Skip Navigation
Skip to contents

Ann Occup Environ Med : Annals of Occupational and Environmental Medicine

OPEN ACCESS
SEARCH
Search

Articles

Page Path
HOME > Ann Occup Environ Med > Volume 37; 2025 > Article
Cohort Profile Occupational and Environmental Health Screening Cohort of Yangsan Korea (OEC-YK): 2012–2023
Dongmug Kang1,2,3orcid, Eun-Soo Lee2orcid, Se-Yeong Kim1,2,3orcid, Youngki Kim1,2,3orcid, Youn Hyang Lee4orcid, Yoon-Ji Kim1,*orcid
Annals of Occupational and Environmental Medicine 2025;37:e32.
DOI: https://doi.org/10.35371/aoem.2025.37.e32
Published online: September 5, 2025

1Department of Preventive, and Occupational & Environmental Medicine, Pusan National University School of Medicine, Yangsan, Korea

2Department of Occupational and Environmental Medicine, Pusan National University Yangsan Hospital, Yangsan, Korea

3Research Institute for Convergence of Biomedical Science and Technology, Pusan National University Yangsan Hospital, Yangsan, Korea

4Department of Nursing, Coonhae Health Sciences University, Ulsan, Korea

*Corresponding author: Yoon-Ji Kim Department of Preventive, and Occupational & Environmental Medicine, Pusan National University School of Medicine, 49 Busandaehak-ro, Mulgeum-eup, Yangsan 50612, Korea E-mail: harrypotter79@pusan.ac.kr, harry-potter-79@hanmail.net
• Received: July 3, 2025   • Revised: August 6, 2025   • Accepted: August 14, 2025

© 2025 Korean Society of Occupational & Environmental Medicine

This is an Open Access article distributed under the terms of the Creative Commons Attribution Non-Commercial License (https://creativecommons.org/licenses/by-nc/4.0/) which permits unrestricted non-commercial use, distribution, and reproduction in any medium, provided the original work is properly cited.

  • 1,996 Views
  • 126 Download
prev next
  • The Occupational and Environmental Health Screening Cohort of Yangsan Korea (OEC-YK) was established to monitor long-term health outcomes in workers and environmental high-risk citizens through systematic periodic health examinations. The cohort integrates 623,402 examination instances from 105,768 participants at Pusan National University Yangsan Hospital (2012–2023), encompassing general health checkups, occupational exposure surveillance, cancer screenings, and others including asbestos-related surveillance. Examination types included general health examination (32.4%), cancer screening (20.6%), special health examination (16.2%), night-shift work examination (16.0%), chronic disease screening (4.8%), pre-placement examinations (2.1%), and asbestos-related surveillance (3.6%). At baseline, 59.0% were male and 75.5% were aged between 20 and 59 years. Follow-up rates reached 35.0% at 1 year, 31.9% at 2 years, and 3.2% at 11 years. Notably, the inclusion of systematic asbestos examinations, combined with a national asbestos job exposure matrix, allows detailed study of long-latency occupational diseases. This large-scale longitudinal dataset supports exposure-disease linkage analysis, job-exposure integration, and time-series modeling of worker health trajectories in Korea.
Cohort studies are fundamental to occupational and environmental health research, providing the framework for long-term assessment of exposures and their impact on disease risk.1 Occupational and environmental exposures substantially contribute to the global burden of disease, including respiratory illness, cancer, and metabolic disorders.2-6 South Korea’s national occupational health framework mandates various worker examinations, including special medical checkups for hazardous exposures and night-shift worker assessments.7 Despite the volume of data produced, comprehensive cohorts that integrate these examinations for longitudinal analysis have been lacking.8
Among various exposure-related surveillance efforts, asbestos serves as a representative example of integrating environmental and occupational exposure data into cohort frameworks. In Korea, there is a health screening system based on the Asbestos Damage Relief Act (ADRA) to monitor the health of people exposed to environmental asbestos.9,10 However, cohort-centered follow-up surveillance for long-term health effects based on health surveillance and exposure assessment is difficult. Choi et al.6 and Kang et al.11 have developed and validated both asbestos-specific job-exposure matrices (JEM), and environmental exposure matrices (EEM) that account for ambient risks by region and occupation.
The Occupational and Environmental Health Screening Cohort of Yangsan Korea (OEC-YK) was developed to bridge this gap by systematically aggregating data from the Occupational and Environmental Medicine Clinic of Pusan National University Yangsan Hospital (PNUYH). PNUYH is located in Yangsan, a city adjacent to Busan, which together form a region with a high concentration of manufacturing and industrial activity. The area has a large working population and historically included asbestos textile factories and shipyards, resulting in a considerable number of asbestos-exposed individuals. A distinct feature of this cohort is its incorporation of occupationally exposed workers, environmentally exposed citizens, and health checkup examinee. These linked data permit refined exposure-response modeling for long-latency occupational and environmental diseases.
Study population
The OEC-YK cohort includes individuals who underwent various health examinations at PNUYH between January 2012 and December 2023. These included various types of health examinations, such as special health examinations for workers exposed to hazardous substances (e.g., organic solvents and heavy metals), night-shift work medical examinations for shift workers, pre-placement examinations to evaluate job fitness, general health checkups for workers and the general population, chronic disease and cancer screenings provided through national health programs, and asbestos-related disease examinations conducted under the ADRA for individuals environmentally exposed to asbestos.
This cohort was designed as a retrospective cohort that analyzed screening data from 2012 to 2018, with metabolic syndrome as the primary target disease, and was constructed as a passive cohort that would then be followed up on the target disease and exposure if a research hypothesis was formed in the future. Sample size calculation was based on a 6-year cohort study targeting normal Korean adults, and 400 people per chronic disease, general, and special health examination group were considered to satisfy the sample size for each cohort group.12 This cohort has a strategy of cleaning data once a year and analyzing the constructed cohort data when new research hypotheses are generated. Since this passive cohort is data-based tracking, subjects who can no longer be identified in the database during the follow-up period are defined as ‘dropouts.’
Examination instance counts by examination type
Table 1 summarizes the annual number of duplicate allowed examination instances according to examination type, reflecting that individual participants may undergo multiple examinations in a given year depending on occupational requirements and screening schedules. The total number of cases examined over 12 years was 623,402.
General health examinations accounted for the largest cumulative proportion, comprising 202,271 instances (32.4% of all examinations). Cancer screenings followed with 128,315 cases (20.6%), and special health examinations targeting hazardous exposure accounted for 100,902 cases (16.2%). Night-shift work examinations increased markedly from 2014 onward, ultimately reaching 99,646 instances (16.0%) over the cohort period. This reflects the implementation of mandatory health monitoring for night-shift workers under national occupational health policies.
Pre-placement examinations accounted for 13,254 cases (2.1%) and remained relatively stable over time. Chronic disease screenings (adult disease checkups) were observed mainly before 2018 and declined significantly in later years, totaling 29,654 cases (4.8%), likely due to integration into other national screening programs.
Importantly, asbestos-related disease screenings were conducted in 22,568 cases (3.6%), representing one of the few hospital-based surveillance efforts for long-latency occupational diseases in Korea. Student health screenings (4,427 cases, 0.7%) and examinations classified as 'Others' (35,415 cases, 5.7%) made up smaller proportions of the overall volume.
These figures emphasize the multidimensional structure of the cohort database, where multiple examination types were recorded per individual, driven by legal mandates and industrial health service provisions.
Annual examination participant characteristics
Table 2 presents the annual characteristics of participants who underwent examinations each year during the study period. The yearly distribution reflects the dynamic enrollment and re-examination pattern across years, with some participants undergoing multiple examinations while others entered or exited the cohort in different years. The proportion of participants aged under 30 decreased over time, while those aged 60 years or older gradually increased, indicating the aging structure of the cohort population. For example, participants aged under 20 accounted for 3.9% in 2012 but declined to 2.4% in 2023, whereas those aged 60–69 increased from 9.2% in 2012 to 13.8% in 2023. Sex distribution remained relatively stable, with males consistently comprising approximately 60%–65% of the annual examinees throughout the period. The total number of examinees per year ranged from approximately 20,000 to 25,000 depending on examination year, with peak volumes observed around 2014.
Cohort enrollment and follow-up structure
Tables 3 and 4 summarizes the cohort enrollment and subsequent follow-up participation over the study period. A total of 105,768 unique individuals were initially enrolled (Y₀). During the first year of follow-up (Y₁), 37,074 individuals (35.0%) returned for examination. The number of follow-up participants gradually decreased with increasing follow-up duration: 33,783 (31.9%) at year 2 (Y₂), 22,963 (21.7%) at year 3 (Y₃), and 14,408 (13.6%) at year 5 (Y₅). By year 11 (Y₁₁), 3,427 participants (3.2%) remained under surveillance. The age distribution at baseline was relatively young, with 44.2% of participants aged under 40. However, with prolonged follow-up, older age groups constituted a larger proportion of follow-up participants, reflecting both aging of the cohort and differential retention. In follow-up surveys, the follow-up rate for those under 20 declined sharply after two years, while the rate for those in their 40s and 50s remained stable until 11 years (p < 0.001, chi-square test). This suggests that for those under 20, almost all of the screenings were student screenings, while those in their 40s and 50s differed between general and special screenings for workers. Therefore, when conducting analyses based on hypotheses generated in the future, it will be necessary to include screening type as a key variable.13 Sex distribution showed a stable predominance of male participants throughout follow-up, ranging from 59.0% at baseline to approximately 62%–68% during extended follow-up. Furthermore, it is an international standard to analyze only those individuals who can be continuously tracked among all health screening participants. This measure is essential for ensuring consistency and reliability of results and exposure data, and should be considered a key consideration in future analyses.14
General and chronic disease screening
General and chronic disease screenings targeted chronic conditions such as hypertension, diabetes mellitus, dyslipidemia, obesity, cardiovascular diseases, hepatic disorders, and renal diseases. The examinations included anthropometric measurements (height, weight, waist circumference, body mass index), vital signs (blood pressure and pulse rate), and laboratory tests (complete blood count, liver and renal function tests, lipid profile, fasting glucose, HbA1c, urinalysis, hepatitis B screening). Imaging studies involved chest radiography, audiometry, and assessments of vision. Additionally, self-reported questionnaires gathered information on medical history, medication use, smoking habits, alcohol consumption, and physical activity.
Special health examinations
Special health examinations addressed hazardous exposures. Heavy metal monitoring involved measurements of blood lead, urine cadmium, urine mercury, and blood or urine concentrations of chromium, nickel, and manganese. For organic solvents, urinary metabolites were assessed for toluene (hippuric acid), xylene (methyl hippuric acid), benzene (trans, trans-muconic acid), styrene (mandelic acid, phenyl glyoxylic acid), trichloroethylene and perchloroethylene (trichloroacetic acid), as well as methyl ethyl ketone and methyl isobutyl ketone. Dust and fiber exposure assessments were performed through chest radiography and pulmonary function tests for crystalline silica, asbestos, and welding fumes. Exposures to acids and alkalis included hydrofluoric acid, sulfuric acid, nitric acid, and hydrochloric acid. Other assessments included biomonitoring for isocyanates, polycyclic aromatic hydrocarbons, and benzopyrene, as well as noise exposure evaluations through pure-tone audiometry and comprehensive occupational medical interviews.
Pre-placement examinations
Pre-placement examinations were conducted to evaluate the baseline health status of workers prior to job assignment, with the specific test items determined according to the expected exposure profile of the job. For workers who were expected to be exposed to designated hazardous agents, pre-placement examinations followed the legally mandated items of the special health examination under the Korean Occupational Safety and Health Act. For workers without anticipated exposure to hazardous substances, the pre-placement examination followed the general health examination protocol.
Night-shift worker examinations
Night-shift worker examinations focused on evaluating health effects related to circadian rhythm disturbances. Screenings included evaluations for insomnia, sleep quality, daytime sleepiness, gastrointestinal symptoms, and breast cancer risk in female workers. Additionally, detailed assessments of night-shift exposure were performed.
Cancer screenings
Cancer screenings were conducted following national guidelines, targeting stomach, colorectal, breast, liver, and cervical cancers.15 Screening methods included upper gastrointestinal endoscopy or series for stomach cancer, fecal occult blood tests and colonoscopy for colorectal cancer, mammography for breast cancer, abdominal ultrasonography and serum alpha-fetoprotein for liver cancer, and Pap smears for cervical cancer.
Other examinations: asbestos-related disease screening and student exam
Asbestos-related disease screening was conducted for individuals with suspected occupational or environmental exposure to asbestos. The assessment primarily included a chest radiograph to detect pleural abnormalities or parenchymal changes suggestive of asbestosis. Pulmonary function tests, including forced vital capacity, forced expiratory volume at 1 second, and diffusing capacity for carbon monoxide, were performed to identify restrictive impairments. In cases with abnormal findings or high-risk exposure history, high-resolution chest computed tomography was selectively used for further evaluation. Exposure history was systematically collected through structured interviews to assess cumulative asbestos exposure.
Other examinations included school health screenings (anthropometry, vision and hearing tests, urinalysis, blood pressure measurement, and questionnaires) for elementary, middle, and high school students.16
Ethics statement
The cohort project was conducted in accordance with the Declaration of Helsinki, and approved by the Institutional Review Board Committee of the Pusan National University Yangsan Hospital (IRB No. 05-2019-030, 05-2022-069). Because this was a retrospective study using data from an existing database with de-identified personal information, the requirement for informed consent was waived by the board.
Previous analyses demonstrated that night-shift work (hazard ratio [HR]: 1.45; 95% confidence interval [CI]: 1.36–1.54) and noise exposure (HR: 1.15; 95% CI: 1.07–1.24) significantly increased the risk of metabolic syndrome. Organic solvent exposures, particularly dimethylformamide and trichloroethylene, were also associated with increased metabolic syndrome risk. Multiplicative interactions were observed between lead exposure and night-shift work (HR: 3.33), suggesting additive or synergistic health risks. These findings were published in peer-reviewed journals including Safety and Health at Work (2024) and were based on cohort data from 2012 to 2020.17
In a sub-study using the OEC-YK cohort (2022–2023), Lee conducted a multi-omics investigation to examine the relationship between night-shift work and diabetes. Among 83 matched participants, transcriptomic and exome sequencing identified gene expression and mutation profiles associated with night-shift work exposure.18 Alterations in metabolic and inflammatory pathways, including Hippo, transforming growth factor-β, and extracellular matrix signaling, were observed, suggesting biological mechanisms linking circadian disruption to metabolic disorders. The identification of potential biomarkers in TSPYL1 (testis specific protein Y-linked 1) and related genes suggests practical opportunities for precision health interventions in high-risk night-shift workers.
Strengths
First, the cohort includes a large population of over 100,000 unique individuals followed over a 12-year period, with more than 620,000 examination instances, allowing for robust longitudinal analysis of health trends and disease incidence. This extended temporal coverage supports the tracking of health trajectories across different career stages. Second, the OEC-YK cohort integrates diverse health examination types, including general health screenings, special examinations targeting hazardous occupational exposures, night-shift worker health monitoring, cancer screenings, pre-placement evaluations, and asbestos-related disease surveillance. This enables a multidimensional view of worker health under varying regulatory and occupational conditions. Third, the dataset reflects real-world occupational health service delivery under Korea’s regulatory framework, making it a uniquely policy-relevant cohort. It captures actual implementation of national guidelines, including mandatory screenings for specific occupational groups and industries. Fourth, the inclusion of pre-placement exams and repeat screenings allows analysis of health status from workforce entry through continued employment, offering insight into how work-related exposures and conditions influence health over time. Fifth, the cohort includes systematic asbestos-related screening, with standardized chest radiography, exposure history documentation, and pulmonary function test, enhancing its utility in occupational and environmental respiratory disease surveillance. Also, the cohort can be linked with JEMs and EEMs. This enables semi-quantitative exposure assessment by job title or task, or residence history, thus improving the validity of exposure-disease associations in epidemiological studies.1,2 Sixth, the database structure enables subgroup analyses of vulnerable worker populations, including young workers, older workers, female employees, and night-shift workers. These analyses can inform tailored interventions and occupational health equity policies.
Limitations
Despite its strengths, the OEC-YK cohort has several limitations. The data are derived from a single tertiary regional hospital, which may affect external generalizability to the broader Korean workforce or to other international contexts. Regional industrial composition may also influence exposure profiles. Second, although the cohort includes examinations for a wide range of hazardous agents, quantitative exposure data such as cumulative exposure indices or time-weighted averages are not consistently available, limiting exposure-response modeling. Third, while cancer screening results are recorded, some participants may have undergone parallel screenings through national or private programs outside the hospital, potentially leading to incomplete capture of cancer screening outcomes. Finally, differential follow-up caused by employment turnover, relocation, retirement, or workplace screening policies may result in attrition bias. Participants lost to follow-up may differ systematically from those who continue participation, impacting the interpretation of long-term health trajectories.
The cohort data are not freely available, but the authors welcome collaborations with other researchers. For further information, contact investigator (Dr. Yoon-Ji Kim: harrypotter79@pusan.ac.kr). Data are available upon reasonable request with institutional approval.
The OEC-YK cohort was established to monitor the long-term health effects of occupational and environmental exposures through systematic health examinations. Over the 12-year period, it accumulated over 620,000 examination records from more than 100,000 individuals, incorporating diverse screening types such as special health examinations, night-shift worker assessments, and asbestos surveillance. Analyses to date have demonstrated measurable associations between occupational hazards—such as noise, night-shift work, and solvent exposures—and increased risk of metabolic syndrome, with potential synergistic effects. Multi-omics analyses have further identified biological mechanisms linking circadian disruption to metabolic outcomes. These results confirm the cohort’s capacity to address its original objective: enabling detailed exposure-response investigations and informing occupational health risk assessment in Korean working populations.

ADRA

Asbestos Damage Relief Act

CI

confidence interval

EEM

environmental exposure matrices

HbA1c

glycated hemoglobin

HR

hazard ratio

JEM

job exposure matrices

OEC-YK

Occupational and Environmental Health Screening Cohort of Yangsan Korea

PFT

pulmonary function test

TSPYL1

testis specific protein Y-linked 1

Funding

This work was supported by a 2-Year Research Grant of Pusan National University. The funders had no role in study design, data collection and analysis, decision to publish, or preparation of the manuscript.

Competing interests

No potential conflict of interest relevant to this article was reported.

Author contributions

Conceptualization: Kang D. Methodology: Kang D. Software: Kim Y. Validation: Lee YH. Formal analysis: Kim SY. Investigation: Lee ES. Data curation: Lee ES. Funding acquisition: Kang D. Writing - original draft preparation: Kang D. Writing - review & editing: Kim YJ.

Acknowledgments

The authors gratefully acknowledge all participants of the OEC-YK cohort study, whose cooperation made this research possible. The authors thank the Department of Occupational and Environmental Medicine at Pusan National University Yangsan Hospital for providing raw OEC-YK data. The views expressed in this article are those of the authors and do not necessarily reflect the official policy or position of their affiliated institutions or the funding agency.

Table 1.
Annual counts of duplicate allowed examination instances by type, 2012–2023
Classification Special exam Night-shift exam Pre-placement exam General exam Chronic disease screening Cancer screening Asbestos-related surveillance Student exam Others Total
2012 8,038 (17.7) 0 (0.0) 1,100 (2.4) 16,884 (37.2) 3,907 (8.6) 10,028 (22.1) 1,735 (3.8) 489 (1.1) 3,245 (7.1) 45,426 (100)
2013 9,721 (21.2) 1 (0.0) 942 (2.1) 17,684 (38.6) 3,636 (7.9) 9,182 (20.0) 1,324 (2.9) 415 (0.9) 2,961 (6.5) 45,866 (100)
2014 9,735 (16.1) 4,314 (7.1) 1,089 (1.8) 20,939 (34.6) 5,452 (9.0) 13,305 (22.0) 1,586 (2.6) 445 (0.7) 3,566 (5.9) 60,431 (100)
2015 9,928 (16.3) 8,547 (14.0) 779 (1.3) 20,930 (34.4) 4,410 (7.2) 10,584 (17.4) 2,251 (3.7) 387 (0.6) 3,092 (5.1) 60,908 (100)
2016 8,412 (14.6) 8,410 (14.6) 546 (0.9) 18,007 (31.2) 4,929 (8.5) 12,498 (21.7) 2,292 (4.0) 310 (0.5) 2,323 (4.0) 57,727 (100)
2017 7,045 (13.5) 8,423 (16.2) 993 (1.9) 16,050 (30.8) 3,613 (6.9) 9,447 (18.1) 3,109 (6.0) 457 (0.9) 2,978 (5.7) 52,115 (100)
2018 7,017 (13.9) 8,800 (17.4) 1,039 (2.1) 14,588 (28.8) 1,760 (3.5) 9,655 (19.1) 3,532 (7.0) 795 (1.6) 3,386 (6.7) 50,572 (100)
2019 6,505 (14.1) 9,338 (20.3) 1,203 (2.6) 13,790 (30.0) 1,600 (3.5) 9,870 (21.5) 894 (1.9) 683 (1.5) 2,093 (4.6) 45,976 (100)
2020 6,691 (14.7) 9,499 (20.9) 1,016 (2.2) 14,971 (33.0) 245 (0.5) 10,264 (22.6) 508 (1.1) 0 (0.0) 2,169 (4.8) 45,363 (100)
2021 8,711 (17.1) 9,831 (19.4) 1,441 (2.8) 15,736 (31.0) 43 (0.1) 10,801 (21.3) 1,406 (2.8) 160 (0.3) 2,673 (5.3) 50,802 (100)
2022 9,180 (16.7) 11,027 (20.0) 1,608 (2.9) 16,778 (30.5) 34 (0.1) 10,984 (19.9) 2,383 (4.3) 111 (0.2) 2,985 (5.4) 55,090 (100)
2023 8,919 (16.8) 10,426 (19.6) 1,498 (2.8) 15,914 (30.0) 25 (0.0) 10,697 (20.1) 1,538 (2.9) 175 (0.3) 3,934 (7.4) 53,126 (100)
Total 100,902 (16.2) 99,646 (16.0) 13,254 (2.1) 202,271 (32.4) 29,654 (4.8) 128,315 (20.6) 22,568 (3.6) 4,427 (0.7) 35,415 (5.7) 623,402 (100)

Values are presented as number (%).

Table 2.
Annual characteristics of examinees by age and sex
Group Y2012 Y2013 Y2014 Y2015 Y2016 Y2017 Y2018 Y2019 Y2020 Y2021 Y2022 Y2023
Age (years) <20 933 (3.9) 1,022 (4.3) 1,020 (3.6) 557 (2.4) 415 (1.7) 546 (2.4) 809 (3.6) 702 (3.2) 94 (0.4) 530 (2.1) 359 (1.8) 533 (2.4)
20–29 4,068 (16.8) 3,893 (16.3) 4,733 (16.5) 4,437 (18.8) 4,217 (17.2) 3,963 (17.5) 3,682 (16.6) 3,717 (17.1) 3,512 (16.4) 3,817 (15.4) 3,135 (15.4) 2,995 (13.5)
30–39 6,224 (25.7) 6,219 (26.1) 7,062 (24.6) 6,002 (25.5) 5,737 (23.4) 5,333 (23.6) 5,293 (23.8) 5,043 (23.2) 4,916 (23.0) 5,263 (21.2) 4,391 (21.5) 4,868 (21.9)
40–49 5,027 (20.8) 4,848 (20.3) 5,773 (20.1) 4,948 (21.0) 5,176 (21.1) 4,771 (21.1) 4,751 (21.4) 4,597 (21.2) 4,660 (21.8) 5,269 (21.2) 4,100 (20.1) 4,981 (22.4)
50–59 4,931 (20.4) 4,838 (20.3) 5,800 (20.2) 4,636 (19.7) 5,035 (20.6) 4,608 (20.4) 4,360 (19.6) 4,246 (19.5) 4,162 (19.5) 4,710 (19.0) 3,966 (19.4) 4,392 (19.8)
60–69 2,236 (9.2) 2,077 (8.7) 2,839 (9.9) 2,170 (9.2) 2,859 (11.7) 2,508 (11.1) 2,429 (10.9) 2,460 (11.3) 2,824 (13.2) 3,572 (14.4) 3,005 (14.7) 3,056 (13.8)
>69 806 (3.3) 936 (3.9) 1,469 (5.1) 821 (3.5) 1,038 (4.2) 858 (3.8) 909 (4.1) 964 (4.4) 1,222 (5.7) 1,671 (6.7) 1,455 (7.1) 1,381 (6.2)
Sex Female 8,532 (35.2) 7,981 (33.5) 10,486 (36.5) 8,376 (35.5) 9,367 (38.3) 8,674 (38.4) 8,668 (39.0) 8,431 (38.8) 8,263 (38.6) 9,535 (38.4) 8,485 (41.6) 8,431 (38.0)
Male 15,693 (64.8) 15,852 (66.5) 18,210 (63.5) 15,195 (64.5) 15,110 (61.7) 13,913 (61.6) 13,565 (61.0) 13,298 (61.2) 13,127 (61.4) 15,297 (61.6) 11,926 (58.4) 13,775 (62.0)
Total 24,225 (100) 23,833 (100) 28,696 (100) 23,571 (100) 24,477 (100) 22,587 (100) 22,233 (100) 21,729 (100) 21,390 (100) 24,832 (100) 20,411 (100) 22,206 (100)

Values are presented as number (%).

Table 3.
Longitudinal follow-up of the OEC-YK cohort, 2012–2023
Group Y0 Y1 Y2 Y3 Y4 Y5 Y6 Y7 Y8 Y9 Y10 Y11
Age (years) <20 6,625 (6.3) 457 (1.2) 61 (0.2) 339 (1.5) 8 (0.0) 0 26 (0.2) 2 (0.0) 0 2 (0.0) 0 0
20–29 20,702 (19.6) 9,627 (26.0) 6,273 (18.6) 4,005 (17.4) 2,703 (13.4) 1,626 (11.3) 882 (6.6) 237 (2.4) 57 (0.7) 29 (0.4) 19 (0.4) 9 (0.3)
30–39 19,355 (18.3) 9,545 (25.7) 8,377 (24.8) 6,449 (28.1) 5,277 (26.2) 4,321 (30.0) 3,830 (28.8) 3,373 (33.5) 2,427 (30.6) 1,840 (27.2) 948 (20.8) 609 (17.8)
40–49 19,485 (18.4) 7,031 (19.0) 6,969 (20.6) 4,804 (20.9) 4,294 (21.3) 3,306 (22.9) 3,218 (24.2) 2,762 (27.5) 2,014 (25.4) 2,256 (33.4) 1,416 (31.0) 1,346 (39.3)
50–59 20,255 (19.2) 6,464 (17.4) 6,803 (20.1) 4,487 (19.5) 4,177 (20.7) 3,045 (21.1) 2,898 (21.8) 2,214 (22.0) 1,770 (22.3) 1,606 (23.8) 1,066 (23.4) 899 (26.2)
60–69 13,102 (12.4) 3,008 (8.1) 3,779 (11.2) 2,175 (9.5) 2,596 (12.9) 1,571 (10.9) 1,687 (12.7) 1,111 (11.0) 1,106 (13.9) 742 (11.0) 725 (15.9) 433 (12.6)
>69 6,244 (5.9) 942 (2.5) 1,521 (4.5) 704 (3.1) 1,092 (5.4) 539 (3.7) 766 (5.8) 359 (3.6) 565 (7.1) 279 (4.1) 388 (8.5) 131 (3.8)
Sex Female 43,326 (41.0) 12,558 (33.9) 12,728 (37.7) 7,997 (34.8) 7,535 (37.4) 4,900 (34.0) 4,780 (35.9) 3,253 (32.3) 3,132 (39.5) 2,173 (32.2) 1,770 (38.8) 1,077 (31.4)
Male 62,442 (59.0) 24,516 (66.1) 21,055 (62.3) 14,966 (65.2) 12,612 (62.6) 9,508 (66.0) 8,527 (64.1) 6,805 (67.7) 4,807 (60.5) 4,581 (67.8) 2,792 (61.2) 2,350 (68.6)
Follow-up 105,768 (100) 37,074 (35.1) 33,783 (31.9) 22,963 (21.7) 20,147 (19.0) 14,408 (13.6) 13,307 (12.6) 10,058 (9.5) 7,939 (7.5) 6,754 (6.4) 4,562 (4.3) 3,427 (3.2)

Values are presented as number (%).

OEC-YK: Occupational and Environmental Health Screening Cohort of Yangsan Korea.

Table 4.
Baseline characteristics of participants undergoing general or chronic disease health screening, by sex
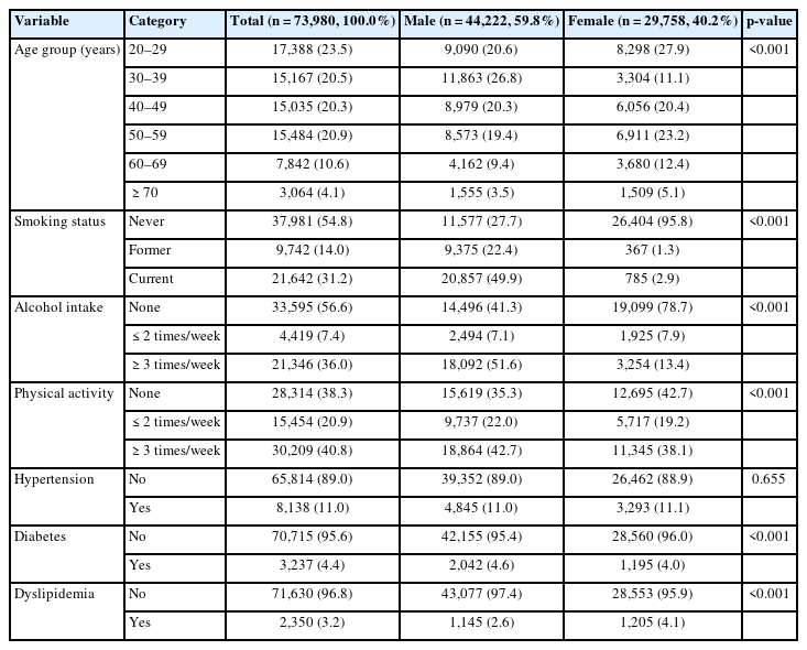
Variable Category Total (n = 73,980, 100.0%) Male (n = 44,222, 59.8%) Female (n = 29,758, 40.2%) p-value
Age group (years) 20–29 17,388 (23.5) 9,090 (20.6) 8,298 (27.9) <0.001
30–39 15,167 (20.5) 11,863 (26.8) 3,304 (11.1)
40–49 15,035 (20.3) 8,979 (20.3) 6,056 (20.4)
50–59 15,484 (20.9) 8,573 (19.4) 6,911 (23.2)
60–69 7,842 (10.6) 4,162 (9.4) 3,680 (12.4)
≥70 3,064 (4.1) 1,555 (3.5) 1,509 (5.1)
Smoking status Never 37,981 (54.8) 11,577 (27.7) 26,404 (95.8) <0.001
Former 9,742 (14.0) 9,375 (22.4) 367 (1.3)
Current 21,642 (31.2) 20,857 (49.9) 785 (2.9)
Alcohol intake None 33,595 (56.6) 14,496 (41.3) 19,099 (78.7) <0.001
≤2 times/week 4,419 (7.4) 2,494 (7.1) 1,925 (7.9)
≥3 times/week 21,346 (36.0) 18,092 (51.6) 3,254 (13.4)
Physical activity None 28,314 (38.3) 15,619 (35.3) 12,695 (42.7) <0.001
≤2 times/week 15,454 (20.9) 9,737 (22.0) 5,717 (19.2)
≥3 times/week 30,209 (40.8) 18,864 (42.7) 11,345 (38.1)
Hypertension No 65,814 (89.0) 39,352 (89.0) 26,462 (88.9) 0.655
Yes 8,138 (11.0) 4,845 (11.0) 3,293 (11.1)
Diabetes No 70,715 (95.6) 42,155 (95.4) 28,560 (96.0) <0.001
Yes 3,237 (4.4) 2,042 (4.6) 1,195 (4.0)
Dyslipidemia No 71,630 (96.8) 43,077 (97.4) 28,553 (95.9) <0.001
Yes 2,350 (3.2) 1,145 (2.6) 1,205 (4.1)

Values are presented as number (%).

  • 1. Rothman KJ, Greenland S, Lash T. Modern Epidemiology. 3rd ed. Philadelphia, PA: Lippincott Williams & Wilkins; 2008.
  • 2. Jo S, Cheon E, Kang H, Lim MK, Chung W, Jee SH, et al. Cohort profile: the Korean National Health Examination Baseline (KNHEB) cohort for longitudinal health monitoring in South Korea. BMC Public Health 2025;25:1777.ArticlePubMedPMC
  • 3. Park DU, Zoh KE, Lee YK, Seo H, Choi S, Koh DH, et al. Management and collection of occupational data for health (ODH) in national public health statistics: evaluation and recommendations for Korea. Saf Health Work 2025;16(1):60–8.ArticlePubMedPMC
  • 4. Jeong KS, Kim S, Kim WJ, Kim HC, Bae J, Hong YC, et al. Cohort profile: beyond birth cohort study - the Korean CHildren's ENvironmental health Study (Ko-CHENS). Environ Res 2019;172:358–66.ArticlePubMed
  • 5. Shin DW, Cho J, Park JH, Cho B. National General Health Screening Program in Korea: history, current status, and future direction: a scoping review. Precis Future Med 2022;6(1):9–31.ArticlePDF
  • 6. Choi S, Kang D, Park D, Lee H, Choi B. Developing asbestos job exposure matrix using occupation and industry specific exposure data (1984-2008) in Republic of Korea. Saf Health Work 2017;8(1):105–15. http://doi.org/10.1016/j.shaw.2016.09.002.ArticlePubMedPMC
  • 7. Kang YJ, Myong JP, Eom H, Choi B, Park JH, Kim EA. The current condition of the workers’ general health examination in South Korea: a retrospective study. Ann Occup Environ Med 2017;29(6):https://doi.org/10.1186/s40557-017-0157-0.ArticlePubMedPMC
  • 8. Lee DW, Kim I, Hwang J, Choi S, Jang TW, Chung I, et al. Occupational disease monitoring by the Korea Occupational Disease Surveillance Center: a narrative review. Ewha Med J 2025;48(1):e9.ArticlePubMedPMC
  • 9. Kang DM, Kim YK, Kim JE. Asbestos and environmental diseases. J Korean Med Assoc 2012;55(3):214–22.Article
  • 10. Asbestos Injury Relief Act (ADRA). Ministry of Environment, Korea. Act No. 11141. 2011 Jan.
  • 11. Kang D, Jung S, Kim YJ, Kim J, Choi S, Kim SY, et al. Reconstruction of the Korean asbestos job exposure matrix. Saf Health Work 2021;12(1):74–95.ArticlePubMedPMC
  • 12. Seo JM, Lim NK, Lim JY, Park HY. Gender difference in association with socioeconomic status and incidence of metabolic syndrome in Korean adults. Korean J Obes 2016;25(4):247–54.Article
  • 13. Lash TL, VanderWeele TJ, Haneuse S, Rothman KJ. Modern Epidemiology. 4th ed. Philadelphia, PA: Wolters Kluwer; 2021.
  • 14. Lee C, Choe EK, Choi JM, Hwang Y, Lee Y, Park B, et al. Health and Prevention Enhancement (H-PEACE): a retrospective, population-based cohort study conducted at the Seoul National University Hospital Gangnam Center, Korea. BMJ Open 2018;8(4):e019327.ArticlePubMedPMC
  • 15. National Cancer Center. National Cancer Screening Program: detecting cancer. https://www.ncc.re.kr/main.ncc?uri=english%2Fsub04_ControlPrograms03. Updated 2025. Accessed July 3, 2025..
  • 16. Shin HJ. The current status of the Korean student health examination. Korean J Pediatr 2013;56(8):313–22.ArticlePubMedPMC
  • 17. Kang D, Lee ES, Kim TK, Kim YJ, Lee S, Lee W, et al. Association with combined occupational hazards exposure and risk of metabolic syndrome: a workers' health examination cohort 2012-2021. Saf Health Work 2023;14(3):279–86.ArticlePubMedPMC
  • 18. Lee ES. Multi-omics analysis of the association between diabetes mellitus and night shift work. M.D. dissertation. Busan, Korea: Pusan National University; 2025.

Figure & Data

REFERENCES

    Citations

    Citations to this article as recorded by  

      • Cite
        CITE
        export Copy Download
        Close
        Download Citation
        Download a citation file in RIS format that can be imported by all major citation management software, including EndNote, ProCite, RefWorks, and Reference Manager.

        Format:
        • RIS — For EndNote, ProCite, RefWorks, and most other reference management software
        • BibTeX — For JabRef, BibDesk, and other BibTeX-specific software
        Include:
        • Citation for the content below
        Occupational and Environmental Health Screening Cohort of Yangsan Korea (OEC-YK): 2012–2023
        Ann Occup Environ Med. 2025;37:e32  Published online September 5, 2025
        Close
      • XML DownloadXML Download
      Occupational and Environmental Health Screening Cohort of Yangsan Korea (OEC-YK): 2012–2023
      Occupational and Environmental Health Screening Cohort of Yangsan Korea (OEC-YK): 2012–2023
      Classification Special exam Night-shift exam Pre-placement exam General exam Chronic disease screening Cancer screening Asbestos-related surveillance Student exam Others Total
      2012 8,038 (17.7) 0 (0.0) 1,100 (2.4) 16,884 (37.2) 3,907 (8.6) 10,028 (22.1) 1,735 (3.8) 489 (1.1) 3,245 (7.1) 45,426 (100)
      2013 9,721 (21.2) 1 (0.0) 942 (2.1) 17,684 (38.6) 3,636 (7.9) 9,182 (20.0) 1,324 (2.9) 415 (0.9) 2,961 (6.5) 45,866 (100)
      2014 9,735 (16.1) 4,314 (7.1) 1,089 (1.8) 20,939 (34.6) 5,452 (9.0) 13,305 (22.0) 1,586 (2.6) 445 (0.7) 3,566 (5.9) 60,431 (100)
      2015 9,928 (16.3) 8,547 (14.0) 779 (1.3) 20,930 (34.4) 4,410 (7.2) 10,584 (17.4) 2,251 (3.7) 387 (0.6) 3,092 (5.1) 60,908 (100)
      2016 8,412 (14.6) 8,410 (14.6) 546 (0.9) 18,007 (31.2) 4,929 (8.5) 12,498 (21.7) 2,292 (4.0) 310 (0.5) 2,323 (4.0) 57,727 (100)
      2017 7,045 (13.5) 8,423 (16.2) 993 (1.9) 16,050 (30.8) 3,613 (6.9) 9,447 (18.1) 3,109 (6.0) 457 (0.9) 2,978 (5.7) 52,115 (100)
      2018 7,017 (13.9) 8,800 (17.4) 1,039 (2.1) 14,588 (28.8) 1,760 (3.5) 9,655 (19.1) 3,532 (7.0) 795 (1.6) 3,386 (6.7) 50,572 (100)
      2019 6,505 (14.1) 9,338 (20.3) 1,203 (2.6) 13,790 (30.0) 1,600 (3.5) 9,870 (21.5) 894 (1.9) 683 (1.5) 2,093 (4.6) 45,976 (100)
      2020 6,691 (14.7) 9,499 (20.9) 1,016 (2.2) 14,971 (33.0) 245 (0.5) 10,264 (22.6) 508 (1.1) 0 (0.0) 2,169 (4.8) 45,363 (100)
      2021 8,711 (17.1) 9,831 (19.4) 1,441 (2.8) 15,736 (31.0) 43 (0.1) 10,801 (21.3) 1,406 (2.8) 160 (0.3) 2,673 (5.3) 50,802 (100)
      2022 9,180 (16.7) 11,027 (20.0) 1,608 (2.9) 16,778 (30.5) 34 (0.1) 10,984 (19.9) 2,383 (4.3) 111 (0.2) 2,985 (5.4) 55,090 (100)
      2023 8,919 (16.8) 10,426 (19.6) 1,498 (2.8) 15,914 (30.0) 25 (0.0) 10,697 (20.1) 1,538 (2.9) 175 (0.3) 3,934 (7.4) 53,126 (100)
      Total 100,902 (16.2) 99,646 (16.0) 13,254 (2.1) 202,271 (32.4) 29,654 (4.8) 128,315 (20.6) 22,568 (3.6) 4,427 (0.7) 35,415 (5.7) 623,402 (100)
      Group Y2012 Y2013 Y2014 Y2015 Y2016 Y2017 Y2018 Y2019 Y2020 Y2021 Y2022 Y2023
      Age (years) <20 933 (3.9) 1,022 (4.3) 1,020 (3.6) 557 (2.4) 415 (1.7) 546 (2.4) 809 (3.6) 702 (3.2) 94 (0.4) 530 (2.1) 359 (1.8) 533 (2.4)
      20–29 4,068 (16.8) 3,893 (16.3) 4,733 (16.5) 4,437 (18.8) 4,217 (17.2) 3,963 (17.5) 3,682 (16.6) 3,717 (17.1) 3,512 (16.4) 3,817 (15.4) 3,135 (15.4) 2,995 (13.5)
      30–39 6,224 (25.7) 6,219 (26.1) 7,062 (24.6) 6,002 (25.5) 5,737 (23.4) 5,333 (23.6) 5,293 (23.8) 5,043 (23.2) 4,916 (23.0) 5,263 (21.2) 4,391 (21.5) 4,868 (21.9)
      40–49 5,027 (20.8) 4,848 (20.3) 5,773 (20.1) 4,948 (21.0) 5,176 (21.1) 4,771 (21.1) 4,751 (21.4) 4,597 (21.2) 4,660 (21.8) 5,269 (21.2) 4,100 (20.1) 4,981 (22.4)
      50–59 4,931 (20.4) 4,838 (20.3) 5,800 (20.2) 4,636 (19.7) 5,035 (20.6) 4,608 (20.4) 4,360 (19.6) 4,246 (19.5) 4,162 (19.5) 4,710 (19.0) 3,966 (19.4) 4,392 (19.8)
      60–69 2,236 (9.2) 2,077 (8.7) 2,839 (9.9) 2,170 (9.2) 2,859 (11.7) 2,508 (11.1) 2,429 (10.9) 2,460 (11.3) 2,824 (13.2) 3,572 (14.4) 3,005 (14.7) 3,056 (13.8)
      >69 806 (3.3) 936 (3.9) 1,469 (5.1) 821 (3.5) 1,038 (4.2) 858 (3.8) 909 (4.1) 964 (4.4) 1,222 (5.7) 1,671 (6.7) 1,455 (7.1) 1,381 (6.2)
      Sex Female 8,532 (35.2) 7,981 (33.5) 10,486 (36.5) 8,376 (35.5) 9,367 (38.3) 8,674 (38.4) 8,668 (39.0) 8,431 (38.8) 8,263 (38.6) 9,535 (38.4) 8,485 (41.6) 8,431 (38.0)
      Male 15,693 (64.8) 15,852 (66.5) 18,210 (63.5) 15,195 (64.5) 15,110 (61.7) 13,913 (61.6) 13,565 (61.0) 13,298 (61.2) 13,127 (61.4) 15,297 (61.6) 11,926 (58.4) 13,775 (62.0)
      Total 24,225 (100) 23,833 (100) 28,696 (100) 23,571 (100) 24,477 (100) 22,587 (100) 22,233 (100) 21,729 (100) 21,390 (100) 24,832 (100) 20,411 (100) 22,206 (100)
      Group Y0 Y1 Y2 Y3 Y4 Y5 Y6 Y7 Y8 Y9 Y10 Y11
      Age (years) <20 6,625 (6.3) 457 (1.2) 61 (0.2) 339 (1.5) 8 (0.0) 0 26 (0.2) 2 (0.0) 0 2 (0.0) 0 0
      20–29 20,702 (19.6) 9,627 (26.0) 6,273 (18.6) 4,005 (17.4) 2,703 (13.4) 1,626 (11.3) 882 (6.6) 237 (2.4) 57 (0.7) 29 (0.4) 19 (0.4) 9 (0.3)
      30–39 19,355 (18.3) 9,545 (25.7) 8,377 (24.8) 6,449 (28.1) 5,277 (26.2) 4,321 (30.0) 3,830 (28.8) 3,373 (33.5) 2,427 (30.6) 1,840 (27.2) 948 (20.8) 609 (17.8)
      40–49 19,485 (18.4) 7,031 (19.0) 6,969 (20.6) 4,804 (20.9) 4,294 (21.3) 3,306 (22.9) 3,218 (24.2) 2,762 (27.5) 2,014 (25.4) 2,256 (33.4) 1,416 (31.0) 1,346 (39.3)
      50–59 20,255 (19.2) 6,464 (17.4) 6,803 (20.1) 4,487 (19.5) 4,177 (20.7) 3,045 (21.1) 2,898 (21.8) 2,214 (22.0) 1,770 (22.3) 1,606 (23.8) 1,066 (23.4) 899 (26.2)
      60–69 13,102 (12.4) 3,008 (8.1) 3,779 (11.2) 2,175 (9.5) 2,596 (12.9) 1,571 (10.9) 1,687 (12.7) 1,111 (11.0) 1,106 (13.9) 742 (11.0) 725 (15.9) 433 (12.6)
      >69 6,244 (5.9) 942 (2.5) 1,521 (4.5) 704 (3.1) 1,092 (5.4) 539 (3.7) 766 (5.8) 359 (3.6) 565 (7.1) 279 (4.1) 388 (8.5) 131 (3.8)
      Sex Female 43,326 (41.0) 12,558 (33.9) 12,728 (37.7) 7,997 (34.8) 7,535 (37.4) 4,900 (34.0) 4,780 (35.9) 3,253 (32.3) 3,132 (39.5) 2,173 (32.2) 1,770 (38.8) 1,077 (31.4)
      Male 62,442 (59.0) 24,516 (66.1) 21,055 (62.3) 14,966 (65.2) 12,612 (62.6) 9,508 (66.0) 8,527 (64.1) 6,805 (67.7) 4,807 (60.5) 4,581 (67.8) 2,792 (61.2) 2,350 (68.6)
      Follow-up 105,768 (100) 37,074 (35.1) 33,783 (31.9) 22,963 (21.7) 20,147 (19.0) 14,408 (13.6) 13,307 (12.6) 10,058 (9.5) 7,939 (7.5) 6,754 (6.4) 4,562 (4.3) 3,427 (3.2)
      Variable Category Total (n = 73,980, 100.0%) Male (n = 44,222, 59.8%) Female (n = 29,758, 40.2%) p-value
      Age group (years) 20–29 17,388 (23.5) 9,090 (20.6) 8,298 (27.9) <0.001
      30–39 15,167 (20.5) 11,863 (26.8) 3,304 (11.1)
      40–49 15,035 (20.3) 8,979 (20.3) 6,056 (20.4)
      50–59 15,484 (20.9) 8,573 (19.4) 6,911 (23.2)
      60–69 7,842 (10.6) 4,162 (9.4) 3,680 (12.4)
      ≥70 3,064 (4.1) 1,555 (3.5) 1,509 (5.1)
      Smoking status Never 37,981 (54.8) 11,577 (27.7) 26,404 (95.8) <0.001
      Former 9,742 (14.0) 9,375 (22.4) 367 (1.3)
      Current 21,642 (31.2) 20,857 (49.9) 785 (2.9)
      Alcohol intake None 33,595 (56.6) 14,496 (41.3) 19,099 (78.7) <0.001
      ≤2 times/week 4,419 (7.4) 2,494 (7.1) 1,925 (7.9)
      ≥3 times/week 21,346 (36.0) 18,092 (51.6) 3,254 (13.4)
      Physical activity None 28,314 (38.3) 15,619 (35.3) 12,695 (42.7) <0.001
      ≤2 times/week 15,454 (20.9) 9,737 (22.0) 5,717 (19.2)
      ≥3 times/week 30,209 (40.8) 18,864 (42.7) 11,345 (38.1)
      Hypertension No 65,814 (89.0) 39,352 (89.0) 26,462 (88.9) 0.655
      Yes 8,138 (11.0) 4,845 (11.0) 3,293 (11.1)
      Diabetes No 70,715 (95.6) 42,155 (95.4) 28,560 (96.0) <0.001
      Yes 3,237 (4.4) 2,042 (4.6) 1,195 (4.0)
      Dyslipidemia No 71,630 (96.8) 43,077 (97.4) 28,553 (95.9) <0.001
      Yes 2,350 (3.2) 1,145 (2.6) 1,205 (4.1)
      Table 1. Annual counts of duplicate allowed examination instances by type, 2012–2023

      Values are presented as number (%).

      Table 2. Annual characteristics of examinees by age and sex

      Values are presented as number (%).

      Table 3. Longitudinal follow-up of the OEC-YK cohort, 2012–2023

      Values are presented as number (%).

      OEC-YK: Occupational and Environmental Health Screening Cohort of Yangsan Korea.

      Table 4. Baseline characteristics of participants undergoing general or chronic disease health screening, by sex

      Values are presented as number (%).


      Ann Occup Environ Med : Annals of Occupational and Environmental Medicine
      Close layer
      TOP