Skip Navigation
Skip to contents

Ann Occup Environ Med : Annals of Occupational and Environmental Medicine

OPEN ACCESS
SEARCH
Search

Articles

Page Path
HOME > Ann Occup Environ Med > Volume 29; 2017 > Article
Research Article Participation inequality in the National General Health Examination based on enterprise size
Young Joong Kang1, Jong Heun Park2, Huisu Eom1, Bohwa Choi1, Seyoung Lee3, Ji-Won Lee3, Jun-Pyo Myong3orcid
Annals of Occupational and Environmental Medicine 2017;29:3.
DOI: https://doi.org/10.1186/s40557-017-0159-y
Published online: February 22, 2017

1Occupational Safety and Health Research Institute, Korea Occupational Safety and Health Agency, 400, Jongga-ro, Jung-gu Ulsan, Republic of Korea

2Big Data Steering Department, National Health Insurance Service, 32, Sambo-ro, Wonju-si, Gangwon-do Republic of Korea

3Department of Occupational and Environmental Medicine, Seoul St. Mary’s Hospital, College of Medicine, Catholic University of Korea, 222 Banpo-Daero Seocho-gu, Seoul, 06591 Republic of Korea

• Received: December 10, 2016   • Accepted: February 8, 2017

© The Author(s). 2017

Open AccessThis article is distributed under the terms of the Creative Commons Attribution 4.0 International License (http://creativecommons.org/licenses/by/4.0/), which permits unrestricted use, distribution, and reproduction in any medium, provided you give appropriate credit to the original author(s) and the source, provide a link to the Creative Commons license, and indicate if changes were made. The Creative Commons Public Domain Dedication waiver (http://creativecommons.org/publicdomain/zero/1.0/) applies to the data made available in this article, unless otherwise stated.

  • 1,894 Views
  • 2 Download
  • 6 Web of Science
  • 6 Crossref
  • 5 Scopus
prev next
  • Background
    Health examinations are performed so that diseases can be identified and treated earlier. Several studies have evaluated the determinants of participation in health examinations including cancer screening, but few have evaluated the relationship between the size of the enterprise and their participation in Workers’ General Health Examinations (WGHE). The aim of the present study was to estimate the association of WGHE participation with the size of the enterprise and the type of policyholder.
  • Methods
    The eligible population from 2006 through 2013 was extracted from the National Health Insurance Service (NHIS) database. The population size ranged from 14–17 million. After adjustment for age and gender, multiple logistic regression analysis was performed to estimate the odds ratios of participating in the WGHE (by age group) based on the type of policyholder (reference: public officers) and the size of the enterprise (reference: enterprise size ≥300 employees), respectively.
  • Results
    Workers employed at enterprises with <50 persons were less likely to participate in WGHEs than those employed at enterprises with ≥300 persons. After policyholders were stratified by type (non-office workers vs. public officers), a disparity in the WGHE participation rate was found between the different types of policyholders at enterprises with <50 employees (reference: those employed at enterprises with ≥300 employees); the odds ratios for subjects in their 40s and 50s were 0.2–0.3 for non-office workers vs. 0.8–2.0 for public officers.
  • Conclusion
    Workplace policyholders at small enterprises comprised a vulnerable group less likely to participate in WGHEs. Efforts should be made to raise the WGHE participation rate among the vulnerable employees belonging to small enterprises, as well as among their dependents.
Health examinations are performed so that diseases can be identified and treated earlier. Health examinations are classified as either organized or opportunistic. Health examinations for workers have been recognized under the Labor Standards Act in Korea since 1953. After 1972, health examinations for workers were separated into Workers’ Specific Health Examination (WSHE) and Workers’ General Health Examinations (WGHE). The National Health Insurance Service (NHIS), which began managing health insurance and health examinations in 1995, provides the National General Health Examination (NGHE) for workers, also known as WGHE. WGHEs are now provided every year or every other year, depending on the type of policyholder [1, 2].
Several studies have evaluated the associations of those determinants with participation in health examinations [37]. The determinants of participation in health examinations vary, and can be classified into predisposing factors, such as age, gender, predisposing diseases, concerns, etc., and possible factors such as income, education, self-reported socioeconomic status, occupation, etc. Regarding working conditions, previous studies have classified the type of work using binary (employed or unemployed) [4] or tertiary divisions (manual, non-manual, and unemployed) [3, 5].
From the perspective of occupational health, the size of enterprise affects the vulnerability of the individual in the work environment. Because the size of an enterprise may influence the health outcomes of the employees by affecting the quality of the working environment, the time available for health examinations, or their job stability [8]. However, few studies have evaluated the relationship between enterprise size and WGHE participation.
The aim of the present study was to estimate the associations of policyholder type and enterprise size with WGHE participation using the NHIS database. In addition, we evaluated the odds of participating in a WGHE based on the size of the enterprise after stratifying subjects in their 40s and 50s by policyholder type.
Data source and study population
The present study dataset was derived from the NHIS. The NHIS dataset consists of four databases (DBs): qualification, medical treatment, WGHE, and medical institution. The dataset for this study was derived from the qualification and health examination DBs. The information about age, gender, type of policyholder, and enterprise size was extracted from the qualification DB, and information about participation was taken from the WGHE DB. According to the Occupational Safety and Health Acts, the WGHE for an Workplace Policyholder (WP) should be done for office workers and public officers every second year, and for non-office workers annually. According to the Law for Health Promotion, dependents or household members (40 years and above) of an WP or a Regional Policyholder (RP) should receive an examination every other year. Medical Aid Beneficiaries must undergo biannual health examinations [1, 2]. The eligible population from 2006 through 2013 was extracted based on the criteria described above. The population ranged 14–17 million (Table 1).
Table 1
General characteristics of eligible population by year
2006 2007 2008 2009 2010 2011 2012 2013
N % N % N % N % N % N % N % N %
 Age 47.2 14.2 47.8 14.4 47.5 14.3 48.3 14.4 48.6 14.3 48.6 14.4 49.1 14.4 49.7 14.4
Gender
 Male 8,345,124 55.4 7,856,987 54.7 8,992,965 54.5 8,762,242 53.8 9,201,725 54.0 8,814,474 54.0 8,985,416 53.7 9,049,455 53.5
 Female 6,708,637 44.6 6,501,722 45.3 7,500,836 45.5 7,514,997 46.2 7,838,049 46.0 7,518,990 46.0 7,745,624 46.3 7,862,009 46.5
Type
 RPs & dependents 7,991,124 53.1 7,907,606 55.1 8,182,204 49.6 8,411,953 51.7 8,643,198 50.7 8,046,862 49.3 8,074,084 48.3 8,178,034 48.4
 Office worker 1,515,523 10.1 1,072,442 7.5 2,782,176 16.9 2,732,174 16.8 2,816,343 16.5 3,061,514 18.7 2,975,592 17.8 3,042,002 18.0
 Non-office worker 4,623,043 30.7 5,100,114 35.5 4,629,334 28.1 4,892,934 30.1 4,890,706 28.7 4,928,176 30.2 5,043,341 30.1 5,366,346 31.7
 Public officers 924,071 6.1 278,547 1.9 900,087 5.5 240,178 1.5 689,527 4.1 296,912 1.8 638,023 3.8 325,082 1.9
Participation
 No 6,645,543 44.2 5,939,177 41.4 6,229,381 37.8 5,739,373 35.3 5,548,044 32.6 4,593,690 28.1 4,647,764 27.8 4,802,579 28.4
 Yes 8,408,218 55.9 8,419,532 58.6 10,264,420 62.2 10,537,866 64.7 11,491,730 67.4 11,739,774 71.9 12,083,276 72.2 12,108,885 71.6
Total 15,053,761 14,358,709 16,493,801 16,277,239 17,039,774 16,333,464 16,731,040 16,911,464
For Age, means and standard deviation
RP Regional policyholder
Definition of policyholder and enterprise size
WPs were classified into office workers, non-office workers, and public officers. The detailed definitions are reported elsewhere [2]. The households or family members (who did not have incomes and were over 40 years old) belonging to the previously defined WPs and RPs were defined as dependents. Medical Aid was excluded from the present study [1]. The sizes of enterprises were classified as ≥300, 50–299, and <50 based on the number of regular employees.
Statistical analysis
All statistical analyses were performed with SAS Enterprise 4.3 (SAS Institute, Cary, NC). After adjustment for age and gender, multiple logistic regression analysis was performed to estimate the odds ratios for participating in the WGHE (by age group) based on the type of policyholder (reference: public officer) or enterprise size (reference: enterprise size ≥300). Those two reference groups were relatively stable and guaranteed the participation of WGHE, therefore, the authors set those two groups were reference groups. Because people in their 40s and 50s are vulnerable to the lifestyle-related diseases targeted by the WGHE, we further analyzed selected results from the multiple logistic regression analysis among people in their 40s and 50s (by calendar years 2006–2013). An additional analysis of enterprise size based on the type of policyholder among WPs was also done.
The overall participation rate in the NGHE was 55.9% in 2006 and 71.6% in 2013 (Table 1). Over 50% of the eligible participants in the WGHE were WPs and public officers in 2013. The annual eligible population for the WGHE ranged from 14,358,709 in 2007 to 17,039,774 in 2010.
The NGHE participation rates by type of policyholder for the NHIS are shown in Table 2. The participation rate increased from 36% in 2006 to 59.6% in 2013 among RPs and dependents. For non-office workers, the participation rate ranged from 79.6% to 90.6%. Over 80% of public officers participated in the WGHE during the study years, except for 2007.
Table 2
Participation rate for National General Health Examination or Workers’ General Health Examination by type of policyholder
Calendar year Participation RP & dependents Office worker Non-office worker Public officers
N % N % N % N %
2006 No 5,110,899 64.0 437,274 28.9 945,129 20.4 152,241 16.5
Yes 2,880,225 36.0 1,078,249 71.1 3,677,914 79.6 771,830 83.5
Total 7,991,124 1,515,523 4,623,043 924,071
2007 No 4,717,810 59.7 232,925 21.7 923,421 18.1 65,021 23.3
Yes 3,189,796 40.3 839,517 78.3 4,176,693 81.9 213,526 76.7
Total 7,907,606 1,072,442 5,100,114 278,547
2008 No 4,651,095 56.8 738,024 26.5 720,013 15.6 120,249 13.4
Yes 3,531,109 43.2 2,044,152 73.5 3,909,321 84.4 779,838 86.6
Total 8,182,204 2,782,176 4,629,334 900,087
2009 No 4,360,434 51.8 682,419 25.0 652,252 13.3 44,268 18.4
Yes 4,051,519 48.2 2,049,755 75.0 4,240,682 86.7 195,910 81.6
Total 8,411,953 2,732,174 4,892,934 240,178
2010 No 4,172,755 48.3 728,312 25.9 563,799 11.5 83,178 12.1
Yes 4,470,443 51.7 2,088,031 74.1 4,326,907 88.5 606,349 87.9
Total 8,643,198 2,816,343 4,890,706 689,527
2011 No 3,303,175 41.0 758,846 24.8 485,263 9.8 46,406 15.6
Yes 4,743,687 59.0 2,302,668 75.2 4,442,913 90.2 250,506 84.4
Total 8,046,862 3,061,514 4,928,176 296,912
2012 No 3,138,510 38.9 855,579 28.8 584,841 11.6 68,834 10.8
Yes 4,935,574 61.1 2,120,013 71.2 4,458,500 88.4 569,189 89.2
Total 8,074,084 2,975,592 5,043,341 638,023
2013 No 3,302,678 40.4 950,361 31.2 505,778 9.4 43,762 13.5
Yes 4,875,356 59.6 2,091,641 68.8 4,860,568 90.6 281,320 86.5
Total 8,178,034 3,042,002 5,366,346 325,082
For the focus group of the WGHE (people in their 40s and 50s), the odds ratios for participating in the examination based on the type of policyholder (reference: public officers) are shown in Fig. 1. Regional policyholders and dependents and office workers in both age groups (40s and 50s) were less likely than public officers to participate in WGHEs. However, non-office workers were likely to participate.
Fig. 1
The odds ratio of type of policyholders (reference: public officer) for participating the national health examination
40557_2017_159_Fig1_HTML.jpg
Table 3 displays the distribution of enterprise sizes among WPs. The proportion of non-office workers were higher in those enterprise size ≥ 300 employees than in those enterprise size < 50 employees throughout the study period.
Table 3
Distribution of enterprise size by type of policyholders
Calendar year Type of policyholders Enterprise size (numbers of employees)
≥300 50 ~ 299 <50
N % N % N %
2006
Office worker 492,568 18.7 333,665 18.3 689,288 26.4
Non-office worker 1,614,653 61.4 1,182,628 64.9 1,825,714 69.9
Public officers 521,331 19.8 307,195 16.8 95,545 3.7
2007
Office worker 323,546 14.3 219,518 14.0 529,353 20.2
Non-office worker 1,766,269 78.0 1,260,830 80.5 2,072,641 79.1
Public officers 175,712 7.8 84,940 5.4 17,891 0.7
2008
Office worker 600,424 21.5 554,446 27.3 1,627,274 46.6
Non-office worker 1,688,128 60.6 1,178,849 58.1 1,762,302 50.4
Public officers 498,855 17.9 295,195 14.6 106,030 3.0
2009
Office worker 540,225 21.5 469,143 25.8 1,722,795 48.6
Non-office worker 1,835,440 73.2 1,258,913 69.3 1,798,574 50.8
Public officers 131,215 5.2 88,935 4.9 20,028 0.6
2010
Office worker 717,635 24.7 478,472 23.5 1,620,066 46.9
Non-office worker 1,889,278 65.1 1,275,242 62.6 1,725,948 49.9
Public officers 294,943 10.2 284,148 13.9 110,436 3.2
2011
Office worker 636,648 23.2 482,367 25.5 1,942,349 53.2
Non-office worker 1,943,642 70.9 1,300,853 68.8 1,683,254 46.1
Public officers 162,790 5.9 106,966 5.7 27,154 0.7
2012
Office worker 767,567 24.8 524,600 24.8 1,683,406 48.8
Non-office worker 2,041,165 66.0 1,341,340 63.4 1,660,739 48.2
Public officers 283,646 9.2 251,347 11.9 103,030 3.0
2013
Office worker 621,256 20.9 456,864 22.6 1,963,746 52.5
Non-office worker 2,168,763 73.0 1,454,696 71.9 1,742,681 46.6
Public officers 180,793 6.1 112,257 5.5 31,969 0.9
The odds ratios of participating in the WGHE based on enterprise size (reference: enterprise size ≥300 employees) among subjects in their 40s and 50s during the eight study years are shown in Fig. 2. Workers at enterprises of <50 persons were less likely to participate in WGHEs than those employed at enterprises of ≥300 persons (odds ratios ranged from 0.47 [95% confidence interval (CI): 0.44–0.45] in 2006 to 0.62 [95% CI: 0.61–0.62] in 2011) among subjects in their 40s). The odds ratios for WGHE participation based on enterprise size (enterprise size <50 employees vs. ≥ 300 employees [reference]) ranged from 0.65 to 0.73 among subjects in their 50s. However, those employed at enterprises with 50–299 employees were more likely to participate in WGHEs than those employed at enterprises with ≥300 employees (p < 0.05).
Fig. 2
The odds ratio of company size (reference: ≥ 300) for participating the national health examination by 40s and 50s
40557_2017_159_Fig2_HTML.jpg
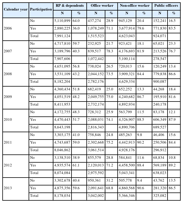
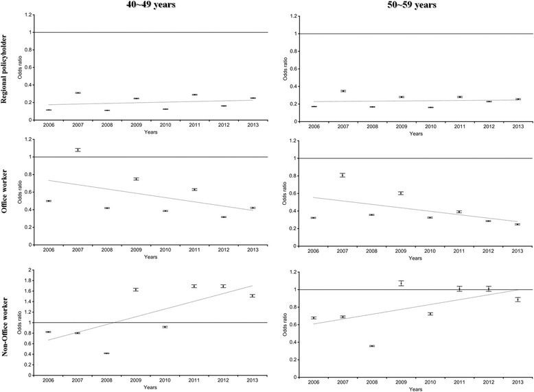
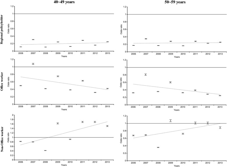
Stratified multiple logistic regression analysis was performed to estimate the inequality in WGHE participation based on enterprise size after stratification by type of policyholder (Figs. 3 and 4). After policyholders were stratified (non-office workers vs. public officers), a disparity in the WGHE participation rate was found between different types of policyholders employed at enterprises of <50 employees (reference: those employed at enterprises of ≥300 employees); the odds ratios for subjects in their 40s and 50s ranged from 0.2 to 0.3 among non-office workers vs. 0.8 to 2.0 among public officers. Likewise, for enterprises of 50–299, after stratification by type of policyholder, the odds ratio (reference: those employed at enterprises of ≥300 person) for participating in the WGHE among non-office workers was less than 1. Overall, the direction of the association by enterprise size differed between public officers and non-office workers.
Fig. 3
The odds ratio of company size (reference: ≥ 300) for participating the national health examination among 40s (stratified by public officer and non-office worker)
40557_2017_159_Fig3_HTML.jpg
Fig. 4
The odds ratio of company size (reference: ≥ 300) for participating the national health examination among 50s (stratified by public officer and non-office worker)
40557_2017_159_Fig4_HTML.jpg
In the present study, the participation rates in WGHEs by the NHIS were higher among WPs and public officers than among RPs and dependents. Enterprise size had different effects on WGHE participation for WPs and public officers. Employee insured workers at small enterprises comprised a vulnerable group less likely to participate in WGHEs.
There are several possible reasons for the difference in the NGHE participation rate between workers (including WPs and public officers) and RPs and their dependents. Since the beginning of the WGHE, the participation rate has been higher among WPs than among RPs and their dependents [9]. First, this is because the government imposes a fine on employees for not participating in the WGHE [1, 2], while there is no enforcement for RPs and dependents. Second, the accessibility of WGHE sites is another reason for the different participation rates; while some workers are able to participate in WGHEs at their workplaces, most of RPs and their dependents should participate in NGHEs at specific healthcare institutions. Third, the ages of policyholders and their dependents might affect the participation rate. With literatures concerning on the participation rate among RPs and dependents [10, 11], an age may be determinants of NGHE participation [12]. Although workers of all age ranges should participate in the WGHE, dependents 40 years of age or older were defined as targets of the WGHE. Fourth, according to the Occupational Safety and Health Acts, all workers should participate in WGHEs, and employers should give their employees paid vacation or early leave to encourage their participation. A self-employed person without any employees is classified as a RP. Such a person will lose income by participating in a NGHE. This is also a barrier to participating in NGHEs among RPs. Fifth, participation in an opportunistic health examination is another possible reason for lower participation in WGHEs among RPs and dependents. A previous study with 10,254 participants from the Korean Longitudinal Study of Ageing revealed the difference in participation in opportunistic health examinations between employed and unemployed individuals (odds ratio for the employed: 0.86 [95% CI: 0.75–1.00; ref: unemployed]) [4]. This reflects the fact that RPs and dependents have already used the opportunistic health examination. Therefore, the participation in an organized health examination like the NGHE might be lower among RPs. Those might result in the difference in the NGHE/WGHE participation rates among policyholders in the present study. To understand why those differences in the NGHE/WGHE participation rate, a more detail consideration on barriers for the NGHE/WGHE participation should be considered.
Enterprise size significantly impacts many aspects of workers’ lives, including their health [8, 13, 14]. The participation inequality for WGHEs is shown in Fig. 2 (enterprise size <50 employees vs. ≥300 employees). Historically, most small enterprises have been private companies, which might be fundamentally vulnerable [15]. The institutions administering the WGHE are unwilling to visit small enterprises due to the small number of employees who are eligible participants. Knowledge about and interest in health at small enterprises is poor [16]. Therefore, little effort has been made to improve poor workplace environments. In addition, due to the lower salary offerings, small enterprises are composed of vulnerable workers with regard to education, knowledge, physical status (unhealthy conditions), etc. At large enterprises, there is a greater guarantee of a stable labor environment (e.g., one with a labor union and welfare system) than at small enterprises [8]. With this knowledge, employees at small enterprises have been hesitant to participate in WGHEs.
As shown in Figs. 3 and 4, the WGHE participation inequalities became more prominent after the analysis was stratified by type of policyholder. Among employee insured non-office workers, those in large enterprises were previously shown to participate in the pre-employment health examination (now known as the pre-replacement health examination) than those in small enterprises (large enterprises: 89.4% vs. small enterprises: 30.4%) [17]. In addition, unhealthy workers might be forced to move to smaller enterprises, and under poor working conditions, they might lose the chance to participate in an organized health examination, even though it would be free [8, 18]. This phenomenon was also apparent in enterprises of 50–299 employees. On the other hand, WGHE participation inequalities were less likely among public officers at enterprises of <50 or 50–299 employees. The welfare system, including the health examinations of the national or local government, might support the participation of public officers in health examinations. Unstable employment conditions in Korea are less likely for public officers than for other employee insured policyholders.
Another reason for WGHE participation inequalities is the employee turnover rate at small enterprises in Korea. An issue paper evaluating the labor environment by enterprise size and type of employment revealed that the proportion of non-regular employees decreased as the enterprise size increased (the proportion of non-regular employees was 78.4% among enterprises of <50 employees vs. 14.3% among enterprises of ≥300 employees) in 2013 [19]. In addition, the authors demonstrated that the proportion of short-term employees (work duration ≤1 year) was higher among non-regular employees than among regular employees. The resignation rate was 0.48 for non-regular workers vs. 0.21 for regular workers in 2012 [15]. Thus, employee turnover within one year was likely at small enterprises [15]. At small enterprises, even non-office workers (who must undergo an annual WGHE) were likely to turn over in a year and lose the opportunity to participate in an annual WGHE. Therefore, efforts should be made to encourage employees at small enterprises to participate in WGHEs.
The present study had several limitations. First, policyholders were stratified into RPs and dependents, office workers, non-office workers, and public officers, but the eligible population among each category of policyholders was different in age. The enrollment criterion for dependents was being over 40 years old. Therefore, for those policyholders, the groups might have been heterogeneous. Secondly, other factors influence WGHE participation, such as the person’s socioeconomic status, position in the workplace, working duration, daily working hours, participation in shift work, marital status, but these risk factors were not included in the multiple logistic regression model. Although we searched for this information in the NHIS DB, it was not possible to access information about the work environment such as the working conditions. Nevertheless, the type of policyholder and the size of the enterprise might reflect the socioeconomic status. Third, the opportunistic health examination was not considered. Although the entire national database was assessed, it was not possible to estimate the participation in the opportunistic health examination. The opportunistic health examination should be further evaluated in future studies.
In spite of these limitations, this study also had several strengths. First, the national database powered by the NHIS was used to estimate the results. The NHIS covered about 90% of the Korean population in 2011 [20]. Therefore, our study subjects were likely to represent the population. Second, the association between enterprise size and WGHE participation was estimated after the data were stratified by the type of policyholder. As shown in Figs. 2 and 3, a negative association between the size of the enterprise and the type of policyholder was found in enterprises with 50–299 employees.
The present study demonstrated that the NGHE/WGHE participation rates differed among different types of policyholders in the NHIS. Employee insured non-office workers at small enterprises comprised a vulnerable group less likely to participate in WGHEs. Although the General Health Examination (GHE) participation rate was higher among WPs than among RPs, WPs were also vulnerable to WGHE participation inequalities at small enterprises. The GHE is a fundamental right of NHIS policyholders. Efforts should be made to raise the WGHE participation rate in the vulnerable group of employees belonging to small enterprises, as well as among regional policyholders and dependents.
The research was supported by the Occupational Safety and Health Research Institute, Korea Occupational Safety and Health Agency. In addition, the technical supports for statistical analysis was supported by Korean Society of Occupational and Environmental Medicine (KSOEM).
Funding
Not applicable.
Availability of data and materials
Please Contact author for data requests.
Authors’ contributions
KYJ and JPM designed the research. KYJ, PJH and JPM performed statistical analysis. KYJ and JPM, EHS, CBW, LSY and LJW interpreted the data and drafted the manuscript. MJP devised and supervised the entire process. EHS, CBW, LSY and LJW critically revised the manuscript. All authors read and approved the final manuscript.
Competing interests
The authors declare that they have no competing interests.
Ethics approval and consent to participate
The study design, sampling methods, and statistics were approved by the Institutional Review Board of the OSHRI (approval ID: OSHRI-2016–06).

CI

Confidence interval

DBs

Databases

GHE

General Health Examination

NHIS

National Health Insurance Service

RP

Regional policyholder

WGHE

Workers’ General Health Examinations

WP

Workplace policyholder

WSHE

Workers’ Specific Health Examination
  • 1. http://www.nhis.or.kr/static/html/wbd/g/a/wbdga0101.html.
  • 2.
  • 3. Chun EJ, Jang SN, Cho SI, Cho Y, Moon OR. Disparities in participation in health examination by socio-economic position among adult Seoul residents. J Prev Med Public Health 2007;40:345–50. 10.3961/jpmph.2007.40.5.345. 17917482.ArticlePubMed
  • 4. Kang S, You CH, Kwon YD. The determinants of the use of opportunistic screening programs in Korea. J Prev Med Public Health 2009;42:177–82. 10.3961/jpmph.2009.42.3.177. 19491561.ArticlePubMed
  • 5. Kim RB, Park KS, Hong DY, Lee CH, Kim JR. Factors associated with cancer screening intention in eligible persons for national cancer screening program. J Prev Med Public Health 2010;43:62–72. 10.3961/jpmph.2010.43.1.62. 20185984.ArticlePubMed
  • 6. Choi R, Hwang BD. Use characteristics of health examinations services from health insurance policyholders. Korea J Contents 2011;11:331–40. 10.5392/JKCA.2011.11.2.331.
  • 7. Park SH, Kim CH, Kim EK. Factors associated with cancer screening rates of manufacturing workers. Korean J Occup Health Nurs 2013;22:179–90. 10.5807/kjohn.2013.22.3.179.Article
  • 8. Won JU, Song JS, Ahn YS, Roh JH, Park CY. Analysis of factors associated with the workers’ health status using periodic health examination data by size of enterprises. Yonsei Med J 2002;43:14–9. 10.3349/ymj.2002.43.1.14. 11854926.ArticlePubMed
  • 9. Kim MH, Park YK, Park YA, Cho HJ. How has health examination become an “industry”?. 2015, Seoul: People’s Health Institute.
  • 10. Cho BL. An evaluation of the validity of the current national general health screening program and ways of system improvement. 2013, Seoul: Korean Center for Disease Control and Prevention.
  • 11.
  • 12. Lee WC. Periodic health examination, cancer screening related health behaviour. 2003, Seoul: National Health Insurance Service.
  • 13. Kim JY, Peak DM, Kim EH, Ha EH, Kim SM, Park JS, et al. The occupational health status of the small scale industries participated in the 1997 subsidiary program on health care management. Korean J Occup Environ Med 1999;11:33–51.ArticlePDF
  • 14.
  • 15. Ministry of Employment and Labor. 2015 year book. 2015, Seoul: Ministry of Employment and Labor.
  • 16. Park CY, Lee KS, Lee WC, Lee SH. The factors associated with knowledge, attitude and practice regarding occupational health among small and medium scale industry workers. Korean J Occup Environ Med 1994;6:42–55.ArticlePDF
  • 17. Han SH, Chung SC, Lee MH, Song DB. Discriminating function of preemployment medical examination and necessity of changing over to preplacement medical examination in Korea. Korean J Occup Environ Med 1997;1997:170–7.ArticlePDF
  • 18. Choi HR, Koh SB, Chang SJ, Cha BS, Im HJ, Lee SY, et al. The helaht status assessment of subcontracted workers. Korean J Occup Environ Med 2001;13:18–30.ArticlePDF
  • 19. http://klsi.org/sites/default/files/field/%5B2014-15%5D%EC%82%AC%EC%97%85%EC%B2%B4%EA%B7%9C%EB%AA%A8%EC%99%80%EA%B3%A0%EC%9A%A9%ED%98%95%ED%83%9C%EB%B3%84%EB%85%B8%EB%8F%99%EC%A1%B0%EA%B1%B4%EC%8B%A4%ED%83%9C(%EA%B9%80%EC%9C%A0%EC%84%A0).pdf.
  • 20. Kim L, Kim JA, Kim S. A guide for the utilization of health insurance review and assessment service national patient samples. Epidemiol Health 2014;36:e2014008. 10.4178/epih/e2014008. 25078381.ArticlePubMedPMC

Figure & Data

REFERENCES

    Citations

    Citations to this article as recorded by  
    • Risk of Cardiovascular Disease According to Standard Industrial Sectors: A Nationwide Longitudinal Study
      Hee Joo Park, Youngsun Park, Juyeon Oh, Jian Lee, Juho Sim, Byungyoon Yun, Jin-Ha Yoon
      Journal of Korean Medical Science.2026;[Epub]     CrossRef
    • Income-based inequality in nationwide general health checkup participation in Japan
      A. Shimoda, Y. Saito, C. Ooe, N. Kondo
      Public Health.2021; 195: 112.     CrossRef
    • Employment conditions and use of gastric cancer screening services in Korea: a nationwide survey
      Hye-Young Shim, Jae Kwan Jun, Ji-Yeon Shin
      BMC Public Health.2019;[Epub]     CrossRef
    • Factors Associated with General Health Screening Participation among Married Immigrant Women in Korea
      Jinhee Jeong, Yunhee Lee, Sung Hee Kwon, Jun-Pyo Myong
      International Journal of Environmental Research and Public Health.2019; 16(20): 3971.     CrossRef
    • Healthcare consumers’ sensitivity to costs: a reflection on behavioural economics from an emerging market
      Quan-Hoang Vuong, Tung-Manh Ho, Hong-Kong Nguyen, Thu-Trang Vuong
      Palgrave Communications.2018;[Epub]     CrossRef
    • The roles of doctors, nurses, and industrial hygienists in the healthcare management services in Korea: a comparison of the opinions of specialized health management institutions and entrusted enterprises
      Bo-Young Jang, Dong-Mug Kang, Young-Ki Kim, Se-Young Kim, Kyung-Sun Ko
      Annals of Occupational and Environmental Medicine.2018;[Epub]     CrossRef

    • Cite
      CITE
      export Copy Download
      Close
      Download Citation
      Download a citation file in RIS format that can be imported by all major citation management software, including EndNote, ProCite, RefWorks, and Reference Manager.

      Format:
      • RIS — For EndNote, ProCite, RefWorks, and most other reference management software
      • BibTeX — For JabRef, BibDesk, and other BibTeX-specific software
      Include:
      • Citation for the content below
      Participation inequality in the National General Health Examination based on enterprise size
      Ann Occup Environ Med. 2017;29:3  Published online February 22, 2017
      Close
    • XML DownloadXML Download
    Figure
    • 0
    • 1
    • 2
    • 3
    Participation inequality in the National General Health Examination based on enterprise size
    Image Image Image Image
    Fig. 1 The odds ratio of type of policyholders (reference: public officer) for participating the national health examination
    Fig. 2 The odds ratio of company size (reference: ≥ 300) for participating the national health examination by 40s and 50s
    Fig. 3 The odds ratio of company size (reference: ≥ 300) for participating the national health examination among 40s (stratified by public officer and non-office worker)
    Fig. 4 The odds ratio of company size (reference: ≥ 300) for participating the national health examination among 50s (stratified by public officer and non-office worker)
    Participation inequality in the National General Health Examination based on enterprise size
    20062007200820092010201120122013
    N%N%N%N%N%N%N%N%
     Age47.214.247.814.447.514.348.314.448.614.348.614.449.114.449.714.4
    Gender
     Male8,345,12455.47,856,98754.78,992,96554.58,762,24253.89,201,72554.08,814,47454.08,985,41653.79,049,45553.5
     Female6,708,63744.66,501,72245.37,500,83645.57,514,99746.27,838,04946.07,518,99046.07,745,62446.37,862,00946.5
    Type
     RPs & dependents7,991,12453.17,907,60655.18,182,20449.68,411,95351.78,643,19850.78,046,86249.38,074,08448.38,178,03448.4
     Office worker1,515,52310.11,072,4427.52,782,17616.92,732,17416.82,816,34316.53,061,51418.72,975,59217.83,042,00218.0
     Non-office worker4,623,04330.75,100,11435.54,629,33428.14,892,93430.14,890,70628.74,928,17630.25,043,34130.15,366,34631.7
     Public officers924,0716.1278,5471.9900,0875.5240,1781.5689,5274.1296,9121.8638,0233.8325,0821.9
    Participation
     No6,645,54344.25,939,17741.46,229,38137.85,739,37335.35,548,04432.64,593,69028.14,647,76427.84,802,57928.4
     Yes8,408,21855.98,419,53258.610,264,42062.210,537,86664.711,491,73067.411,739,77471.912,083,27672.212,108,88571.6
    Total15,053,76114,358,70916,493,80116,277,23917,039,77416,333,46416,731,04016,911,464
    Calendar yearParticipationRP & dependentsOffice workerNon-office workerPublic officers
    N%N%N%N%
    2006No5,110,89964.0437,27428.9945,12920.4152,24116.5
    Yes2,880,22536.01,078,24971.13,677,91479.6771,83083.5
    Total7,991,1241,515,5234,623,043924,071
    2007No4,717,81059.7232,92521.7923,42118.165,02123.3
    Yes3,189,79640.3839,51778.34,176,69381.9213,52676.7
    Total7,907,6061,072,4425,100,114278,547
    2008No4,651,09556.8738,02426.5720,01315.6120,24913.4
    Yes3,531,10943.22,044,15273.53,909,32184.4779,83886.6
    Total8,182,2042,782,1764,629,334900,087
    2009No4,360,43451.8682,41925.0652,25213.344,26818.4
    Yes4,051,51948.22,049,75575.04,240,68286.7195,91081.6
    Total8,411,9532,732,1744,892,934240,178
    2010No4,172,75548.3728,31225.9563,79911.583,17812.1
    Yes4,470,44351.72,088,03174.14,326,90788.5606,34987.9
    Total8,643,1982,816,3434,890,706689,527
    2011No3,303,17541.0758,84624.8485,2639.846,40615.6
    Yes4,743,68759.02,302,66875.24,442,91390.2250,50684.4
    Total8,046,8623,061,5144,928,176296,912
    2012No3,138,51038.9855,57928.8584,84111.668,83410.8
    Yes4,935,57461.12,120,01371.24,458,50088.4569,18989.2
    Total8,074,0842,975,5925,043,341638,023
    2013No3,302,67840.4950,36131.2505,7789.443,76213.5
    Yes4,875,35659.62,091,64168.84,860,56890.6281,32086.5
    Total8,178,0343,042,0025,366,346325,082
    Calendar yearType of policyholdersEnterprise size (numbers of employees)
    ≥30050 ~ 299<50
    N%N%N%
    2006
    Office worker492,56818.7333,66518.3689,28826.4
    Non-office worker1,614,65361.41,182,62864.91,825,71469.9
    Public officers521,33119.8307,19516.895,5453.7
    2007
    Office worker323,54614.3219,51814.0529,35320.2
    Non-office worker1,766,26978.01,260,83080.52,072,64179.1
    Public officers175,7127.884,9405.417,8910.7
    2008
    Office worker600,42421.5554,44627.31,627,27446.6
    Non-office worker1,688,12860.61,178,84958.11,762,30250.4
    Public officers498,85517.9295,19514.6106,0303.0
    2009
    Office worker540,22521.5469,14325.81,722,79548.6
    Non-office worker1,835,44073.21,258,91369.31,798,57450.8
    Public officers131,2155.288,9354.920,0280.6
    2010
    Office worker717,63524.7478,47223.51,620,06646.9
    Non-office worker1,889,27865.11,275,24262.61,725,94849.9
    Public officers294,94310.2284,14813.9110,4363.2
    2011
    Office worker636,64823.2482,36725.51,942,34953.2
    Non-office worker1,943,64270.91,300,85368.81,683,25446.1
    Public officers162,7905.9106,9665.727,1540.7
    2012
    Office worker767,56724.8524,60024.81,683,40648.8
    Non-office worker2,041,16566.01,341,34063.41,660,73948.2
    Public officers283,6469.2251,34711.9103,0303.0
    2013
    Office worker621,25620.9456,86422.61,963,74652.5
    Non-office worker2,168,76373.01,454,69671.91,742,68146.6
    Public officers180,7936.1112,2575.531,9690.9
    Table 1 General characteristics of eligible population by year

    For Age, means and standard deviation

    RP Regional policyholder

    Table 2 Participation rate for National General Health Examination or Workers’ General Health Examination by type of policyholder

    Table 3 Distribution of enterprise size by type of policyholders


    Ann Occup Environ Med : Annals of Occupational and Environmental Medicine
    Close layer
    TOP