. 20060634.
  • Muenster E, Rueger H, Ochsmann E, Letzel S, Toschke AM: Association between overweight, obesity and self-perceived job insecurity in German employees. BMC Publ Health 2011;25:162. 10.1186/1471-2458-11-162.ArticlePDF
  • Park JB, Nakata A, Swanson NG, Chun H: Organizational factors associated with work-related sleep problems in a nationally representative sample of Korean workers. Int Arch Occup Environ Health 2013;25(2):211–222. 10.1007/s00420-012-0759-3. 22426500.Article
  • Park KC, Lee KJ, Park JB, Min KB, Lee KY: Association between occupational stress and depression, anxiety, and stress symptoms among white-collar male workers in an automotive company. Korean J Occup Environ Med 2008;25(3):215–224.ArticlePDF
  • Kim TW, Kim KS, Ahn YS: Relationship between job stress and depressive symptoms among field firefighters. Korean J Occup Environ Med 2010;25(4):378–387.ArticlePDF
  • Yu KY, Lee KJ, Min KB, Park KC, Chai SK, Park JB: Association between job stress and mental health among workers in a large company. J Korean Soc Occup Environ Hyg 2011;25(3):146–155.
  • Koo H: Nonstandard employee's employment insecurity and organizational commitment: a comparative study. Korean J Soc 2005;25(2):163–195.
  • De Witte H, Näswall K: ‘Objective’ vs ‘subjective’ job Insecurity: consequences of temporary work for job satisfaction and organizational commitment in four european countries. Econ Ind Democracy 2003;25(2):149–188. 10.1177/0143831X03024002002.
  • De Cuyper N, De Witte H: Job insecurity in temporary versus permanent workers: associations with attitudes, well-being, and behaviour. Work Stress 2007;25(1):65–84. 10.1080/02678370701229050.
  • Virtanen P, Janlert U, Hammarstrom A: Exposure to temporary employment and job insecurity: a longitudinal study of the health effects. Occup Environ Med 2011;25(8):570–574. 10.1136/oem.2010.054890. 21081513.Article
  • Kirves K, De Cuyper N, Kinnunen U, Natti J: Perceived job insecurity and perceived employability in relation to temporary and permanent workers' psychological symptoms: a two samples study. Int Arch Occup Environ Health 2011;25(8):899–909. 10.1007/s00420-011-0630-y. 21409452.ArticlePDF
  • Hesselink DK, Van Vuuren T: Job flexibility and job insecurity: the Dutch case. Eur J Work Org Psychol 1999;25(2):273–293. 10.1080/135943299398366.
  • De Cuyper N, De Witte H: Job insecurity: mediator or moderator of the relationship between type of contract and various outcomes? SA J Ind Psychol 2007;25(4):79–86.
  • Cuyper N, Witte H: The impact of job insecurity and contract type on attitudes, well‒being and behavioural reports: a psychological contract perspective. J Occup Organ Psychol 2006;25(3):395–409. 10.1348/096317905X53660.
  • Bernhard-Oettel C, Sverke M, De Witte H: Comparing three alternative types of employment with permanent full-time work: how do employment contract and perceived job conditions relate to health complaints? Work Stress 2005;25(4):301–318. 10.1080/02678370500408723.Article
  • Occupational Safety & Health Research Institute. National sample survey of working condition survey & occupational disease health-risk-factor on employee. 2006, Incheon.
  • Ferrie JE, Shipley MJ, Newman K, Stansfeld SA, Marmot M: Self-reported job insecurity and health in the Whitehall II study: potential explanations of the relationship. Soc Sci Med 2005;25(7):1593–1602. 10.1016/j.socscimed.2004.08.006. 15652690.Article
  • Heaney CA, Israel BA, House JS: Chronic job insecurity among automobile workers: effects on job satisfaction and health. Soc Sci Med 1994;25(10):1431–1437. 10.1016/0277-9536(94)90281-X. 8023192.Article
  • Kim DH, Park SG, Kim HC, Lee EC, Kim JH, Leem JH: The relationship between job stress and the common cold. Korean J Occup Environ Med 2008;25(2):74–80.ArticlePDF
  • Lee S, Colditz GA, Berkman LF, Kawachi I: Prospective study of job insecurity and coronary heart disease in US women. Ann Epidemiol 2004;25:24. 10.1016/S1047-2797(03)00074-7. 14664776.Article
  • Dougal AL, Baum A: In: , editor. Stress, Health and Illness. Handbook of health psychology. 2011, 2. New York: Psychology; 321–337.
  • Rozanski A, Bairey CN, Krantz DS, Friedman J, Resser KJ, Morell M, Hilton-Chalfen S, Hestrin L, Bietendorf J, Berman DS: Mental stress and the induction of silent myocardial ischemia in patients with coronary artery disease. N Engl J Med 1988;25(16):1005–1012. 10.1056/NEJM198804213181601. 3352695.Article
  • Bernard B, Sauter S, Fine L, Petersen M, Hales T: Job task and psychosocial risk factors for work-related musculoskeletal disorders among newspaper employees. Scand J Work Environ Health 1994;25(6):417–426. 10.5271/sjweh.1379. 7701287.Article
  • Myint AM, Kim YK: Cytokine–serotonin interaction through IDO: a neurodegeneration hypothesis of depression. Med hypotheses 2003;25(5–6):519–525. 14592780.Article
  • Heim C, Nemeroff CB: The impact of early adverse experiences on brain systems involved in the pathophysiology of anxiety and affective disorders. Biol Psychiatry 1999;25(11):1509–1522. 10.1016/S0006-3223(99)00224-3. 10599479.Article
  • Cheng Y, Chen CW, Chen CJ, Chiang TL: Job insecurity and its association with health among employees in the Taiwanese general population. Soc Sci Med 2005;25(1):41–52. 10.1016/j.socscimed.2004.11.039. 15847960.Article
  • Guest D: Flexible employment contracts, the psychological contract and employee outcomes: an analysis and review of the evidence. Int J Manag Rev 2004;25(1):1–19.Article
  • Chang SJ, Koh SB, Kang D, Kim SA, Kang MG, Lee CG, Chung JJ, Cho JJ, Son M, Chae CH, Kim JW, Kim JI, Kim HS, Roh SC, Park JB, Woo JM, Kim SY, Kim JY, Ha M, Park J, Rhee KY, Kim HR, Kong JO, Kim IA, Kim JS, Park JH, Huyun SJ, Son DK: Developing an occupational stress scale for Korean employees. Korean J Occup Environ Med 2005;25(4):297–317.
  • Ashford SJ, Lee C, Boboko P: Content, cause, and consequences of job insecurity: a theory-based measure and substantive test. Acad Manag j 1989;25(4):803–829. 10.2307/256569.Article
  • European Foundation for the Improvement of Living and Working Conditions. Fourth European working condition survey. 2007, Dublin.
  • Burström B, Fredlund P: Self rated health: is it as good a predictor of subsequent mortality among adults in lower as well as in higher social classes? J Epidemiol Community Health 2001;25(11):836–840. 10.1136/jech.55.11.836. 11604441.
  • Crossley TF, Kennedy S: The reliability of self-assessed health status. J Health Econ 2002;25(4):643–658. 10.1016/S0167-6296(02)00007-3. 12146595.Article
  • Park J, Yi Y, Kim Y: Weekly work hours and stress complaints of workers in Korea. Am J Ind Med 2010;25(11):1135–1141. 10.1002/ajim.20877. 20665532.Article
  • Economically active population survey. http://kosis.kr/nsikor/view/stat10.do.

Figure & Data

REFERENCES

    Citations

    Citations to this article as recorded by  
    • Sociodemographic Factors, Health-Risk Behaviors, and Chronic Conditions Are Associated with a High Prevalence of Depressive Symptoms: Findings from the Indonesian Family Life Survey-5
      Mohammed Alfaqeeh, Sofa D. Alfian, Rizky Abdulah
      Behavioral Medicine.2025; 51(2): 117.     CrossRef
    • Job content, psychological well-being, burnout and fatigue driving among heavy goods vehicle drivers in Ghana
      Mustapha Amoadu, William Akoto-Buabeng
      Discover Psychology.2025;[Epub]     CrossRef
    • Psychosocial risk factors for low back pain in US workers: Data from the 2002–2018 quality of work life survey
      Haiou Yang, Ming‐Lun Lu, Scott Haldeman, Naomi Swanson
      American Journal of Industrial Medicine.2023; 66(1): 41.     CrossRef
    • Factors associated with mental health of internal migrants (Kayayei) in Agbogbloshie-Ghana
      Joyce komesuor, Anna Meyer-Weitz
      BMC Women's Health.2023;[Epub]     CrossRef
    • Work-related stress and associated factors among employees of Hawassa industrial park, southern Ethiopia: an institutional based cross-sectional study
      Yohanes Sime, Hailemariam Hailesilassie, Arefayne Alenko
      BMC Psychiatry.2022;[Epub]     CrossRef
    • The Perceived Risk of Being Infected with COVID-19 at Work, Communication, and Employee Health: A Longitudinal Application of the Job Demands–Resources Model
      Alessandra Falco, Damiano Girardi, Alessandro De Carlo, Elvira Arcucci, Laura Dal Corso
      Sustainability.2022; 14(2): 1037.     CrossRef
    • Prevalence and Associated Factors of the Severity of Depression, Anxiety and Stress Among Low-Income Community-Dwelling Adults in Kuala Lumpur, Malaysia
      Halyna Lugova, Jo Ann Andoy-Galvan, Sapna S. Patil, Yin How Wong, Gul M. Baloch, Adlina Suleiman, Rusli Nordin, Karuthan Chinna
      Community Mental Health Journal.2021; 57(8): 1489.     CrossRef
    • ‘I am Still Able to Contribute to Someone Less Fortunate’: A Phenomenological Analysis of Young Adults’ Process of Personal Healing from Major Depression
      Siaw Leng Chan, Poh Li Lau, Y. Joel Wong
      International Journal for the Advancement of Counselling.2020; 42(1): 97.     CrossRef
    • Bullying in Korean hotel restaurant kitchens: why is everybody always picking on me?
      Ki Ho Kim, Eugene Y. Roh, Young Joong Kim, Samuel A. Spralls
      Employee Relations: The International Journal.2020; 43(1): 337.     CrossRef
    • Prevalence of musculoskeletal disorders in firefighters and its association with insomnia
      Mahnaz Abbasi, Shabnam Jalilolghadr, Mahdi Soltanabadi, Zohreh Yazdi
      Policy and Practice in Health and Safety.2020; 18(1): 34.     CrossRef
    • Associations between cognitive and affective job insecurity and incident purchase of psychotropic drugs: A prospective cohort study of Swedish employees
      Sandra Blomqvist, Tianwei Xu, Paraskevi Persitera, Lena Låstad, Linda L. Magnusson Hanson
      Journal of Affective Disorders.2020; 266: 215.     CrossRef
    • Prevalence and associated factors of musculoskeletal disorders among Chinese healthcare professionals working in tertiary hospitals: a cross-sectional study
      Hongyun Dong, Qiong Zhang, Guangzeng Liu, Tingguo Shao, Yingzhi Xu
      BMC Musculoskeletal Disorders.2019;[Epub]     CrossRef
    • Sleep problems among Chinese clinical nurses working in general hospitals
      H Dong, Q Zhang, Z Sun, F Sang, Y Xu
      Occupational Medicine.2017; 67(7): 534.     CrossRef
    • Psychotropic Drug Consumption and Employment Status in Time of Economic Crisis (2007–2011)
      Cesare Maria Cornaggia, Massimiliano Beghi, Mario Mezzanzanica, Gloria Ronzoni, Giorgio Vittadini, Walter Maffenini
      Psychiatric Quarterly.2017; 88(2): 371.     CrossRef
    • Sleep disturbances among Chinese clinical nurses in general hospitals and its influencing factors
      Hongyun Dong, Qiong Zhang, Zihua Sun, Fengxin Sang, Yingzhi Xu
      BMC Psychiatry.2017;[Epub]     CrossRef
    • Effect of Job Insecurity on Job related Depression and Anxiety: Large- and Small-sized Company Employees
      Yeongmi Ha, Hyunju Park
      Korean Journal of Occupational Health Nursing.2016; 25(4): 329.     CrossRef
    • Is the worsening of psychosocial exposures associated with mental health? Comparing two population‐based cross‐sectional studies in Spain, 2005–2010
      Mireia Utzet, Albert Navarro, Clara Llorens, Carles Muntaner, Salvador Moncada
      American Journal of Industrial Medicine.2016; 59(5): 399.     CrossRef
    • Job insecurity is associated with adult asthma in Germany during Europe's recent economic crisis: a prospective cohort study
      Adrian Loerbroks, Jos A Bosch, Jeroen Douwes, Peter Angerer, Jian Li
      Journal of Epidemiology and Community Health.2014; 68(12): 1196.     CrossRef

    • Cite
      CITE
      export Copy Download
      Close
      Download Citation
      Download a citation file in RIS format that can be imported by all major citation management software, including EndNote, ProCite, RefWorks, and Reference Manager.

      Format:
      • RIS — For EndNote, ProCite, RefWorks, and most other reference management software
      • BibTeX — For JabRef, BibDesk, and other BibTeX-specific software
      Include:
      • Citation for the content below
      Association between work-related health problems and job insecurity in permanent and temporary employees
      Ann Occup Environ Med. 2013;25:15  Published online September 11, 2013
      Close
    • XML DownloadXML Download
    Related articles
    Association between work-related health problems and job insecurity in permanent and temporary employees
    Association between work-related health problems and job insecurity in permanent and temporary employees
    Variables
    All
    Job insecurity N (%)
    p-value*
       LowModerateHigh 
    Total
    7,071
    6,248 (88.4)
    446 (6.3)
    377 (5.3)
     
    Age group (years)
     
     
     
     
     
     
    15-24
    398
    325 (81.7)
    22 (5.5)
    51 (12.8)
    <0.001
     
    25-34
    2,016
    1,786 (88.6)
    134 (6.6)
    96 (4.8)
     
     
    35-44
    2,506
    2,244 (89.5)
    149 (5.9)
    113 (4.5)
     
     
    45-54
    1,473
    1,331 (90.4)
    77 (5.2)
    65 (4.4)
     
     
    55-65
    678
    562 (82.9)
    64 (9.4)
    52 (7.7)
     
    Gender
     
     
     
     
     
     
    Male
    4,594
    4,083 (88.9)
    296 (6.4)
    215 (4.7)
    0.004
     
    Female
    2,477
    2,165 (87.4)
    150 (6.1)
    162 (6.5)
     
    Income (10,000 won/month)
     
     
     
     
     
     
    <100
    1,516
    1,192 (78.6)
    161 (10.6)
    163 (10.8)
    <0.001
     
    100-200
    2,987
    2,369 (88.3)
    200 (6.7)
    148 (5.0)
     
     
    200-299
    1,663
    1,552 (93.3)
    66 (4.0)
    45 (2.7)
     
     
    ≥300
    905
    865 (95.6)
    19 (2.1)
    21 (2.3)
     
    Education completed
     
     
     
     
     
     
    ≤Middle school
    1,024
    846 (82.6)
    100 (9.8)
    78 (7.6)
    <0.001
     
    High school
    2,915
    2,522 (86.5)
    199 (6.8)
    194 (6.7)
     
     
    ≥University
    3,132
    2,880 (92.0)
    147 (4.7)
    105 (3.4)
     
    Drinking (times/week)
     
     
     
     
     
     
    No drinking
    1,688
    1,494 (88.5)
    103 (6.1)
    91 (5.4)
    0.170
     
    ≤1
    3,084
    2,722 (88.3)
    182 (5.9)
    180 (5.8)
     
     
    ≥2
    2,299
    2,032 (88.4)
    161 (7.0)
    106 (4.6)
     
    Smoking
     
     
     
     
     
     
    Never
    3,627
    3,188 (87.9)
    228 (6.3)
    211 (5.8)
    0.162
     
    Former
    952
    844 (88.7)
    69 (7.2)
    39 (4.1)
     
     
    Current
    2,492
    2,216 (88.9)
    149 (6.0)
    127 (5.1)
     
    Contract type
     
     
     
     
     
     
    Permanent
    5,294
    4,875 (92.1)
    240 (4.5)
    179 (3.4)
    <0.001
     
    Temporary
    1,777
    1,373 (77.3)
    206 (11.6)
    198 (11.1)
     
    Occupation
     
     
     
     
     
     
    Office clerk
    1,448
    1,324 (91.4)
    66 (4.6)
    58 (4.0)
    <0.001
     
    Professional
    1,486
    1,377 (92.7)
    60 (4.0)
    49 (3.3)
     
     
    Service industry
    1,217
    1,057 (86.9)
    87 (7.1)
    73 (6.0)
     
     
    Physical labor
    2,920
    2,490 (85.3)
    233 (8.0)
    197 (6.7)
     
    Working hours per week
     
     
     
     
     
     
    <35
    571
    442 (77.4)
    71 (12.4)
    58 (10.2)
    <0.001
     
    35-44
    2,649
    2,413 (91.1)
    124 (4.7)
    112 (4.2)
     
     
    ≥45
    3,851
    3,393 (88.1)
    251 (6.5)
    207 (5.4)
     
    Work schedule
     
     
     
     
     
     
    Non-shift
    6,252
    5,626 (88.4)
    400 (6.4)
    326 (5.2)
    0.350
     
    Shift
    819
    722 (88.2)
    46 (5.6)
    51 (6.2)
     
    Physical & chemical hazards
     
     
     
     
     
     
    Non-exposure
    4,451
    4,044 (90.9)
    218 (4.9)
    189 (4.2)
    <0.001
     
    Exposure
    2,620
    2,204 (84.1)
    228 (8.7)
    188 (7.2)
     
    Ergonomic risk factors
     
     
     
     
     
     
    Non-exposure
    1,964
    1,803 (91.8)
    93 (4.7)
    68 (3.5)
    <0.001
     Exposure5,1074,445 (87.0)353 (6.9)309 (6.1) 
    Variables
     
    Permanent
    p-value*
    Temporary
    p-value*
     
     
    Job insecurity
     
    Job insecurity
     
      LowModerateHigh LowModerateHigh 
    All health problems
    No
    3,865 (79.3)
    169 (70.4)
    121 (67.6)
    < 0.001
    982 (71.5)
    140 (68.0)
    149 (75.3)
    0.268
     
    Yes
    1,010 (20.7)
    71 (29.6)
    58 (32.4)
     
    391 (28.5)
    66 (32.0)
    49 (24.7)
     
    Physical health problems
    No
    3,925 (80.5)
    170 (70.8)
    124 (69.3)
    < 0.001
    994 (72.4)
    142 (68.9)
    149 (75.3)
    0.361
     
    Yes
    950 (19.5)
    70 (29.2)
    55 (30.7)
     
    379 (27.6)
    64 (31.1)
    49 (24.7)
     
     Backache
    No
    4,296 (88.1)
    185 (77.1)
    142 (79.3)
    < 0.001
    1,101 (80.2)
    155 (75.2)
    160 (80.8)
    0.415
     
    Yes
    579 (11.9)
    55 (22.9)
    37 (20.7)
     
    272 (19.8)
    51 (24.8)
    38 (19.2)
     
     Headache
    No
    4,429 (90.9)
    196 (81.7)
    150 (83.8)
    < 0.001
    1,210 (88.1)
    175 (85.0)
    175 (88.4)
    0.415
     
    Yes
    446 (9.1)
    44 (18.3)
    29 (16.2)
     
    163 (11.9)
    31 (15.0)
    23 (11.6)
     
     Abdominal pain
    No
    4,617 (94.7)
    209 (87.1)
    151 (84.4)
    < 0.001
    1,280 (93.2)
    191 (92.7)
    183 (92.4)
    0.896
     
    Yes
    258 (5.3)
    31 (12.9)
    28 (15.6)
     
    93 (6.8)
    15 (7.3)
    15 (7.6)
     
     Muscular pain
    No
    4,211 (86.4)
    183 (76.3)
    139 (77.7)
    < 0.001
    1,071 (78.0)
    152 (73.8)
    153 (77.3)
    0.401
     
    Yes
    664 (13.6)
    57 (23.8)
    40 (22.3)
     
    302 (22.0)
    54 (26.2)
    45 (22.7)
     
     Fatigue
    No
    4,214 (86.4)
    179 (74.6)
    140 (78.2)
    < 0.001
    1,090 (79.4)
    157 (76.2)
    156 (78.8)
    0.580
     
    Yes
    661 (13.6)
    61 (25.4)
    39 (21.8)
     
    283 (20.6)
    49 (23.8)
    42 (21.2)
     
     Psychological health problems
    No
    4,072 (83.5)
    175 (72.9)
    135 (75.4)
    < 0.001
    1,093 (79.6)
    158 (76.7)
    159 (80.3)
    0.592
     
    Yes
    803 (16.5)
    65 (27.1)
    44 (24.6)
     
    280 (20.4)
    48 (23.3)
    39 (19.7)
     
     Stress
    No
    4,093 (84.0)
    175 (72.9)
    137 (76.5)
    < 0.001
    1,105 (80.5)
    158 (76.7)
    161 (81.3)
    0.406
     
    Yes
    782 (16.0)
    65 (27.1)
    42 (23.5)
     
    268 (19.5)
    48 (23.3)
    37 (18.7)
     
     Sleeping problems
    No
    4,661 (95.6)
    212 (88.3)
    162 (90.5)
    < 0.001
    1,301 (94.8)
    194 (94.2)
    180 (90.9)
    0.094
     
    Yes
    214 (4.4)
    28 (11.7)
    17 (9.5)
     
    72 (5.2)
    12 (5.8)
    18 (9.1)
     
     Anxiety
    No
    4,708 (96.6)
    216 (90.0)
    164 (91.6)
    < 0.001
    1,309 (95.3)
    196 (95.1)
    182 (91.9)
    0.121
     
    Yes
    167 (3.4)
    24 (10.0)
    15 (8.4)
     
    64 (4.7)
    10 (4.9)
    16 (8.1)
     
     Depression
    No
    4,746 (97.4)
    217 (90.4)
    168 (93.9)
    < 0.001
    1,329 (96.8)
    197 (95.6)
    184 (92.9)
    0.025
     Yes129 (2.6)23 (9.6)11 (6.1) 44 (3.2)9 (4.4)14 (7.1) 
     
    Crude OR
    Adjusted OR*
     
    Job insecurity
    Job insecurity
     
    Low
    Moderate
    High
    Low
    Moderate
    High
     OR (95% CI)OR (95% CI)OR (95% CI)OR (95% CI)OR (95% CI)OR (95% CI)
    All health problems
    reference
    1.18 (0.86-1.62)
    0.83 (0.59-1.16)
    reference
    1.16 (0.83-1.61)
    0.76 (0.53-1.09)
    Physical health problems
    reference
    1.18 (0.86-1.62)
    0.86 (0.61-1.22)
    reference
    1.14 (0.82-1.60)
    0.78 (0.54-1.12)
     Backache
    reference
    1.33 (0.95-1.88)
    0.84 (0.66-1.40)
    reference
    1.23 (0.86-1.78)
    0.85 (0.57-1.27)
     Headache
    reference
    1.31 (0.86-1.99)
    0.98 (0.61-1.55)
    reference
    1.22 (0.79-1.89)
    0.83 (0.51-1.35)
     Abdominal pain
    reference
    1.08 (0.61-1.90)
    1.13 (0.64-1.99)
    reference
    0.97 (0.53-1.77)
    0.96 (0.53-1.76)
     Muscular pain
    reference
    1.26 (0.90-1.76)
    1.04 (0.73-1.49)
    reference
    1.21 (0.85-1.73)
    0.94 (0.64-1.36)
     Fatigue
    reference
    1.20 (0.85-1.70)
    1.04 (0.72-1.49)
    reference
    1.23 (0.86-1.78)
    0.96 (0.66-1.42)
    Psychological health problems
    reference
    1.19 (0.84-1.68)
    0.96 (0.66-1.39)
    reference
    1.13 (0.78-1.63)
    0.88 (0.59-1.30)
     Stress
    reference
    1.25 (0.88-1.78)
    0.95 (0.65-1.39)
    reference
    1.19 (0.83-1.73)
    0.86 (0.58-2.10)
     Sleeping problems
    reference
    1.12 (0.59-2.09)
    1.81 (1.05-3.09)
    reference
    1.06 (0.56-2.04)
    1.75 (0.99-3.10)
     Anxiety
    reference
    1.04 (0.53-2.07)
    1.80 (1.02-3.18)
    reference
    0.91 (0.45-1.84)
    1.72 (0.94-3.14)
     Depressionreference1.38 (0.66-2.87)2.30 (1.24-4.28)reference1.28 (0.59-2.78)2.41 (1.24-4.68)
     
    Crude OR
    Adjusted OR*
     
    Job insecurity
    Job insecurity
     
    Low
    Moderate
    High
    Low
    Moderate
    High
     OR (95% CI)OR (95% CI)OR (95% CI)OR (95% CI)OR (95% CI)OR (95% CI)
    All health problems
    reference
    1.62 (1.21-2.15)
    1.84 (1.34-2.54)
    reference
    1.57 (1.16-2.12)
    1.81 (1.29-2.55)
    Physical health problems
    reference
    1.70 (1.28-2.27)
    1.83 (1.32-2.54)
    reference
    1.65 (1.22-2.23)
    1.80 (1.28-2.55)
     Backache
    reference
    2.21 (1.61-3.02)
    1.93 (1.33-2.81)
    reference
    2.08 (1.49-2.90)
    1.78 (1.20-2.64)
     Headache
    reference
    2.23 (1.59-3.14)
    1.92 (1.28-2.89)
    reference
    2.19 (1.53-3.13)
    1.91 (1.25-2.93)
     Abdominal pain
    reference
    2.65 (1.78-3.95)
    3.32 (2.18-5.06)
    reference
    2.52 (1.66-3.81)
    3.27 (2.09-5.12)
     Muscular pain
    reference
    1.98 (1.45-2.69)
    1.83 (1.27-2.62)
    reference
    1.86 (1.35-2.58)
    1.68 (1.14-2.46)
     Fatigue
    reference
    2.17 (1.61-2.94)
    1.78 (1.23-2.56)
    reference
    2.12 (1.54-2.92)
    1.75 (1.19-2.57)
    Psychological health problems
    reference
    1.88 (1.40-2.23)
    1.65 (1.17-2.34)
    reference
    1.90 (1.39-2.58)
    1.69 (1.17-2.44)
     Stress
    reference
    1.94 (1.45-2.61)
    1.61 (1.13-2.29)
    reference
    1.97 (1.44-2.68)
    1.65 (1.14-2.40)
     Sleeping problems
    reference
    2.88 (1.89-4.37)
    2.29 (1.36-3.84)
    reference
    3.04 (1.95-4.74)
    2.31 (1.33-4.02)
     Anxiety
    reference
    3.13 (1.99-4.91)
    2.58 (1.49-4.47)
    reference
    2.91 (1.82-4.65)
    2.33 (1.31-4.13)
     Depressionreference3.89 (2.45-6.20)2.41 (1.28-4.54)reference3.82 (2.34-6.23)2.26 (1.16-4.39)
    Table 1 Characteristics of the participants

    *Calculated by chi-squared test.

    Table 2 Results of work related health problems by contract type and level of job insecurity

    *Calculated by chi-squared test.

    Table 3 Odds ratios (OR) and 95% confidence intervals for the association between job insecurity and work-related health problems in temporary workers

    *Adjusted for gender, age, education, income, occupation, smoking, drinking, physical & chemical hazards, ergonomic risk factor, working hours, and work schedule.

    Table 4 Odds ratios (OR) and 95% confidence intervals for the association between job insecurity and work-related health problems in permanent workers

    *Adjusted for gender, age, education, income, occupation, smoking, drinking, physical & chemical hazards, ergonomic risk factor, working hours, and work schedule.


    Ann Occup Environ Med : Annals of Occupational and Environmental Medicine
    Close layer
    TOP