Skip Navigation
Skip to contents

Ann Occup Environ Med : Annals of Occupational and Environmental Medicine

OPEN ACCESS
SEARCH
Search

Articles

Page Path
HOME > Ann Occup Environ Med > Volume 38; 2026 > Article
Original Article Work-life balance and effort-reward imbalance, and their interaction, associated with presenteeism among Korean wage workers: Based on 6th Korean working conditions survey
Sang-Hyeon Kimorcid, Eun-Chul Jangorcid, Soon-Chan Kwonorcid, In-ho Leeorcid, Jisuk Yunorcid, Ui Chan Jungorcid, Young-Sun Min,*orcid
Annals of Occupational and Environmental Medicine 2026;38:e1.
DOI: https://doi.org/10.35371/aoem.2026.38.e1
Published online: January 8, 2026

Department of Occupational and Environmental Medicine, Soonchunhyang University Cheonan Hospital, Cheonan, KoreaJFIFddDuckydqhttp://ns.adobe.com/xap/1.0/ Adobed     ! 1AQa"q 2#w8B36v7XRr$9bCt%u&Ws'(xy4T5fH  !1AQaq"2B Rbr#u67Ѳ3sTt5v8Sc$4ĂCÔ%UӅFV ?_Aנj- H>>,m*>fzp"TrKkr^r.|_&]|*vPuܶvoQ1mwVJUhu-I"=LniAƕ8"۲ k*ҿ[yu:.vUQ+)%F DHyVBk>Hy8jݹ q~9D4KRmzQ)^ʔ.J%k_tVi5NTjg!'ky|5asOȻ)R۸ߩFMԿ3L4j6dڜ#NIwUF]JqB/(FafJRzq3\G՛ ?~\ 6)6W4m[O^L0E&rRMض*C .]Unl-1 1r#Rj/&QɈ׉˩s6Rj=5Tg.y.·Pӡ:JJS:C8-2u]d&vUz;7p9 5VnL֢"y)">iי(IDDd| Yj0; LRfS:ktYK%*N2^m|&dğth":ey)uPQZW)gcC3Pv&MMWd&Ŵ۲mvTRoժM03*F3Yd6\8,\hݻ kߔi<k NTwSԪmljj[>->ptU%'LR>&EBH$MQAUx[$Z6vi&_a.KIQ{hyƒ j"JOC9eFҝfj;˚Ω<[3_m% lQ@4g=5$(J]Yc-OMq<Ǎ wSzڗ)k$7VIP붾ͯnV+卵*t]iЎD31~SA1éC2u)ʼnQn-Uoi3:grI8ؓWm*G zܕ)ZקJ}Y YlGeJ6cB2I NS3Q>k=KTBT]W6+SOXQgGR? telˊ%-Re\hѯ2TF"C/OJΩ6r[N.0{SpljjX1“jOsӥ;ҭhe}xu`Ք&.)yO̒ Fߑ.$Qw;9Iw2o+RVJMSOj[SoҌZ%;`d$blQ{Ro{Imڌ>3egf\O֝Uzx"䢸g+mv%Gʆ:|V[N'&ס-ޝ'kfE|K,G&˳98Juin/\\Qݿ̋v~Ǩ!rtWU d|E߫R4d}.qPw*Ӭv5YEcn~f5c%MTMkb-F>5JT,})QHg%{("ӔȸWMsYyWNRrkkJr0XドnͫT}r-jj,Ŕʍ\Q2Ri>v$5!]"JB2WɅ)]VԜUc8i|.jeRO6^V.¸ Q&#|ܶ-*uOG%JAtRZRr]FFG\۩w+?'zչSѧt jz>KW&ot{7P&2D;&\\>Q2JzܗAKSfeNn[jRrԕf6,q,F1tRfԗ>vֶևj-&R'Zi2=xv~Elbsvm8=ӛ"ū񕜈BȩlWau[]ٷBߨF~J!|Ipr3R̴#Yp)={7:G{+:\W}n|Q#%)7^-h"Ƒq:M*%J&$T軨I333׎g_- ucBwwjp[6i25$̏bU’ٱRv?G\~#Iͪb7<<}Ezt" q_Inw,7-d,G÷%T* Wg1"䥱kq/A.,_KhqŒxwvo u2ۥۧ.bQ}XκA$֣ +K״ZUNmڸII{.v{5z5ѮRme[moyƾd~cRݾK'j.\i&/S6f|b=5: p!6i_ 4j6=.si˧eƾtS^c.Y^RJVS-Vi3,esi08?H$GvZgg?gi䤟2adw릿:"۪lkSN>q-4kI܋ێe̊qۅgDoѨ9; #T.Q;7#~_Ufstb_'w~Xw1Xk,vcOt._}v}8"(4Z\ۘgk?J?bm_c!g{HZV]Fkk%~gEt)b秴vΰB|꽸}mp~E6ݹv;7P٤v+ri*3Ԣ|'O14_~7nP{7ZU\Vű[ +7󖱅o#:ǥŬ\|3r%TJX]V7ez¨Y]lc|O3V! R zbJ'PnGqVJ"19WVeOF埜EaEJωqCN5Z g-9[S<$sUK5b|7sn\7x qmv##FF\ w[=-43$^ooVSiXօv7iB۴yg>]Vf"r$J3""32!Zh[K%7GvNLs+4nB/B{vlsobJaҺJR:0g%&zR\ S3T[&ִor*ⷳc3ʊO[iozW٨%$gn:ܶWwFBԹjHP&z u&F2\f;ipW73 [; '_̽b;vib!oec dC-tS__$Xs]l9&z$2/N>%'[}b{h/{`{Ji׉׏ YJB/X%}.|+{(S:qz]4_Kѵo`^tY_4S#* ^zvݾMr+TrkQ g.8Ͽ^i>ӈǙvix>$o( ^qt*&t1oJVu-ql5U6jCЉmĻ*"?JT=K'O/|=Vo}l0b}}f?X[?/\JSBe,kP8ETJ==?.p5ފgbU9}ǶdNKk—_$8̸͓ۍ8Di\BԿ-1v{FF]|.^ۅ{vl12׏z7-R7wE?\nh\jN/Kձr_oBw"N QMBZqe-m:ӨSn6j4%!hQ;sv'm4kcM=!8\m[M4{SMliۇ%eֽR&N:{2A8)THLK3Zj[jPBx#BگMf:G1\`edcʮ?|w(-̮vXt,bW2;.ιNHRR#YwTM"<;mk\.foIDjmlJ;vxy7o7i\,KQŊ9d^Mmgc L*.T6tLeIuOH3SJQ3=F/ʿ<9\JM6mN6=<{xkP!F1QR[I$6ُimXu2An2yԒMU q f[IB-'䤯jYm52&JG\zд\~vdg QtHGXw&1Lw+nDEdC1w|YJmvP)HZ>i0BPβә?R:QO["]I_Jʏۍ>QKyu^bycBq4lXF~l [\*N>-J6,Gq(Zr5h]CwYӤU~ʶߑ u*SIv%ZfJ7)! FS*s_\|IŸZ)J ]ܜi4"z[+Z,MOZ))}|Ʀ(RUNIII.S'ˍO~˨rn}M)xxӕ0 eyҵ7YMAB]ӣU:/ѭ*6bcwP͵ "+qēVjŹO|GtY4V j[mLV M -m>",B$ GD1~j6O4|LxnNmqATNR3ε|DŽa[fmn-ڭ+FiK7Pcm;r5 l8r{#-]'nrFh2ruycb;pW=njRqRJ(d mnpckNnʹ+6]tz~E=ʕ l ZZ5jSi3#47.Lcfe`9؏v囜.F\-UZ:*0_<Νu9Lӵm&)_3\^ҹ3"1n1v_|uRʞͫr'iȧN_kH׺8xXrj=\МH)V\ˬ.Xʸ oVRC}ySU9/OBY먌5 ٿwޞ)rw8Ӫi5*5ZΗcGƱ !ZۄlmpjJ -l <R̵/JAպZuq\IdUS 48wXJJtcg4cI~aqߓwŷrm-v)G7yS^7H^-\mŌAq|"m9IBnF㏉9[N+mmy/!KKۉ%n +BdddfFF6FQRN-U5;Sv'm4kcM=Mn)\qιqUd9F%",6MGdT%-+~ f%+y֛^3SrF>6lc(֪vۊN;g._0Sѧ]ETWرkQKzGe9ʨsKA"yC y2\[5 rԭ7Gk5Mzw_4sM3hxЊ'oÍ5jsub )ͪ~tR2H]R͍>̋m6=%(˿(Wrr-܅y5(ܔJ޺YunW̹븹NsqK ]/QR#"ZMDfD|43Qw|._ԡSqTZBg??O Ϥ)/E_U|i}2 9Z?¹0:x'3,whǣ?C y-A~=daJј&M?D1_PS+Oi&;a @;Dž7[ zZC"bv:jjMQk$M RԸ3uA\=wI.AwC"^.{?-\NSiˏ"b}T/}q/ o.1M}R%:-ZniʒL$SgrBW*,Mw'N\ɇ{s\j]VryG'8f`}'N<*/`U숻z CwHq18J+vԕKss4R53/&XTt1bZƟo\=%nO)h$rBi-nKĪ^ ջڜlwkYm[̑+/QrZo%TQ;TLs($2C:s.%+eoNttq۰kK7O0m_t_pZ1SsSM7"mevFZ[w -FJ*T*jФQRg BSu|]g:ɵzjqwmltL.e3sRMچkSmjkmWœިm++¦'tILk*բQ D,PB\lI[9{%Gb R6öۍmX-MaʉA931cs..G4CujQտ[9 }G-xwl)IQz j Ó"rqe&=]꾧֎c)<kӳ+0JrRR3'TnXi^xMF Bު*tIL.[h"2"nKzZe'ZV/RrNYz]8죝n]Ķܩ>^Ժ]u-7^\mZjܣ9+Rmn ߑv?oꋘ?&ƪy^N4o=3-ؔ̿*`}V݁ ƒPu8%$ ݗ]wt;\y\>='OjPIp/nJU8{϶FNMsf"ίNqƹ(+ ݮF2Km |jܴZs%zf*eȫ?]4)I۵nR&FX + [jDh(#哑9q9Eծj8noǕZf\J-l&Z˫}`ӎhyrΉn\űn]9pʌӣ"׮Wt?N4_I_~54#/my1Xr*척aS#DT >q ssΛW;3oUaJSRMDgQnt:Ql,/ ܷfRqiM Ȼ>Cob;A>ڦWقM9X~/!'MW.}Vrߔꔵ!5|iB(0-zF=}okڢE$^wW~nokY߮\6՜̌{i-AF*9)\t9IV6۸5ZUF6R$ŨQIq砳YUZ]eyv >hI櫥N )&l JulwE1GDOuFN2| }馥uC1rޫV+^gdb&W[4<^e4YW,d|htͮsUM)۸8:{3d{AѢ)~ \#J=NdƮꮓ90 |1K$v*?мS ]i$J,C,SG?/_՜pMSƯM|mG1V1$~K>CSvkuj=&) -,yLjuFHK{c駗.SOua;BrSqj-ۍZ#'Jys7[g2z/.u4+XV2VQ.ޕ)$"(%)#Z7suZ%j }BǬݕe)Jvz8zJf:hIN|svO1O#IEcۍjݽ:SdὮvu^@:o^5cs>i/VqmVm]ؔܢn6'vޑ̗J4Wn@OlKbX ;n:hgJ9ŻyǑz8f܌q&Y fN0N;[69 rbׅC2/#kE l&2~èMR.*%g=Ft.%؝e8<.e=Uv{~㻏"EˑnvDѭ͜Lu3u0:U֝$[M5<:oi+V4V9 6nXvx&_ q Qqw3W:uϔ2yb/(ɳ|5zQiJ#r|Hw#.W?4aDŲ\ugWG;Cw鐢K|xg)##=O.dF˟jMUvWĻsr.z]kPc9"]R)mkfOd*uYf١RsB Aîh=k]ʳUrrZsq`d#r$/Ը3o^&lRWȍyuW̦Y4QDUMJ65ƒ[+ygk XK_±k#y:8(TJOSQhJt2.DR}"5[) r)6V6u5k:eXZmv𭤔!푊Q[qQ}ҹLE- 8qIZG|UM4j}Mܕ[Vwm{} Naqµ"ԈM zOpKѰ?IAD3Ir0'/q1itoB5{%wkOBn-ۜduqIzYK60{+DʕܞqIt";r1mG/\/ym[6JƫR \L=S=OT@Ix[TMm{>ݾտ֒ݸӉLYIx>+"JVNzx||5rI?C{oz8۹e\R-^\A2F R+N9 vlT]"ۭ d)t֞i #E2jB@׵=#/N+!ĕhx}I!cM`ąZ*ŻɄҒ߮Y.Z}='/oۙ3IpW̮hT7cTSuz9>B}΄&h!>lӵn~j˅IvU.'v'CSZw8QK3G> ,J59ٷ+HSg䧎hJdzvwv-cvxS5[̊n~ؿ%ַX?O0\6ne 6kn9.ϯ} *h 8_QhLݣ7q +=XBҲ5?[[)+F`=4 }B,sNg==u*Nj9k_GJ)+R~GSPBȒZ:(K]heL=vKPӢwq(NrG^ثϣ?#tC?.ͼ[ۅo؞y#%ǛjVyLSw%T*s92JTM%"YkQО.q)gCͲn8cgi6j1MѾ[{9h^vƘǚםidfi.^RHmg&rׇz:}݃}xT$ضk'5s-狶,\vpbPD،=Okf.c#cdz2FK5T!&)|ntD<+OŹU i-G[EE*FDfeaf2QƤM\UG_{ǹm%\yrGy:.\4wjPGUJޕUV7Do\7Vy_13w;[?c]H\$IJ,*L]3b%L{y.JRKG2sq,B6T}(#nW|km+q5] r㪍bJ@y{byz,b踊3ϻJ,'^xd،)JVw#.Vټc''ÝպWtbRؒJz۠8!o9IۄS95E9ؔ-e9JR{dmnッ<[~n${~Њ$W?&ՐY_? #a.ߑv?oꋘ?&ơ|y^N4o=3t=~7!/M3>n8W홎2M`Qx+ z qy8%]7_~540ۦ彷]Wq CѡwkďyF5Dum_}~P(5.(X,K9vᯐ?leB9;Jhm#3{CxGE-S{;@Fz˙]=O'!ɿ]' r`:7'2bЖ>Iy,/eTy/V<.H?UYY{\^#ѣr9^7?xoRȆ7EoS_&??zϾM?(~Q-K&>"~aߨ t7Emsϛ+?;fCr)fY+>z$tIkjn_>vnrֳki-˹l= t;'EyC¥|/BLwBJdgjۛ$s S1|ɍV%JI6KvəhzIlBYɒ|0"Sy0F>eo5W)O+X˻u';v)2vVq۳kۮws?UʑBǴYO漪e2MIjPAک\b1)DDؚKm6ZWΨgȕ۶yjڳ 2ضN[C[|r@9Jfo<_eI7q.|cÊV߷:i.:$ȋ)1%%)ADZCEBxJ0MJۥy(bNsKM9k43IwNt.\%N簤I'.j|ƃ2$grBEٌ\}9:v*!n7M(ɽ]7c@XxƱԨ37īf62cTTfFK]9wntQHͮvٱI/f|j=7}\_V5U^+:uljSȃY(XI.ȱmo1甅jڎIZ2>#\*:gY|4k\8ZwSqtyA!+];бޞKծË¥e)#5ap.QK^8VdU{*ѽL\=qmjnB5>{ Ӟ`v±5 ^k&O~Oshɷ,;6nOW>u6{RqS`)S%jp\ipdEBLfTWy$GIYw~䲭J.1vSY5z.V>^+Ǎvc.I[R{QsNR3ӎfhd>y?UJ*}~[e\i5U^͛E]G_FS(Iɿ]i8:4zj~շsW,ˆsy:%O}iur]iF5~3M:Ӟ#N06)4ߧgdawIotiz:1r5YDZLHBSi;NQc44la=Y kQIT*ըl:tq2(է9VO4뒳܂~2rq'nrVZŦ[t7\oլfb/mlpc.I8콚q^1iE~䰳mi[dۧw֤ICfdFeCsg:i| 6擣׋* 96lust^{%99UNRvaMܽo ammi$em4D6DD\nA%$$#}۷/ݕr99JMն[oT޲E"KTaP+HGkŴj5TM5xƱOS-k`ۛkٝWz;{kS}F;~q|~^_|euwnE'pSupUP)V]vE+t =ZRaVdG6= *.ϼnj9:UɷbېmF_tޫgHjVS'śǕًdkkѻ_]Kv?nT>)^e=Ar1'3ԔILyD?:-^in):{7.؂\.:V }#뺾.3r̸*xbFM aȵz 6SQ:ײj[ 8nn iFMw rR"5M5I旘35f^j='j:nNW.ʭocZvZKV^ɚJ.cM1ZI7E'6rg탸5oZ=[m Z`\hbMUR١Ȗĉ):Jin!_7Dй+f̷eKҷvͨBPR(V`y6tw*MRΝcB.ڭTnc;P$8nFvm4(D(R#R-L -2:FP lxZKQc6I("Km%$E, 78uXIFA$RQI$JbInG]c[ֹ:ZM+n^')JmJMJRu{e)7jQDw~%yQl}BZujSSf۩QZ+Dzhd5o%BIc'GZ?}΍:>Ɵivז-%݌J5MqGWTVʦh݇ܟ~Օ_6 n'{3~mϬj'J11OȻn߃r Qr\3y٘+WӍ'WxEs^O3 o~[|7>]]H9݇ZomT@]?5B:Z߂'`V_+/MSKX߆ޠk3?o7y:4R/7þ] iG߬aBRU&?r&/} cQߥGj2?C5Yśe7hU=?+ x龳f-܈czW^7p%-(\D4h{UK&ӡn^m]Fݢ:`δvj俜F+) y[{{ 7 tu>gvrěOj'5 iRg[ͶFjGe n~qT$ci ۚ0oԹc*jL[sVWqj\ݻ&6"WoK:cnWmrv)o>66(F>=W^bf#c zzʞtپy%mՉPël e}J.\Zk4ttt>oEM=q)hJjI=ͥ(%]脼_88ф;͛gWG;Cw~˘$4=uWdĜTثNDkiQL9U*O"4XP`02,Ge-k5$h>ܼ]3vr6!9RQPIVSnM(ۓ{>;/Qͱv{3&-[rc)ܚI$n{Sv3[j00)-D3z}MRzVQпj,T[uVs0\}Sid;r(ݝJ>æʺL&c[jPK0~d(FKÝW\m]GTcF|Iׁ)I3~#oX%vҦEݑؼ5Żv2qAZTE^..M{ʐfȏ2##.R}*KʛZz^ӞN*lPťLf\G6[WVQquV]XAi)5J!,$iJ6o$tPZc;Kjx_n3`qIelV~vLy{fn匋Ѿn%;zV.n'-ұdd2߽1bZksPe3TI9)$ԩIN9Vơ\=2885N\ p)/a柛w9g_lױo8ݷ iixJV& ғRi{N^_oAŮE6Y7I$Nk$|Q)-*4Z)^¸%4Qm [I%.c-OV+C֧R#%ѨCe3i;w$G+_dy| Fzj$DI(=OA gj%v/]8qԯNIS*֩',Q%\44ZZ%D|Ǧʴ6&vֵI$%8(ԬƾS&#Z. }6z?b/|Jl{ץv&mpx4Z$”ڝ4-H%dGKfM:sKSRWeJAn]>s6应-W9'H]'uȫYvgK^\czp|My\鏩w/ËQ.)]\QiS`8uL뚛̸=J"ܻi\å'-)54Ue]:K\퓡vK xwBqrH\*֕TnzC.mT=t-H]SČ~Nu╏NÅ3f|͡G~B+Xm[Q7U{9"~jgK Zoʰ7"qJ,ekSeNGgϳ] ^.6:s}_,%eRg<5⿨z{ZPun#jRІ.6g T.!]xa c#jN$Zpl̋H WZu8WmMRýsĮ?Mco~sx TU҆Q :KDG4n42.<3/'^?6/ܠڒ^yrrÿr2\D}}B]^E~^T cɛ7϶Y[<֞[7d}2%QPqOLEQR\CIsj1?\}%tJ0e~ *sk"*)&ۓEi#{1J8Hrt|'ܝRr8)=ƔN'RVz:cf]F7bZyZUȘ4x8,#JG̒?.W9XnO]KO]%]ƻ O5Γ/3qÓj؍/r̺rƵ 5\&m6h.xoeX[=<3%< lZ"2h\Z[&jW3ejm?k&[]ųj+{N{66leu_+lj]q* 7g*knأYv= q ەdxЬZ|%GUrQ3jLŒqET]1% qkXYūYc[7Ś]QY\jko\</Lc7+'hMSUc6qXyؙ~6#ѯv.0$BQi5YyIhɍiy=KD!n3Vm[V%W-B%swa97ajۗ m+9~]fKq|Ddaˑ0A]_v޺mM5* F-BYHJ5}q>ʉ.6hyDmpD׬'-_v5;5[8K[viJ.3dR:oYHHh9I7:۽fi+wm^ [)odPѱ52CZUJicSw\&_s0uBȍh32džzQflcd^m|7GѹE!fO5]]H9݇ZomT@]?5B:Z߂'`V_+/MSKX߆ޠk3?o7y:4R/7þ] iG߬aBRU&?r&/} cQߥGj2?C5Yśe7hU=?+ x龳f-܈czW^7p%5|Y:SJE\U-(a_cƣUǽXXKiȞNlmۊڭڄR!**ܤMeȽ$|X5(Ź\rJ~ܮ]>'HB0cp XFr_c?f?7<ukSgov¥iG>>䙗i.+t+bOjIܶ . i^:nm}s}(3>NZ$2Qg([".>i.ƾ)B̋M8+"- >eE6DݥJnJˣt׻ 5.˅nJGwZD~!i۶a,Db3ZQ3O#KO5/֍ozuK'GbRi᝘NV_ҝcvם ZoX}F6z 7e5_e:ۓj=AB+iܔERadMBq*ԯ DwI/Gy*mĥiRKg6skY/#SN4e$-yXM YL?^ĸNNӪ{$r1JJRSLO]Aqm>V/s[~i/j+m>z}eI"Qvp]{ZԼ:{vPAG2=T͡@ڐ#u"E*>C;o$~C#_d/HBq^YRٽzIKbOm\~żjFFGdiQ(*/i*#.FF]©m=BmpQQQSP&Ҫ!T&^>:y)$ˑÐFčI Bӡ-t!bM WҦŶ'UZ=}zvn~oT/\ǒ'nr8 AJIӆz<^uߖ4eFC1i+v!3qNyߕni?4JZlmYFXFۼO0B\m[ tʄU3s"Sr(NJ;SKW72L4̏BVdf^Ҹj\]ȱ۪(ӷm?J-KEmWڽ^4<8qu%9pŹW~877ܾeVгS(յe^C]yX͹! םm4FGȋ\y'Z FX7e)|Gjt߹#gb\ŧq_([R8[qU$Z (ʻezV2V!iQ,i$JE˂٩ a(GK'O{vnBvryRd-RK4=qxZJMl_CuuIz @Rt㮽޳!|68\-l[џ84-2Pu" RJ_^OL>G1~XnBŬw6J0*Uvlږ1N G1q9IUm*'oWu][&UyYZbBZRZNfEJf"+2nF~Eû7n1xv.RUM$6 lAxSQJ&n5ܞwlEói"#>4׿Q.nEq7Oko[1wg8ZQwZYiqtm&~">Bo?w͡ni2峋NCEy Ҕ+%ZJ ʩq*fpˤl,~^Mχk1+:ݕ z&Y`KLӪУDr3[*Z :(SL&ݻ۬Vqsyԭs x|iI߽zZrg.:mp%6ԜvgmpIUt;QbS.Է) ǨKSV,*lڌ|5Jt3#NP.=+OZ~/G سIgbꥹJnl_DUM\iM!֔wVZuԺ,yV.Q>f v:݇WiaŸN5Ҕ[M7SsrvǣrMW= \8ZW-jsnڕ.ZnF2qt ً[ٻޘY۷Zm"Jxr&NAfA-݌to9s359݆mZ+N1-qS$D=17 x׵+%_ ve4ir6Z$FDڗnFtOr'7'{9C˨ꤡaYoace{Refnft RR"4%ʌm:Sj3)OdInTO>X'vxV#jܮw9Fog;5.~Y5\~18YQܹvj4+~t7S ﬕs %^۵ڴDZV69R^Y+rj$ԇoJKR5wB9C>Y:l+EǎS{ʲ{T6Wi* ^^9k/y/Cs\g*qڵgn4T8mERr|Ti+iPe;;.i\EBEJ 丬i9ɧM-ԼsGDrZ>r#R>~X9y4b棇9JwV۔%m(b[Tjvl}۩~nDԺ{Zo-YuK1vx.nWuO+jN [ٮ0%"΢CdTJK-RަH"$I(*ve &҉FzB,_Vpqp9m8werv')E;o&QE׵^d9˦j\_,ڵugZȻ̧8k+jK{wmr@3ӭ2 wFkzFVqs1؛.v'I%$[iT]D5Dl2 nk7qUxԫLS+sا3/ΖeZYK<["%-g/kRs:f3;*E ت wJ%)5&+&rw*霣i|sMҴ|;R+fm䡩.!**dӶ-6s6,]zAXMWjmnz%SJߴm2UXw7MQ%<!tKys#P,W>s;3IYwx<+i_\\\U6 u7P|xbn_k&ӓVOe䦒 VUr,-㘘"-LZeOSҠթrEvq8Kf%5%&K"#%vD/.ZYYŏ+p$nZkvއuW9㓱Z G wYIFyf)?ƎUm5ԉ/'k84{KO:rQI}XRuԪ|*lu)3qZ[mSm5R3".Xcَ5c®ࢫI*۳~wRϿQWޝ(EJrri&ۥ^ʶ齲Im|[yb;mnm֩uiܘq>E+Ikx߄3r33-5𹻖09ϖ9[Tz~mr5NsWl$oPusޛ^{Z;);sڹf\3oٹZmԉ/'k84{NO:rQIBø8Bݱ3n֤DiK4u& ofSȒܩx<˘|N0Fչ]qsp"}! QWw@t4ӭ+cO5%]'*{eM߲DRO1y*q8w++e!c߶ܪlZWّM欼 CQ̼빶lX{vib/V/ ai;x6~]+z]MWB>re-:lgk}պ!#9?%܋V-c[z!W?c7YNm/jRr[HOzԻefճ0q15Zp#rkQQ0tU-AmڵP/cȕ?0cZYj;:0ZM=D6g ?'UN+ձ[K ܖB2'xq9{|۫N0ku 7xaj;n\ 2[VznMlWiKbSk))f..)Km)&bGZ=>OR܍W:j'rM'wYz&/鶧{Sʵb"vջq[I-ՌZH._x*BagC'T(Q:$ͳQcMCKy?3g'ߝqnT);qs #ؤZ}OOI:cfnc8W~qy.;^pVl]Hԓ>^H^@7-AA܃nmL(uWܻS߿ Td95Bdh4t6*dDh!EhI[iŨ\L.&Nc ܮf^;$R)\rip9I|ٺ?#R.ZDZ;/]nݻqs\QE9M&Bd ]N mN*D>tgbK>+ˏ.!23]BȔR1ɝ^j'k2ƮqBQq[$di]icV/e`޵B.FIIJqbi>Ӥ|p; 6${)RU>_e}^dzdfzi %ekRVUS?6'hׂ)5.\+qUgzE2C˷ecŏ^֔ibk shesFWJ#~> Wk~ݨ}ڶ>ơǚ)׽ZƉo~B-ڼrvoE:Ʃ3ۣK7+Y`WirS):{>ڛ}:wԨ(J_";6R%[u&ƫdZ_\'np| RJwNeTW,=rrbnkڄ[M3ܴz)3- R.?:okۼ0TU'w{6&w7j1z3ON'fGoO?)S_bQ_¿R(^ԴԴG.EtMڇ&RUiW uQjU> Kiu1d<ѥIQ'RQ1:O/lŗᏩiʂv&Jc{D5 Tt)1.n[n۶X}RjqnOʽ(~[Ns{ސ⛌uO,kgo֢dRNQȄ .'6W!׌P朼tdZjFGE"]K@'i۪N;sI[{SOzk>`rRR+!σj8&TjlvA̷Q?HyjyLHNտJMjܶT۽lG?SnKN%<‘ nq[N0Sq[Ta(&t(|HGO~gvkݻTR4&Z$#ViOY1r$6YF?e4U/Mvxų:zbU^gQQ+NW_'4jfz^c'#`rvrڡ(IJ/J ݦ6 ]-CW |_{v*_q3^DZ}Ic6Uڌ8p7{crZq5ki`)mU6|-Z5^iEz3P=:Cu7DF'k%}<C-޹ֲ̱#\,(f88%X-N(ck0VLR~} G"-8ӏ/ϰKq?(#nrVTmZ;zióM4 m |UT'C^_1X.gXM{%ʤd 4\ovN":"y-,T)fLQgۢr=/CƹǨJVr[a+!rT|%Y\ٱzsS>jͱ.oOc6f$q% ǒGo;n[];ߎjrk{~\VۓNIGn:iqxo |~t5)Rxעri{Vi&NUOl_ѮMfsޕkЄay.0P{7N((BaIP$ K"U6Gl ݙqJRu+qN$ m#*p<|{:>-Ev=86N*MM긭U*uѾ?/^o7;'u,h4݌xښRM:5.(/ \իU.{F^rmF-Jɷ.>Q"[4xT^OZ~mK}T0ݛ^SAo9u?lX(' qj%=X}"^e4wˠ|rܫ 6I\Ķ;Ӻw!'ڍWg{ i U_9Avhۣƾ+:vs/MK[ɭīe{`Zgb}r[i'GE2J7Nez579wRq+Un ]J.cJ4M:h箽Wxxm^ pc\wcN%'My $$| :$Fqɏ¾^қP9J6Wxvu}ݵP>Z'FFdg"-; [¢cmWkÎT8nG%ݣ7*\խCLRYZͤiD&J#'ehbSyXK|y*ӞpS̍R`[pTr/Eg)K+92{_ n3zwz'oŸۤ+sOj J:`T>Cf*lwd\fYOP"R E֢̔L4ɥ :;.b(B02rJ蠟9>V'9M%)IqnhP<%,r'P/vNSwr#w"ݨaqc(|{kd=^0jTMR2ULNz|.<|^PfY22##!,K~E BEJۜ&jRNsHަޛg\r,v؜.jK3)[EJ2ii{KEiHP^&]Gn8x=K}Wx/KI9-ϵwQ%spܾ[^R}S3$qvq8M[ ozKxcqmJ/ӿ{_}7&ݨ\f6ZSyQz& 7ۉ[8~UNn|nkiTB+4RI8'Nc%tn{!]Ȋo.nEmʱn𵵥J A+wy#+ikǒڂ;՛s85'KmE:Ђu""Iģ5p=БbTY-ͽڔ詻ngL2Q}$de# fs^o{DUUsfwӶ;s1T,ǤtޒQ\෼J=.tKU,7čJ5 N$y3kdSMQU~mO[03 $zAڟsF5^뜞"Կ QHmrR"ӳηer+ҔZ]hE-6Jmt'ޒ=O[sQj)6K}?e4v_KfZheޓ=BV[bY}lݒTTЬ{ȫvO_qpRApVŗ 6ju=*BR)g "O1yhb=tqJ gtm\b3RY+JQ^Ō֍\յ\>+uSi{=x ^w;uӘ#ĸzLn*$anok߷CBӷ}5Yqvdž<( "_OWit5:EZj2 B ρ1̊fi[n!HQF82q1牙nqnEpT(2RMoM4ϳOu ':֧_Xjsg jP^(ڙ{2%E͖j^}ZU[Q$'U) <܂%!s"m R'G5M0<+zM6qYm$ڕ$3ǧH]?o2N<8F1̻r_my[Rf59NjpzBnl7*{.QP 3N&^BLJPjAHCK2Q}$#~YMq8 k(MFMU)8MEqTy+Tʞ-ar5yܕOXw!e;q-Jqܶ䓊Y:LC UE{/t>r"lI9)3KJjϤA 6SEE$d߇3KG*En|P\ԭTn6I-ƍKTj<1H_zwGr19wF N8ݝ+a9ɫM6mhePi%mmD! """"""*1bRKrD"vnrM۫mmĽm]ӡiG~e"˩ lhRTMk^MX["Jݱk7_ޕ*DqĒ&flՒ}`W}~SմZ{ĕ~wm*/{{ѹ_-0ط#P]xlڱ~Tn5wi*lڪ (JxioϏbqKYR|!|KN53 OS222$jzww%i}>N)E+rۥ7c$Ofl/LNث\6H9: FY󡈾I)fB֔JI_ ֣^: 9mY{66㒢7Uj]:.-os[R&gMF3˸#໹kmjq^8W"PΦURjʄWa˧T!͋ lW48JB2ko+ /Nw QwQzQ ے%$ޓ7^YL|r7!v%Trܥ &|M8~ybrn[RV gSn{{*#2#ԽᢏӴHak" ӌcwҜw&RJ07ױ>Ļ =^ BɆ)v32.M1=#6%̠tҤnzqMwԣ~s*%-j|_m*.Yx9Sz=)qE4 3pk+,`=kNRڥ=B=nŔNAx)Q$ԩȧ4z3t#Z2lҮYn$S%y- JzGpu|LBV7ZW#;Wwipܷ%(6jFG5#{$D"uۭ~]֫SrD܃fҎӾ+Tu>-ZTQ& N|$沸ii>eRWݳu'[O̻j8JۻEѩ[]vni= ڒ,[_%kC7I3Nv$4ɎЈeٸoUu:[}Do5|zNq=Tre%ɧ6&~DȍF]ƞG5q m]/w/ \ʲr8=oʔe9U(W"|S]uZd#?Se[W"ֿh][-7Nu:T=)R}.;ml*5Dlf $fF(̏T hiIUU4Szɕ t(%_|2 ~6eM;TƗK[f&]LK^CE2[ȏBOd;Mi|cx,^6;sیGpQ\NuJIFTJ~đArh* B"$H쉩eXPRj?sl"ԥ)su]xpԴY%VESH"ЋJǰ K&5^Ukzׄ8kEgS2h&Se\ Yl]WҶp-ZUvi7QS:4byqOo+[̺腋[6-_Fo.6[7$p&^ _GZԸߍkc.qqoI[9m߸YxOZЦ1uoiSH)P9Uʄjcq= S>֙NeR><;+ڌk%_qT].srNO?s[=vH[]RZHRMtᩗVؾ:/~u)ԍdg%=edVrISb{6vSu=(ܥ)mTv/J}̇8 S3ad:^hBSf؉OɔLhI_1d8,L><_A0y3rXq"'(۱;mFNII.v5_(^q~X>y{3צ I*Vܛv/jW' T'NR'j%ꔩ:mJ3SB}΋!-H-RJBТQoedi9tjENenPpke.%4]#{:>mkEɱdYWl\\\'nRM4&U>?Ќˉk÷!𴪛]]5}UqG~ݏI"O~s6(Ļ)qO~h}uԕd}Q~G,oE!&G&/]_H-O=o{k\̭bkv.Ô܈+;arZx)m?M\3lU$mk-CFXjTv6u' g:Vn_*qk:VC A%'4JV%EY)#BғO4<e׿jQQ]yUr4=wm[K1r׵%Iũ-O}|kC;/VcݩWZ)EHdžTru]8hgĵ-;=>U_ InvTm_jBM+QiF"9*{DI/iuo(=TzϖmPQl_v4z>T*ȴ>YF;ε\t]EH4ꌇ[VrLzef 2T^V>g2~kg5~Nק;{~Z~W}&ŒBӿS2$J?~(Yœ"˲ߩ\O]: J׉ښT{mmIѩn3˧)4LdFZ/zUG>U> n 5& ϴ-KJi2o]uKljvK3$bԔҚV旧iY5.ίfi96v7!v))FJM4{jG~Jt/lUE%pTAFe4qQk\ve۽/u/Im+W')v{\-E|Pms7߮DZRr۞/mu*1ՙaB܆ -xg3#6ۥtRogʌU)׎]ZҞNnŞr}F1Nnޞ;cZ{N}ۿMiuxʉ*3qi'9KHQ$WJxXyرŔe~[v5~/jN9Q4o6rJv FrdxM*iRjMzUinHdн7ᾞS=S'7 } ̽zt7K|_g J=Lq+/Bw_\ۧx\HJUPzQ<hqF[V0x==CsU7q|^ {)Iq38$_A(VgcKu06Ƅ"%i~_ˉk QCܣB8Ku/񋇵u([w}$F|8TՠI.E !;RJ^}MɒD_q2];Ɖ{5}*n7nEInO{Mwv}&q+v [V}Ĝ@%>#dXQ$f;iep.GquixVt x6bj͵mlKقQ[T]zs/&yەnM'W}!Fp_d^Tu N{ɻ'l{խ2.sTu{W^H&;1s)Pӛ6>$mě;Łnj= fLT)>׸+qReɴ[UR\L*P/!$Ӊ3Q 'K=m~6XqW3^W+ųO_[F$rR*u"T%@O +%# ]˽!aܽz{ͷvQh쩎]hGތ5ɇ*DzJDRNLi 4:{~2FmXY-zzĽ^f=]uū{/+&c:Ma{ĝDp2m܍kHș/(--m_vݮK(V{R}.k&yƴ7i^4@3f sK3^Ř˸B=]?gt5KbZB<e;kQLpxuWC}n 5ҴepB##~q= `x]KWF {GfŲ}?G.I9pjWkU]>={7q{kO/^I3==f1ɏ%nnʫ/Zu_yXN<57ۍ'vy/"8넭M2eԷ&Y,в33%IkjMr7xf nmQkX4踼>a-GcIeތw&U=-:qnW)z¥j :WqSZvԒ#j"KrIU)%qrmRoDGQ~SYRsu*V)  ,/x)MFD6O#]z 96[Ui(JRfw'y$GeUީkdMF-ݻ98F2d[o{Rn0n-xsV6Dh|Eb2E:KCOӪv4SJCr"J!!m,hRLD| ZYFm/X~ΧfrN&4Ƒ=Z9Mh.Mܵw/BdrܥniŪ8ɧ|y%œ[M=_tj?F!z5\evM:\ ~F-sg钬OWq“iiȍ<Gi%%n2rqͻllƑ)okw7}\Uk-:&fj솘XerV9yZuʼşdFC=rmo%~ZN78X(N)_7.Εn1MpJ}62jjJdI";R5&iLԸc:jmqiQj$ujp\{;v5B񥍪Xn Ą4qOERjzN(Ga٠䌡)p*v(J7#ZۻZ8O W uONb+^Qipv9GvֽƼϯrYƖKGJQDNPhRJjᡧC"21"9ѓS1;R_O7/WGz)8fE%F2ukmvSov/iZ&/]~KmI[:^~ͤ\kMi稜\ywJt3W7 8Ʒ~ݥeFgѼw"8VVSج\뻆}ݭ/J6Q)d|)zU3>k\L=;ow֯gN3pKѫ|wmkZ$z^2R:E)f>ς нd|#׆?\ǔpV{;\$ƵE%-ͪm0S6[n< kE[}mvE4DDZ^$OZ0*$~XUv҅B@^?]so#%ojw;Y#SxxueBگy v^i-)s)zV jC{7Gt.w3v,ygg8s]aE_,*E tY5k٨h=o"m泏:\6w噓aiL׎n^c\75AGkЯ0Lf46َ`egZ˓p/k;̛]kq!ݸzpԭG"}R9Ve>ˏHUjJ-&7nrnwG*Xv\˱/vN}O)ʼn&CV͍f̵]r\PMB-6Du-#RͰtRN^)mT _}nSȕC*_xBuTkJW[`ɩ`ejvsngP ڻ.-WUtܑqԹQj)t;vN&RNũT+8%IXӃ5fK՛-d9 ]CƑm|nZ-6=Hz,*aEm W3VzRšdY~Xf׀Xx"]s;)5u*ُHB BRGS6bݶؿ 9j[1*jױga7oX CUI%0v#~\-O-Ꙛuɷ쏪&5mY٦M`LJ2qK~HZbr =N'YobI. (^ ׾{_ ?OJ`S`3BN[}5w6:ǵ/iSlt=4F*d&T4y/#. ɵim5Uֲf 眕6Y7 fơ=3dϕq뚩$qTM-%r!$@A? ޾V0c~{[{;򥧅a~ڵ»&ڄv1ek=wb MLkNAԬw-x>~/r=e73VeVN)K%Sښe"+3uXuچrn ֺVzscJ峻m}vb㶓n\YbIUBT%*,0nov=;z꣓S/nSXSpl##k9mXGrZv^Gde!ŷRԠzQyjC]`gToPov{j~KRBMY}i[߶9KL2ԉO0K#m>wB[ٍ+n[[b٦DX ݲpo] [\m5qdT()mo4Oy9Ie b][wղmM~vmi۱~t \}$яimRk(L c Cvk7r9_r1 ;zv|F@KyZ[&jEji/"6$69ml#e]9s\{ScL}Ȣؿ0q/nZ*t,CLoD߉Njǚy=Pgmu6^]l-["çUʖMlʍp-"qmU>۷uFOJ%Ǔkx 'g=睋k[3u,{³WɘݪF]ՍeFX"Oy\,cچ=w/gn Ļ]#2? vqy-gXnR.^}ݺFs{ŝG]}e|#0mjx"ƬWكm?rgU^xVB":Dt>@LRbun~ݭ,w+v⪕;\U(RYa61>#Jm˞Μ9g9XKaG='u8gf}'qy#ɉw J]We.ʲ-<+&q%s?2dњztҼn`cΤmmqMdz O[-ߩӲ&;[tmܝVnr">{x<8U+p:Ig]zjGkt,uzf}dؠoJaکqEq -(:d<պ=eKy[˗^%ZXkX[C2߱\ITTLGzANM￵i]K>UsOGDDD.ZF6* ҃V Zhz{'xp^`wo8r0h ZmJ5"jb[l=yUu7-;7IT%:jFjߖm0tzU'K)څNۧYJ)4IQ}^KWm7kSP>q;ނ#)'n7&׊r?óM{IwR\j2Qn[v pe#/tAF\ϵ225q֒om6z})6҅*oqDsMf CNIN=T S2t,_ѧ}kveMF0J\Rnnݙܹy[rUc-j{yGtkQ%s]5qB.Nw.JN1LvR Ui5J ZESQԙr):MJ+g}χ!2;q([jAud][ljVK3$ײSJI=/|&tl'*n۽f.frܥ jQO8>&Z];.|7T/C}$ڋUmP2Reҭ8hFF\L 3~e v\۫]ݝNmrnB%*]Z«hKc=BTLG :V74$=Ǘy+EX'4tn(I:Ѝ;Df8c,k1%dJ6.j6ź{N~l6&*fœI7 WAlGOu-ҢH,,(ǔe뿋쩨kM܍ZſgRvQ' 9)?n|er˭|I|-fGK.rΛp8XV1%K6mvG+tc+qE&ǸC_Nm:l=_/m5^[dߌڇ.c<%:)tQ$Ow~-aY;UJ>=F)2[nk؆?훐M=l6[4(O.]2#-H^n#->&mp5~Fӛ+|| S,xag%qkEUzUgæBhߕP(7]kFnq?֖CpruZ6*rEڊtS|*tI*E}7R<,nUU֫^I7Q*mSly%rdȓd8hE<9oHhMfNSRj[i7D[Rj݊+kდq{"$$H?p\̅S?㭻;t~R߁)^/>Qj`yt[w ԛ;²~+ߔ_ YW~|o]?x^ᯛ `ʼn;g)T@vWn]>&4lp+$D̢1l|ȨF%-}.9[}w~ ԠLM9hСablfe&QoW!s?wjLK?s7yO>(=C~_nyǜu?v3vyo oI@qV-jeES^[9WoSܝh"l2C1a͔CiJ@3:Pճw=/7ovuk+\V;lDgն<[A+rX~d;m!_s8ݖ׷;;.0llUC+?i#_crʙ1~C.\–q ul8Hܶ2m`ܻM3Tov|Bs rɵ"oLS- DКw=Tv@f'6|YlD͓Y%׵-#Ѯo%:&!3o%\J<02;K87>^vgƓ# ;ݝmz^Y6=PS39U%~ &f# }o!muH;ʲŇ˷yvP+&.7e[3'vR4Yj̗IZ`e˽3o[WU{ m[sUbۋZǾۆl6~9'V*.\S2<Sd*zY[aŶ`]C$n.v^Ʌ dng>ەZ,Mmϑ :n6nϦezWqUJ4! ۇ4R! =>>Fn|Q[{pRO17ƕ~._I''00k=b՛o}Osðc2'o\3}ݭQ^2 . R1yKȣtAݿ-uܾw!`?1Whn|gzUo[ECWwjUIן)^h#1ɭ!/Z np;o;ΗŻkXs."6E`Z1 עӐ9Kl8qd q} 2Stt;#j>;խabONŗ=fwP1j)l6J̶|gV2`y/0E˛6+ԫ1? 6}KW c\KoKͨ2ۅFw–s*TԞLיuDx .kCzWXhy۶gLu|%TnupǺl-S* PRaLnT+c+*xl.v!.U=|; !_L̎뱚U=4hm:ٯ"y)$:>%(n}X'p[ȴ ^˒4kƓmzDx \ 'NqamP7nyN݅=j7%McSڵj%STy qXymvCg{w/w=wSW5r̹u erծˊsOm=DhEҚRb#n)QOxtվQwe]I}wCa'"[ۂ-z}2UuKP$㜉ԧ:mc<Ý>RoL?wu|%ҷ&K y_!y9 ??:tq3(UU-lkS'ɸ@jdzQˬR] EVPW1DJq2n:,c|ǻ̑;y{X,ۂ.u.b˕u.tKBjQ"[S園S`ٮdNبeJ&9Ơ ~0a(Vm٘L+Jr*vڑE( x0+tp˕ n';wm-ޜMOxX>{#2%jgb2M[`K*\5@8l'e=0u+w ֘鳾{y܀:R*Ya]"Ӧ%ktynlۣ65,3gU}{GYrb;ge'TKwǘ.,rpܚV]Tr,!dp /ԺU,xՉ>s׽~W5oTh yx?xrrx?)?ilbT׬,z$Ԏ.UH٠\U1pU:]JwSrGZq8àd驐,N67QYBӢD㏙W!Q25ϸo9ms-7-%3CihO.J鯽-;MZM8ku-7k9S$8]q2E(}bۏI[DKOK}3KUB^u %Y,u.-&f#]'܆o$x`Yu,dzwM;#oKxn;\[d7}Rb+*Y䛂ZuBӱl{j0O̓}LhK;[aֶaGL{Cb#S.T[>߃F]NK"u^LUʐ_ykW?!GRj29͖qa'0[npcDvV)qz9R)PۨM^aJx W] r>];eN3vxdmĘ(5W2K1䪖weF{mE/QP6\u54x5[hۮ-Nk”i[lUgL]J}5 S:EhiUrgHl!ŒJ$pe=q^b͵Q' ?6|R\,JA ڵ"TDꈭ:ymg`B5t%M] <N_zv2_Ortٵ/i/ReӮ*7[qүqEG* m"[I:6e^p"I$jԴęh!m)]GZkcjS!{e^z}+Cѥ9;R|/ֱeiUԏCNu2Zhcٗg$ݭwvr P8*7/Lk~I'Km1+MW%Bk|oOm>-#qj*|Dbѱkn|n{v#jĮqNpMIUm(7Liz;{ҜݞڝVƚVϬ+sO!OstGvxӉ']uӎ4g_ 1^-8ۦ k!)Ύ5O;YSB#2Zzχ;<.ֵOtge~.(RC#wFZeGZٸ6FFJ4e2ˇpJT$[wgV)q6muDGJ56q\I!̗ y/I~RtJ9kJ]Iy*'FN0s.[l!fw'y(7$œ WƫgyΙdMEU JQJv̋vmrۖ.jWR_M֨djYgSj0^\y'EoECjm$ IƩK>Z28J2TiJ2N#}.s cArl嫶nB.FIJ.)۔\ZiM>/hLĸ=C1s[?YMqp|94- 鮝𦔽/k^#NT(Y LS$6˩}{;5 )B۷W$qpN)qqoot}ZDVә;7TiK|6f3h$dԄ}fqݡ>Nb򗉉+ͶO]>ߡ_VtYf79ڰիF sq~prս|QM)g%l0ocJȨHz V;Bb/kLAcfPJ,ԭ{ƍgpjNR6VSI*$!yV足jᇑ.](EܣqM\qJ2eZT).<9UB/(B0j)mtKEj#׿fDI-=rZړj|'Nڤ]k*i$5qt"ݙPM6E4ke^Z8ۏhz$Q(R Ay2zfRñnpnkbkI:=j &ΝșW?׵d{+ύM'??XqeeĽ.[o=UxFS=ӷdZwenՄ]_X=ĭVa* pKs0ބۍfJ3 gz̚i|wnxtjc¼5${(1fXQ65ȼb̶Zkn>%FQMJXӡ{TZEVNᖣimT/37cNJUPnP҂ZOE~"-Rc4^b- FEͧtf5[)S!OZIښݲ͑;tvܡ+N)AR=hCNn;wL16-:特7M$=Tҕ-.R[HٷnXk sn[ҞD-0WS9p9:-Ϸ-jѬNu{ҹfv)[Ľvwfg(ٷfe+0mYj8Q1\ݧg]Eǎvڿc!4#j5̋C2"}BRriFp7=ô\TZ:\BLfj#I22װ<;صZl j 6:l"6]۸ K'6RTѯ^ئOԓV\?$x7s#r:Oh{ց=MmuHԷd{pN /܅:UE#Yy+(SgQ(Щ)RHzw>^Ѿݻ>mK&^ '$Jۻ&w%F|xfz%˳ L~3N?Cy9 v w/{ƿ kz3x> sXv}vP"@WyC z`'톽Dw%-tt yVY\wmuPYQA0iG-2JP,6/gˢ]u.-n!Zw.N7Q]Df}Q0({a\@=i_X7gFǘ8^⻲}G MZ1)WEfO12G+=-B@z\`||w6ċj߬m}UwRox֢I &c~XGP6Qndpvܻul'V7^FJt^{b^B(L~sѣ6@߿^xqU!ڙ5|Vpvef-uӥ^3  FSDɯKD%0r}FF穛r7 +o"V8tv̖NQU!5uFd"bCr^bJ=֤fM#ʳԷP0O-9xRBm\=`r-:;~3Tl(nXtXi%2Vٛ#vwqƴ`L@"H‹qW.j,JM5B[)WܺUeZFqc'V˷1W7V̾-MHФwn8N;HPSdݷC7&2j.W\τGŎ'Vb]c.x+Rx1%C2T{myg[qU|+m:M:շ8҉yWd)ՋWS%%:iqlʹmGwݹ WnNŤѩ5(9hTٵDdGUi-)vSs2 2{OnT$Xck n:¶(lASLeȔBjμPpTb2~N2~%^k[ܗ[Jzs0ӓHBKq[}JَA-$dFQgjxxFv4r/x*Rm% `4J(&iv7SkԲmSH1YWmx 8n.k']:Z˭_W >ڃXЩ. jTq%Aā[E}amc]D:rmHRiu:uӚӢ\p(5-q%e)(۬ҖȽIf<߽pr&ݫVfY91q2ĭEQgYbTGQ&,yL+N$[q*RVۉQ=FuTܻ>f>f㋳8N6$܌n)9&»iˤsX,݅܍ȩv+sRTpO}d?Wn/Inpȸ%O]StQO|v5\}7Zwb.AIVK^:wb{[uݯcytO߶S<{8KSRׁH̏N7ۚ[xkwYy_'ZӵF+>쌛ZUĦreE9F[24De{}@:ExWs-\ǻ7K-\JNvEk%:s˙#κ].oͳ;լ7wB6nwu:$L; DkI#Wz.:Xp(˅v$Sq,wn\qIN-e<5Oe+vuYTpcojUI_ާP8 O 7&VL8z$_B-H-[uh]T{|8=qVRN-:Ij:7PUtXϷmy鉿:RIM~33ӸS2#׳GdŲ5+/Bx{(WzȨ5Y㞎#|˖+ ط.|e<o/rߔX>7s}VE.OVti׽ .5nNJO"95{#q}Ay9do]R"M6z\tnNS-D!@3N_jicWsy*5uٮRcWv/.,j}=S)j5C^> Ie =gu9ӛqjtz]۪TMoߧI!Ǧ¶m:,"[L!{qAv-o 3{"KʼnrIkfٶj2ƙ؄S`7` k6jzޞ?e5G&6uʷ2%ԒRKE*G\Npom F/V |C0.q_eenƣ<5Oh'67ɪn[SĽ{ڔjǘzs;~׌(ۂ`ܢ1ƣ` _l9Va6%UQWh~P~\F^ZHR@:ۧCJ{ôGeBh;~ۧnU J\O+n2 RҠ)ng}Kh{5+S×ܛ.1ZjG)iRȤIN 4%{oΜ/eO[Nffd ĹK?nnԼMqX'܌nZvq<ķbFnͪaQ`5 s,M_լ?-@_{w{ӺձJ}GF[%v\5[ŒGkOw/ΜM9rjË%2+rd~+󲕛C9U۳r[aJǭm|˒LAʨSCq[XMۺoubfp:t+ΤĻo ][ zt-*67kvS7D·MMCQXm;)܎n_h%]4ܙnRk!]ڵsDUF"`R, &#R_*[z*ZqFXɻ]7|۵w+'pFDەs=r./ᐚm3Hשy yD"jHCr':sA65نѮ^o1V/ f;nFr3VM)e*- s D'H݅fӧ\*޷[k<7u<-]֍Q8R h|p=WlW3s%Q %3l}@U-K6f-NϿu|ڴmWN׮[׸F*mW\%r! C78:޳vBG7ŵ.JթԚ2x)ST!řn~9 W:Wpܢ件{xf8ٳwKE ҰWxVB\qBZ 2wMb[lGSnyԚ~z9ZmያvoN2Afnݽjf>)j3 !;gOYʹK" Wftڎ+׭b*2ϻK>ۢӱeyԪXISUm[z+ugX%0lϏnvg!;t{BqPj>PyvR7Cj]O%+ݲ :qiMj6W}3vC/R=4Som]ŗ=ю, TF6U_-\6MyskwMr&Q\wjKܩyMϣUj0*}RZܷSdY3>Zjqj6TgzpA/M`/Cmл,޻feE[/+uk^Vs1W$G(JsW2ٰu*߻q*Y޵.Wi:ur5T),=0uRmho.twܖiYwrWHntvEj8qhf`Ͻpf(R&>Ki%I7$QӖm-2 ~yߗQ-앑/ x[k8nw.c㩵k}]FkbJl:{.(˩n0Hqvαp7 귎.Gupx[N`Yq'+ruU7[ү+>!xrȫoSo]OC# d^Q]\>!ƛGw^Mx"-+%vdX-:M2UR%d>%l ioSu6lsj7D P>XxHz Ukà(n^Q V>5cVtWj SEiJdznyej[lE' 3kuٌNn4JW)gB {4 j6&]' m-(ZMEz8cz>WZ6#7+[,MR-Z!4ܓtCyE|umj1ƽvƷV\;%>Q :#Le(iVz5 4ũۤUWxX ^(ҔsլB2w-V ^R+; ˂M\z+Uwr+RWY⺧~ Q*JcYSNSλUd8in=v K낫k\IRרSUaCFmϿ5̗P|u ZTԕ}>oYѲ1sfP+sQkX8Gb~6r,s>^\,mGL+7[n-E\.Fqḕcl*Jmjb5 ,m]c}NXfeVlǸJ5eˡ$4%g~N p4Y*WwW٧<8v#;qԩTut,m"#Y D\5V`\\Lȋ];LȇiS6ϝZ l>LruR\v=ǘϔDg=ԈdFZ+M{=|,[;0>RiSi4,S5}yxw&(E7&fݙ4UՕ! ~'Id)]ǽu2K-fޭ \08Vڅ쓬=Vy^^ IhyKR-B#Ըr=]mܻӾ'*Umkoy rTqT_i,/8Q^<ݤ|4ԻO(܄"'5N~#m.(Ҿ2i6Uev&I*<}҄$eNtÛzyWJubW^iBW.܅Wڮg]irO6Ve90sgv.+sV޿aޔ[p?3q*FutUo*eL\KM'EG*ZcAFfG5J 5jj=MJ3OK:k˝'NMB7m3uFҕ\-Ywg%PRqMIyZGY9|μvn߻5cWݷa^+X֥vnݘ\v7m>Fgzv"-;Ew֝}1|RjN𿊀7g#֟*GQQ|#/bo]p$>_Un9гUbn9׃ErQBU-^vDmVh'<R[fdHT]*~}3j;nvjc7s-rӳ Y8[n[1pJx kX[Jk9Mn!_Nю6x:iZ˦U |߉^Ԛ݃hYxk &U^bwKk.[jE+P(˞=9j@snCv7%c_7=xǁ<l {t'酚+1F‹l׭:ݻILruǶkL-L(K0L1&>wXB(pm;1fpnlp֓%Skidkt(U +xulo'/ڕeN r=^pZZ:Pnj8Hf"48ijY[ N[yZٻ+=  ø:3 ?^ܷ^Sr#YK[UF?CuhC b]GM')mڏsNrܗI]ljq6VB. W,UK"YX5{c >Iqā> T:n!,5l2VzCl|+I[*SrjnS6٨y+x,@>П.g+!rn9>N|W>OZT_ut Y""v7|sfި;Pclm EùN,{'fNT%U&LfH8~1v>Il}统u6P˗c(WV~H^bMU.o*oOF0N:_:6Smr_.b+|ݶYY غF,mwjv>f*>QM뭱Sd:`N{l/⎱;n-z~"Gze퇎J5S KG9!Gn;N1 ݎ h6m|S?ɂ5'WOÞ 7|7^ao @mxGmi^jϽ>01Mf0լD3-2T. VXR"ɥV Kl J O7|u?bvа;6.eߓ|[1bmRr,eRz`z 6܎-ͨku͹Fː dPhYgZUj}nvX;z=gVեTv_J }\1n7w2J?ޘγc\E 1Aޑzq;\r]]\Y&[nsNei\uURje*Qk2CSl*xJz-xٶlm+|UjUؓ`Ladqiĩ!Gd\W~fz;Tn*PdRM&T4`չSWq5k훶(N"Ӎ% V]֦wb.nUO!u*J&Oӕ2e|Z=eV쫚΅g#+/RW:طnbi*Wyo)p{:ETKؚR(RY+r웓r(IF) VmȵNB:h Q1ғ|u8E]{,'$-TR[j49l*3"I鯴zhd>Q+\BkNF=.$ZR4Nwհ(IpNi.(Gi33#33e$FXK*NdWrud[r{xnk$v2ıh+J1TQ[#JQl[tRO]LHKٮ NӍnF񨔤֞Em'MILB"ԋ%dBŋ+p̿_17jzT~4pc Vo\ƹb9Rq-'1j;8ܗ)hE%DZKS<璸Bu*%*Yw5ڻ9ۣ^z4U; Ñk\U(o~G?VUĎ:?P?_F_Kߤ~ᓾI |pr.Ok\SklRhҪz{­P .}SktZ7UQ4ڌIM8̈eaӊJZ%FFZu,KZvln廐SNFIVtuNi?CM5]+Ph,{jN JSR$IS^tSUVrORYu.9WyP6 [Kiu m!X|]Y79ӄ)\ģ)pbڳr%*&ꑶ_-H*dzk)1 V3')UAϹٶWRxe'պn۫h7AR9 EAJeGLms!%D| A 5]/Q3eb̄vnVn%za\m kZnv([emqrIҕij|""><hjJשvvǕ|Pޟs}V~2&Z?+2N&Z4w@)4iSڪ_>/JN9Hiۏuf8'It[ȲR.hZ$ȋ_Y ~U<UUO*6b)Ovzڜj\R̋.$FsQuҊj^נ䈈y<zZIuP[}Qm=C?zN(Exqu/kn S-FzKZzOסӽjJ\)F3b!r5ٝ|;6 o=-3*λ]αb\abqRi-w޵⦪~b8Kpo)Z=>)ғ"5/GTZLE-輵f7ݘ۹~+&+w/7GFI:l33fg.N~۲\2|*cnermnnM+Fq"ѪIz%j =YW8@~gc/~?N'?)«qȸs➟n=k" X“m֮VreMh2[uݖ] *FܖN)MȐ`f0 g,C9̑o;ddudJ=In13:ݒvvdMUEJLp^,6t-@͐9'{7m{-3,>hnF;ѰM)->>+Ěz!R* :`e--m7nB\u{b U>[8֪]6^ߤLʦ\DFNo$$dͶlgno8OrsQ\l̯hRo8tuNo+ CTxu!2[>ctFpeޓƻֶR"3QrQuOѳgwQr;S~)6HhZw/GgVTmUf_yt7%$];zLWF̰xy2Ʉu!MCmš_0[W6jf#a-KLi+3Q7c^qg%s<1aYIQeZf+}>;S6L0]Yu_h9߻<ƅpmiM$AVvŚ,*#t2.8Y)-Zhshü97/#Oro"u^/uFgWɺ,p:6a,^x%$Yve^3PƗMnTP&yS}OJ '덫MH^:rXԴJۋ/rI;S*,+yz1hv)Qw^ڍJ2oL׊q(\fDj:^T%vOadɂnS}ZO)N*λdaȜkG_PIEO}нa(^iQX᯦-7^)%g'SJx(.S9zVɴZ{E ))ۅi/s7 VIV-|sj0*UBTHIqRf>FP$KqN0 R̻8j\GcC}IUz\i 6F)Q{Gҧ3qSzKj-Az VЛS-zy:8*mNk|D鿓ND2u+0Yŝ7kqm·?8Ib]u>˗^_>(]vӋzv+ݩ){vZrJ2RQ몋C$z [,pp,8mڊbR]Il .f~d/ݓs㓓mͶ{mgjQwn=Oic9ܚm4Q/6ݨ[TƧ?nԶoytf{@AzT{e{[O'ZRZt~AGD?s3􌿂ՉIw'|~U\ w~di:Kޱ)U/sU%njѩ&GSP^ǝd)..!^U` 1wX[aԇSxoFV6_扐)T 2Mfd=ۖͭiZ7KK Bi9%7@<3<ճԻU,},a}FRqɛr i@ONJvK KLN M, ʖv0n-]DwlI-X6ܶ$Jʴh5O+mOI+Ra瞠\ MG7BفjYo1#͖0V`Ѱ2M?c8>-Crt*JkIGS:e#hPKx[鱼>{5m;wcն&>j-M֥^َ) 6yȜl_w{-ō̱r> U=]iw3)r*]:K]6BdCTZ|>gf}LW}[$'Y5 &c -j.z6R 67MԷFMnÌwI7w5E}o޽+K ֵy4܌ȥW"COyR[q5Ӱ͙f[v"_#q{MV6܍3"u9BK(41ӯqˇc${ߝCi6I(OmθzҜ5k^:>Jzw.>qV8{vU[ڶEm|DžBz].KHjI]x;Mɗ{m,qZXr忇2u^RO2Z}ZێS[2Jen!*NDcrBUً4<ǼMҲs1Zw57c3&ĖڻzmP*FuJG1-dN:|OU}ҵgi2t~F^^Z.VxjvŧnNNh<:]^~NN+ge^g.SԔGFe߯'[vn'(ScJ]kܗ7eJOlRrfziݮq̋S"\*U<*W]k$FջV}? 7g#֟*GQQ|#/bo]p$>_Un9;l S VvQU%OLU{οmU6bZ1MTx%!֙Q7, J=!3 ;Q,ڌ;6ͱ݅q^&ߔ·n #WbwӖX.HtG)N&d̵zpI,n cu ޖUj+VXUp[w]N o.J6Z8Ts&utxln;~HPHS/xw`G\ʡ¿rj Z^vt"[L:SD\h0sUwR,}[x^X,R2Vn< ]2YDr[SRKs8tXb̷G?Ps Tv 3be,zVz D[/I.KOEQrm'$7|[J>r S`5յwT#\w1FTz\Ԛ &"ׅhSHrD\'r]~/>p;:Piuu:"9ő=tTaS7V2rӷk7mb[^WmPp*[y.Þ6f]cizJCgRR@UVl큝.WJP1N{/\whZ ػϧӱE7|E֫Sί.x-Y&pi%v''-x6r'Ws*6=DwwUu]=C?MK [yrtܒG$!WGqJ*%SAz ED[^)/tė/g=#Omd.|^n/sl׉g DZqemqowݮRzUܜ=ڽ-o/Iۖ;qVʘgPp|mm;6zGl9.8pwWgsJ2qPbe}}UpNjٯ}7TMQKrؽtEx%v w߾8%|j;~|}pK]ơ/ w߾8%|j;~|}pK]ơ/ w&~e_H 8PL7:%ʭ5Kw&U2vwR_+rm'}C7#rWoO&HoG?M$UR7{FU]u ;# !Wk`|W>׹潇9Vn)6)*ҹ{%qV4q>W1vi#T"Qk&GwxcJBJ- Ϸ^ˁxkU}ԣ/3.;]J=<*)cS)ROK9H=,r zX @)cS)Da^ԽQ gxJI=w֣gf*TRj

*Correspondence author: Young-Sun Min Department of Occupational and Environmental Medicine, Soonchunhyang University Cheonan Hospital, 31 Suncheonhyang 6-gil, Dongnam-gu, Cheonan 31151, Korea E-mail: mys0303@gmail.com
• Received: October 27, 2025   • Revised: December 12, 2025   • Accepted: December 15, 2025

© 2026 Korean Society of Occupational & Environmental Medicine

This is an Open Access article distributed under the terms of the Creative Commons Attribution Non-Commercial License (https://creativecommons.org/licenses/by-nc/4.0/) which permits unrestricted non-commercial use, distribution, and reproduction in any medium, provided the original work is properly cited.

  • 1,225 Views
  • 116 Download
next
  • Background
    This study investigated the relationship between work-life balance (WLB), effort-reward imbalance (ERI), and presenteeism among Korean wageworkers through two models used simultaneously.
  • Methods
    Data from the 6th Korean Working Conditions Survey for 28,669 Korean workers, including 13,513 men and 15,156 women, were analyzed. All analyses were performed with pre-designed weight. Multiple logistic regression analysis was used to analyze the association between WLB, ERI, and presenteeism among Korean workers. The participants were classified into the following four groups: group 1, status of both WLB and ERI is “balanced”; group 2, WLB and ERI status are “imbalanced” and “balanced”, respectively; group 3, WLB and ERI status are “balanced” and “imbalanced”, respectively; group 4: status of both WLB and ERI is “imbalanced.”
  • Results
    We found that WLB and ERI were associated with presenteeism in both men and women. Depending on their WLB and ERI status, women generally had a higher tendency of presenteeism than men. Multiple logistic regression shows that, in most models and groups, there is an increased odds ratio (OR) for presenteeism in both men and women compared to the reference value. Moreover, the OR in both men and women gradually increased in groups 2, 3, and 4 compared with group 1. When considering both WLB and ERI status simultaneously, ERI had a greater impact on presenteeism than WLB. Furthermore, it was found that a synergistic effect of presenteeism manifests when both WLB and ERI are in a state of imbalance simultaneously.
  • Conclusions
    Using the two models simultaneously, we found an association between WLB, ERI, and presenteeism according to sex with a synergistic effect among Korean workers. Our research suggests that active interventions targeting WLB and ERI are necessary to reduce presenteeism, which ultimately leads to decreased productivity.
Presenteeism is a phenomenon in which you go to work but do not properly demonstrate your ability due to physical and mental health problems, and productivity decreases.1 The reason why presenteeism is important is that it ultimately reduces productivity.2 The phenomenon of presenteeism is highly prevalent within Korean corporate culture, and numerous studies have indicated that it constitutes a significant issue in terms of indirect costs and its impact on colleagues.3 Economic losses from presenteeism in the United States are estimated to amount to $15 billion a year,4 and studies have shown that costs associated with productivity losses from presenteeism are 18%–60% higher than direct medical costs.5 These studies highlight the importance of managing presenteeism. Therefore, accurately measuring and predicting presenteeism is crucial for fostering a healthy organizational culture, ensuring sustainability, and promoting national productivity and economic strength.
A similar concept is absenteeism, which differs from presenteeism in that it involves actual absence from work.1 Absenteeism from work when sick has been studied extensively, as it also incurs significant costs to businesses. However, unlike absenteeism, the decline in labor productivity caused by presenteeism is difficult to estimate accurately because it is not revealed directly.4 In addition, it is difficult to accurately measure and predict the factors that cause presenteeism.
Presenteeism is related to a number of different factors. Several studies have shown that employment insecurity is associated with the prevalence of presenteeism.6 Moreover, hierarchical structures within an organization and a vertical, rigid organizational atmosphere or social climate can cause presenteeism.7 In addition, psychosocial factors, such as job insecurity, emotional labor, interpersonal relationships, and job stress, are related to presenteeism.8 High stress also negatively impacts presenteeism.9 Studies conducted in Korea investigated the relationship between stress and presenteeism.10 Research has also been conducted on the association of work-life balance (WLB) and effort-reward imbalance (ERI) on presenteeism in China and Australia, respectively.11,12
WLB can be defined as the “accomplishment of role-related expectations negotiated and shared between an individual and his/her role-related partners in the work and family domains.”13 Recently, a shift has emerged among the younger generation in South Korea, with WLB being prioritized over workplace performance or rewards, unlike in the past. Consequently, there is growing interest in the impact of WLB on individuals and organizations.14 As such, interest in WLB and the effects of WLB is increasing, but studies investigating the relationship between WLB and presenteeism are relatively insufficient.
ERI represents a “high cost/low gain” condition in the workplace.15 ERI provides an estimate of the job stress experienced by each employee based on the effort invested in work and the resulting rewards.16 Siegrist conceptualized a healthy work environment as a balance between employee effort and perceived reward.17 Previous studies reported that there is a high correlation between ERI and various mental and physical symptoms18 and that workers who work in disproportionate effort-reward conditions experience stress.19 Employees perceive working conditions involving high effort and low reward as the most stressful, and this imbalance is related to presenteeism.20
Many previous studies suggest association between WLB and ERI. A 2025 study of emergency room nurses reported that ERI influences physical and mental symptoms, with work-family conflict playing a significant mediating role in this relationship.21 Another study revealed that ERI and work-life conflict jointly influence various workplace outcomes, including job burnout, job satisfaction, and workplace performance.22 Additionally, there was research suggesting the possibility of interaction between WLB and ERI on depressed mood.23
As described above, although the WLB and ERI are known to affect worker presenteeism, no study has considered both models simultaneously. Based on these findings, this study examined the association of WLB and ERI with presenteeism, which reduces productivity, among Korean wageworkers.
Study participants
The Korea Institute of Occupational Safety and Health conducted the 6th Korean Working Conditions Survey (KWCS) from 2020 to 2021. The KWCS is a large-scale national survey conducted since 2006 to investigate occupational and environmental risk factors and provide preliminary data to improve working conditions.24 A total of 153 people under the age of 20 were excluded, and due to the nature of presenteeism, 12,701 self-employed people without employees, 3,167 self-employed people with employees, and 1,601 unpaid family workers were excluded.25 A total of 4,247 workers with missing data or incomplete responses were excluded. Finally, 28,669 wageworkers were included in the study (Fig. 1). When pre-designed weights were applied to represent all workers at the national level, the total study participants were 33,095.
Measurements
In this study, presenteeism was used as the dependent variable, and WLB status and ERI status were used as the independent variables to determine their association with presenteeism. The covariates were constructed based on factors related to these variables. The definitions of the variables are as follows.
Dependent variable: presenteeism
Presenteeism was evaluated using the question “Over the past 12 months (or since you started your job) did you work when you were sick?” The responses to this question were categorized as “yes,” “no,” and “I wasn’t sick.” If the answer was yes, it indicated presenteeism, and the remaining answers did not indicate presenteeism.
Independent variables: WLB and ERI status
The WLB status was determined using the question “In general, how do your working hours fit in with your family or social commitments outside work?” Respondents answered “very well,” “well,” “not very well,” “not at all well,” and “don't know/no opinion.” In this study, the answers “very well” and “well” were considered balanced WLB states, and the answers “not very well” and “not at all well” were considered imbalanced WLB states.23
The ERI status was determined using the question “Considering all my efforts and achievements in my job, I feel I get paid appropriately.” Respondents answered “strongly agree,” “tend to agree,” “neither agree nor disagree,” “tend to disagree,” and “strongly disagree.” In this study, respondents who answered “strongly agree,” “tend to agree,” and “neither agree nor disagree” were considered to be in a balanced ERI state, and those who answered “tend to disagree” and “strongly disagree” were considered to be in an imbalanced ERI state.23
Using the two variables defined above (WLB and ERI), the participants were divided into four groups: group 1, status of both WLB and ERI is "balanced”; group 2, WLB and ERI status are “imbalanced” and “balanced,” respectively; group 3, WLB and ERI status are “balanced” and “imbalanced,” respectively; group 4, status of both WLB and ERI is “imbalanced.” In this study, the analysis was performed with reference to the “balanced” status of both WLB and ERI for predictors of presenteeism. Furthermore, we additionally investigated the interaction effect on presenteeism when both WLB and ERI were imbalanced.
Covariates
In this study, covariates included the general and occupational characteristics of the study participants. The commonly used characteristics were age and self-rated health status. Occupational characteristics included education level, income level, occupational type, company size, employment status, shiftwork, night work, long working days, stress from work, and working hours.26-31 Age was divided into four groups: 20–39, 40–49, 50–59, and ≥60 years. Based on their responses, self-rated health status was classified as good or bad. Based on the responses to academic achievement, education level was categorized into middle school or below, high school, and above college. The monthly income was divided into four groups: <1, 1–2, 2–3, and ≥3 million Korean Won (KRW). In this study, occupations were classified into five groups based on their characteristics using the Korean Standard Classification of Occupations (KSCO) provided by the 6th KWCS: management/professional group (managers, experts, technicians, and semi-specialists), white-collar group, service/sales group, blue-collar group (agriculture/forestry workers and machinery operators/assembly workers) and laborers. Based on the number of workers, the company was divided into three groups: <50, 50–300, and ≥300 workers. Employment status was categorized into regular workers, temporary workers, and day laborers. Based on the definitions of variables, night work is defined as working at least 2 hours between 10 PM and 5 AM, while shift work is defined as yes or no depending on the presence of various forms of shift work. Based on their responses, the number of long working days per month was categorized into 0 days, 1–10 days, and 11 days or more and working hours per week were classified into more than 40 hours and less than 40 hours. Because working days per month and working hours per week can affect workers through distinct mechanisms, we defined them as separate exposure variables. Based on their responses, job stress was classified as yes or no.
Statistical methods
In this study, the χ2 test was used to determine the level of presenteeism according to the general and occupational characteristics of the participants. The distribution of the WLB and ERI states according to presenteeism was also described. Multiple logistic regression analysis was performed to verify the association between groups 1–4 and presenteeism, and we provided an odds ratio (OR) and a 95% confidence interval (CI). In addition, we conducted stratified analysis according to sex. Various studies have consistently demonstrated differences in occupational characteristics and preferences between men and women.32,33 Furthermore, based on research indicating sex disparities in job stress and differences in presenteeism,34,35 we performed a stratified analysis. Finally, we examined the interaction effect on presenteeism when both WLB and ERI states were simultaneously imbalanced. The following regression equation was used in the analysis: Logit (Presenteeism) = β0 + β1WLB + β2ERI + β3(WLB × ERI) + covariates. The β3 coefficient obtained from this equation was used to assess the effect size and statistical significance of the multiplicative interaction. To evaluate the additive interaction, the relative excess risk due to interaction (RERI) was calculated based on the previously estimated β coefficients using the formula: RERI = exp(β₁ + β₂ + β₃) − exp(β₁) − exp(β₂) + 1. The RERI represents the excess relative risk attributable to the interaction between two exposures on an additive scale, where RERI > 0 indicates a positive and RERI < 0 a negative interaction; a value significantly different from zero suggests that the combined effect differs from the sum of their individual effect. The 95% CI for the RERI was derived using the delta method.
The number of participants, proportion (%), and p-values were presented using weighted data, and all analyses were performed using weighted data. All statistical analyses were performed using R software version 4.2.2 (R Foundation for Statistical Computing, Vienna, Austria). A p-value < 0.05 was considered indicative of statistical significance.
Ethics statement
This study was approved by the Institutional Review Board (IRB No. SCHCA 2023-08-037) at Soonchunhyang University Hospital in Cheonan. The requirement for informed consent was waived due to the retrospective nature of the study.
General characteristics
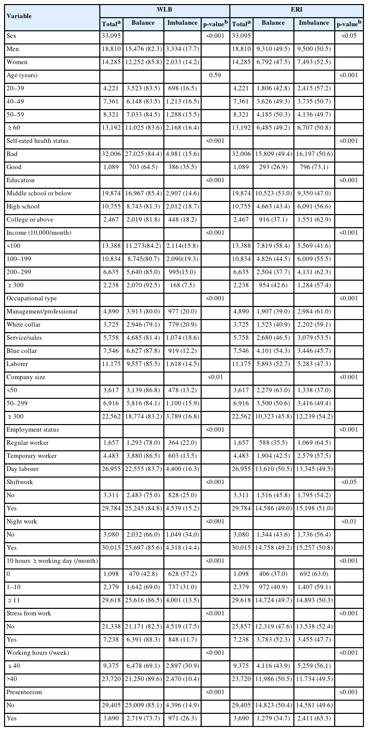
Table 1 shows the distribution of the general and occupational characteristics of the participants according to WLB and ERI. Table 1 shows that all variables, except for WLB status by age, demonstrated a statistically significant relationship. In addition, the distribution of the general and occupational characteristics of the participants according to the presenteeism by sex is presented in Supplementary Table 1. Supplementary Table 1 shows the distribution of each group of WLB and ERI status according to presenteeism. It is noteworthy that both men and women exhibited statistically significant levels of presenteeism in the imbalanced groups for both WLB and ERI. Furthermore, among respondents with an imbalanced WLB status, 16.7% of men and 20.4% of women reported experiencing presenteeism. Regarding ERI, among respondents with an imbalanced ERI status, 12.6% of men and 16.2% of women reported experiencing presenteeism.
Relationship between WLB, ERI, and presenteeism
Table 2 shows the tendency of presenteeism when considering both WLB and ERI status simultaneously in men and women. A statistically significant association was observed in the prevalence of presenteeism for both sexes when WLB and ERI status were considered concurrently, with the highest prevalence rate occurring when both WLB and ERI were imbalanced. The results of multiple logistic regression analysis of presenteeism according to the “balanced” or “imbalanced” status of WLB and ERI, respectively by sex are presented in Table 3. In the men group, the odds of presenteeism in the “imbalanced” status of WLB is statistically significantly higher than in the “balanced” status of WLB, at model 2 (OR: 1.41; 95% CI: 1.15–1.72). From the ERI perspective, the odds of presenteeism in the “imbalanced” status of ERI is statistically significantly higher than in the “balanced” status of ERI, at model 2 (OR: 1.72; 95% CI: 1.45–2.04). In the women group, the odds of presenteeism in the “imbalanced” status of WLB is statistically significantly higher than in the “balanced” status of WLB, at model 2 (OR: 1.28; 95% CI: 1.07–1.54). From the ERI perspective, the odds of presenteeism in the “imbalanced” status of ERI is statistically significantly higher than in the "balanced" status of ERI, at model 2 (OR: 1.66; 95% CI: 1.43–1.93).
The results of multiple logistic regression analysis of presenteeism considering both WLB and ERI status are as follows (Table 4).
For the “imbalanced” WLB and “balanced” ERI status, the OR for presenteeism at crude, model 1 and model 2 levels are 1.42 (1.01–1.99), 1.32 (0.93–1.86), and 1.00 (0.71–1.43) for men, and 1.53 (1.14–2.06), 1.37 (1.00–1.87), and 1.01 (0.73–1.41) for women, respectively.
For the “balanced” WLB and “imbalanced” ERI status, the OR for presenteeism at crude, model 1 and model 2 levels are 1.65 (1.36–2.01), 1.56 (1.29–1.90), and 1.55 (1.28–1.90) for men, and 1.67 (1.42–1.98), 1.60 (1.35–1.89), and 1.57 (1.32–1.86) for women, respectively.
For the “imbalanced” WLB and “imbalanced” ERI status, the OR for presenteeism at crude, model 1 and model 2 levels are 3.85 (3.07–4.83), 3.16 (2.52–3.97), and 2.27 (1.77–2.90) for men, and 3.26 (2.66–4.00), 2.88 (2.34–3.55), and 2.15 (1.71–2.69) for women, respectively.
Table 5 shows the interaction effect on presenteeism when WLB and ERI are simultaneously imbalanced. For both men and women, a statistically significant positive additive interaction was observed between WLB and ERI in relation to presenteeism. Regarding the multiplicative interaction, it was statistically significant in the positive direction for men in both the crude and model 1 analyses. In model 2, while not statistically significant, it showed a marginally significant association (p = 0.07). To facilitate interpretation of the multiplicative interaction, the estimated odds ratios for the WLB × ERI interaction term are additionally presented in Supplementary Table 2.
In this study, both the WLB and ERI models are associated with presenteeism, respectively. When considering ERI and WLB simultaneously, we also found that imbalanced ERI has a greater impact on presenteeism than imbalanced WLB. Additionally, when ERI and WLB were simultaneously imbalanced, presenteeism further increased by interaction effect. Specifically, the RERI value exceeded 0 in all models, indicating the presence of a positive additive interaction between ERI and WLB.
Both ERI and WLB assess the balanced distribution of limited resources, and if they are not balanced, they act as stressors for workers.23 However, the difference between WLB and ERI is that ERI is limited to work situations, while WLB reflects stress outside work situations, especially at home.36
In this study, when ERI and WLB were imbalanced at the same time, presenteeism further increased. Previous studies have shown that several workplace stressors affect health when coexisting.37 In another study, ERI was found to further increase workers' mental fatigue when present in conjunction with other work-stress models.38 There are also studies that influence worker depression with interaction when ERI and WLB work at the same time.23 When such various stressors are accumulated in the workplace, it acts as a greater burden on workers. Those previous studies support the interaction effect of this study.
The results of this study are also related to the job stress theory and presenteeism. In general, job stress can be said to encompass the concepts of work-life imbalance and effort-reward imbalance. In a previous study, job stressors such as high job demands and lack of rewards were associated with presenteeism.31 Another study reported that the percentage of presenteeism was 10.2% among employees with high stress and 5.0% among employees with low stress.9 In a Korean study, stress was reported to be a factor affecting presenteeism.10
Allostatic load refers to body wear that accumulates when an individual is exposed to repetitive or chronic stress.39 The imbalance between WLB and ERI falls under the allostatic load and acts as a chronic stressor.26 This stress causes health problems, poor work performance, and presenteeism. In that sense, it could be evidence when developing strategies to improve labor productivity and reduce sick work by analyzing and improving stressors based on research on presenteeism caused by various workplace stressors, including this study.
From a sex-based perspective, when WLB and ERI are each in an imbalanced state, or when both are simultaneously in an imbalanced state, presenteeism was more prevalent among women than men. The first reason is that women juggle their dedication at work with their commitment at home. Previous studies have shown the double burden of work and family on working women.40,41 A Whitehall II study in the UK reported that low home control predicted coronary heart disease in women, but not in men.42 The second reason is due to gender role stereotypes in Korea. Previous Japanese studies have shown that women are more physically and emotionally burdened by what happens at home due to traditional gender role stereotypes, even though they belong to dual-income families, so they experience more work-family conflicts than men.43 This trend may have contributed to increasing presenteeism among women. The third reason is that women are more likely than men to experience job insecurity and poorer working conditions. They are also more likely to experience psychosocial work environments, such as low social support and high emotional demands. The effects of these factors manifest more readily in women as presenteeism.44,45
This study found that, when both variables were considered simultaneously, ERI had a greater impact on presenteeism than WLB. One plausible explanation we are considering is that the 6th KWCS, which serves as the foundational data for this study, was conducted during the coronavirus disease 2019 (COVID-19) pandemic period (between October 2020 and April 2021). Previous studies have shown that working from home can have a positive impact on WLB.46 The increase in telecommuting due to the COVID-19 pandemic has improved life satisfaction in Korean workers.47 From an ERI perspective, studies indicate that ERI arising from excessive dedication or increased workload in certain occupations, such as healthcare workers or solid waste workers, is negatively associated with mental health.48,49 Consequently, we believe that ERI had a greater impact on presenteeism than WLB in these aspects. This further highlights the need for systematic research to examine the effects of the unprecedented impact of the COVID-19 pandemic on the occupational environment.
This study has several limitations. The main limitation of this study is that the 6th KWCS is a large-scale, national study based on a standardized questionnaire. This means that the range of definitions typically associated with the terminology used may not be fully covered. The questions used to define WLB in this study are somewhat limited in scope for assessing WLB, which is defined in various ways. Similarly, the definition of ERI used in this study also struggles to evaluate the multiple facets of effort and reward comprehensively (such as financial compensation, career prospects, social recognition, and job security).
Second, because of the cross-sectional nature of this study, WLB and ERI were found to be significantly related to presenteeism, but a causal relationship could not be confirmed.
Third, shift work status and night work, as well as long working days per month and working hours per week, were defined as independent risk factors for workers based on their potential individual effects. However, as the variables within each pair are closely related, adjusted models may not be entirely free from overadjustment, even though no multicollinearity was detected in the descriptive statistical analyses we conducted.
Fourth, the estimates of ERI, WLB, and presenteeism were self-reported, which may have led to information bias. Fifth, it is possible that only workers working at the time of the investigation were included in the 6th KWCS; therefore, workers who took a leave or were hospitalized for treatment due to presenteeism may have been excluded.
Despite these limitations, this study has several strengths. First, the KWCS is the most comprehensive nationally representative survey of workers' health and working conditions in Korea and can be considered reliable. Second, this research is based on the 6th KWCS, which has a dual nature as both a disadvantage and an advantage because it was conducted during the unprecedented period of the COVID-19 pandemic. This study captures the unique phase in which working patterns shifted from workplace-centric to home-based arrangements, making it necessary to consider the particularities of its findings. From a social science perspective, these research outcomes have significant potential applications for subsequent studies. Third, this is the first study to analyze the relationship between presenteeism, WLB, and ERI among Korean wageworkers. There are many previous studies on the association of WLB with presenteeism and of ERI with presenteeism, respectively,11,12,29,44,45,50 but there are no studies that have investigated the effects of both WLB and ERI on presenteeism simultaneously.
In this study, WLB and ERI were found to be significantly related to presenteeism among Korean wageworkers. Given the impact of presenteeism on labor productivity and workers' health, the importance of proper WLB and proper rewards for effort should be emphasized.

CI

confidence interval

COVID-19

coronavirus disease 2019

ERI

effort-reward imbalance

KSCO

Korean Standard Classification of Occupations

KWCS

Korean Working Conditions Survey

OR

odds ratio

RERI

relative excess risk due to interaction

WLB

work-life balance

Funding

This work was supported by the Soonchunhyang University Research Fund.

Competing interests

Young-Sun Min, a contributing editor of the Annals of Occupational and Environmental Medicine, was not involved in the editorial evaluation or decision to publish this article. All remaining authors have declared no conflicts of interest.

Author contributions

Conceptualization: Kim SH, Min YS. Data curation: Kim SH, Jang EC, Kwon SC, Min YS, Lee IH, Yun J, Jung UC. Formal analysis: Kim SH, Jang EC, Kwon SC, Min YS, Lee IH, Yun J. Investigation: Kim SH, Min YS, Lee IH, Yun J, Jung UC. Writing - original draft: Kim SH, Yun J. Writing - review & editing: Min YS.

Acknowledgments

I would like to thank my co-residents for their companionship and support during a challenging period.

Supplementary Table 1.
General and occupational characteristics of the participants according to presenteeism by sex.
aoem-2026-38-e1_Supplementary-Table-1.pdf
Supplementary Table 2.
Statistical significance of interaction term between WLB and ERI.
aoem-2026-38-e1_Supplementary-Table-2.pdf
Fig. 1.
Flow chart of the selection of study subjects. KWCS: Korean Working Conditions Survey.
aoem-2026-38-e1f1.jpg
Table 1.
General and occupational characteristics of the participants according to WLB and ERI
Variable WLB ERI
Totala Balance Imbalance p-valueb Totala Balance Imbalance p-valueb
Sex 33,095 <0.001 33,095 <0.001
 Men 18,810 15,476 (82.3) 3,334 (17.7) 18,810 9,310 (49.5) 9,500 (50.5)
 Women 14,285 12,252 (85.8) 2,033 (14.2) 14,285 6,792 (47.5) 7,493 (52.5)
Age (years) 0.066 <0.001
 20–39 4,221 3,523 (83.5) 698 (16.5) 4,221 1,806 (42.8) 2,415 (57.2)
 40–49 7,361 6,148 (83.5) 1,213 (16.5) 7,361 3,626 (49.3) 3,735 (50.7)
 50–59 8,321 7,033 (84.5) 1,288 (15.5) 8,321 4,185 (50.3) 4,136 (49.7)
 ≥60 13,192 11,024 (83.6) 2,168 (16.4) 13,192 6,485 (49.2) 6,707 (50.8)
Self-rated health status <0.001 <0.001
 Bad 32,006 27,025 (84.4) 4,981 (15.6) 32,006 15,809 (49.4) 16,197 (50.6)
 Good 1,089 703 (64.5) 386 (35.5) 1,089 293 (26.9) 796 (73.1)
Education <0.001 <0.001
 Middle school or below 19,874 16,967 (85.4) 2,907 (14.6) 19,874 10,524 (53.0) 9,350 (47.0)
 High school 10,755 8,743 (81.3) 2,012 (18.7) 10,755 4,664 (43.4) 6,091 (56.6)
 College or above 2,467 2,019 (81.8) 448 (18.2) 2,467 916 (37.1) 1,551 (62.9)
Income (10,000/month) <0.001 <0.001
 <100 13,387 11,273 (84.2) 2,114 (15.8) 13,388 7,819 (58.4) 5,569 (41.6)
 100–199 10,835 8,745 (80.7) 2,090 (19.3) 10,834 4,825 (44.5) 6,009 (55.5)
 200–299 6,635 5,640 (85.0) 995 (15.0) 6,635 2,504 (37.7) 4,131 (62.3)
 ≥300 2,238 2,070 (92.5) 168 (7.5) 2,238 954 (42.6) 1,284 (57.4)
Occupational type <0.001 <0.001
 Management/professional 4,890 3,913 (80.0) 977 (20.0) 4,890 1,907 (39.0) 2,983 (61.0)
 White collar 3,725 2,946 (79.1) 779 (20.9) 3,725 1,523 (40.9) 2,202 (59.1)
 Service/sales 5,759 4,685 (81.4) 1,074 (18.6) 5,758 2,680 (46.5) 3,078 (53.5)
 Blue collar 7,546 6,627 (87.8) 919 (12.2) 7,546 4,101 (54.3) 3,445 (45.7)
 Laborer 11,175 9,557 (85.5) 1,618 (14.5) 11,175 5,893 (52.7) 5,282 (47.3)
Company size <0.001 <0.001
 <50 3,617 3,139 (86.8) 478 (13.2) 3,617 2,279 (63.0) 1,338 (37.0)
 50–299 6,916 5,816 (84.1) 1,100 (15.9) 6,916 3,500 (50.6) 3,416 (49.4)
 ≥300 22,562 18,773 (83.2) 3,789 (16.8) 22,562 10,323 (45.8) 12,239 (54.2)
Employment status <0.001 <0.001
 Regular worker 1,657 1,293 (78.0) 364 (22.0) 1,657 588 (35.5) 1,069 (64.5)
 Temporary worker 4,483 3,880 (86.5) 603 (13.5) 4,483 1,904 (42.5) 2,579 (57.5)
 Day laborer 26,955 22,555 (83.7) 4,400 (16.3) 26,955 13,610 (50.5) 13,345 (49.5)
Shiftwork <0.001 <0.001
 No 3,311 2,483 (75.0) 828 (25.0) 3,311 1,516 (45.8) 1,795 (54.2)
 Yes 29,784 25,245 (84.8) 4,539 (15.2) 29,784 14,586 (49.0) 15,198 (51.0)
Night work <0.001 <0.001
 No 3,080 2,031 (66.0) 1,049 (34.0) 3,080 1,344 (43.6) 1,736 (56.4)
 Yes 30,015 25,697 (85.6) 4,318 (14.4) 30,015 14,758 (49.2) 15,257 (50.8)
≥10 working hours/day (/month) <0.001 <0.001
 0 1,098 470 (42.8) 628 (57.2) 1,098 406 (37.0) 692 (63.0)
 1–10 2,379 1,642 (69.0) 737 (31.0) 2,379 972 (40.9) 1,407 (59.1)
 ≥11 29,618 25,616 (86.5) 4,002 (13.5) 29,618 14,724 (49.7) 14,894 (50.3)
Stress from work <0.001 <0.001
 No 25,856 21,337 (82.5) 4,519 (17.5) 25,857 12,319 (47.6) 13,538 (52.4)
 Yes 7,239 6,391 (88.3) 848 (11.7) 7,238 3,783 (52.3) 3,455 (47.7)
Working hours (/week) <0.001 <0.001
 ≤40 9,375 6,478 (69.1) 2,897 (30.9) 9,375 4,116 (43.9) 5,259 (56.1)
 >40 23,720 21,250 (89.6) 2,470 (10.4) 23,720 11,986 (50.5) 11,734 (49.5)
Presenteeism <0.001 <0.001
 No 29,405 25,009 (85.1) 4,396 (14.9) 29,405 14,824 (50.4) 14,582 (49.6)
 Yes 3,690 2,719 (73.7) 971 (26.3) 3,690 1,279 (34.7) 2,411 (65.3)

Values are presented as number (%).

WLB: work-life balance; ERI: effort-reward imbalance.

aWeighted numbers of wageworkers;

bχ2 test for binomial variables.

Table 2.
Presenteeism by WLB and ERI status
WLB and ERI status Totala No presenteeisma Presenteeisma p-valueb
Men 18,810 16,988 (90.3) 1,822 (9.7) <0.001
 Balanced-Balanced 8,162 (43.4) 7,640 (93.6) 522 (6.4)
 Imbalanced-Balanced 1,148 (6.1) 1,047 (91.2) 101 (8.8)
 Balanced-Imbalanced 7,314 (38.9) 6,571 (89.8) 743 (10.2)
 Imbalanced-Imbalanced 2,186 (11.6) 1,731 (79.2) 455 (20.8)
Women 14,285 12,417 (86.9) 1,868 (13.1) <0.001
 Balanced-Balanced 6,011 (42.1) 5,460 (90.8) 551 (9.2)
 Imbalanced-Balanced 782 (5.5) 677 (86.6) 105 (13.4)
 Balanced-Imbalanced 6,241 (43.7) 5,339 (85.5) 902 (14.5)
 Imbalanced-Imbalanced 1,251 (8.8) 941 (75.2) 310 (24.8)

Values are presented as number (%).

WLB: work-life balance; ERI: effort-reward imbalance.

aWeighted numbers of wageworkers;

bχ2 test for binomial variables.

Table 3.
ORs of presenteeism according to WLB and ERI status by gender
Variable Crude Model 1a Model 2b
Men
 WLB
  Balanced Ref. Ref. Ref.
  Imbalanced 2.25 (1.88–2.70) 1.96 (1.63–2.34) 1.41 (1.15–1.72)
 ERI
  Balanced Ref. Ref. Ref.
  Imbalanced 2.01 (1.70–2.38) 1.83 (1.55–2.17) 1.72 (1.45–2.04)
Women
 WLB
  Balanced Ref. Ref. Ref.
  Imbalanced 1.90 (1.62–2.24) 1.73 (1.46–2.04) 1.28 (1.07–1.54)
 ERI
  Balanced Ref. Ref. Ref.
  Imbalanced 1.81 (1.56–2.09) 1.72 (1.48–2.00) 1.66 (1.43–1.93)

Values are presented as OR (95% CI).

OR: odds ratio; WLB: work-life balance; ERI: effort-reward imbalance; CI: confidence interval.

aAdjusted for age, and self-rated health status;

bAdjusted for age, self-rated health status, education, income, occupational type, company size, employment status, shiftwork, night work, working 10 hours or more per day (/month), stress from work, working hours (/week).

Table 4.
ORs of presenteeism according to both WLB and ERI status
WLB and ERI status Crude Model 1a Model 2b
Men
 Balanced-Balanced Ref. Ref. Ref.
 Imbalanced-Balanced 1.42 (1.01–1.99) 1.32 (0.93–1.86) 1.00 (0.71–1.43)
 Balanced-Imbalanced 1.65 (1.36–2.01) 1.56 (1.29–1.90) 1.55 (1.28–1.90)
 Imbalanced-Imbalanced 3.85 (3.07–4.83) 3.16 (2.52–3.97) 2.27 (1.77–2.90)
Women
 Balanced-Balanced Ref. Ref. Ref.
 Imbalanced-Balanced 1.53 (1.14–2.06) 1.37 (1.00–1.87) 1.01 (0.73–1.41)
 Balanced-Imbalanced 1.67 (1.42–1.98) 1.60 (1.35–1.89) 1.57 (1.32–1.86)
 Imbalanced-Imbalanced 3.26 (2.66–4.00) 2.88 (2.34–3.55) 2.15 (1.71–2.69)

Values are presented as OR (95% CI).

OR: odds ratio; WLB: work-life balance; ERI: effort-reward imbalance.

aAdjusted for age and self-rated health status;

bAdjusted for age, self-rated health status, education, income, occupational type, company size, employment status, shiftwork, night work, working 10 hours or more per day (/month), stress from work, working hours (/week).

Table 5.
Interaction effect between WLB and ERI on presenteeism
Crude Model 1a Model 2b
Men
 Multiplicativec 1.64 (1.10–2.46) 1.54 (1.02–2.30) 1.46 (0.96–2.20)
 Additived 1.78 (0.93–2.62) 1.28 (0.56–1.99) 0.71 (0.14–1.28)
Women
 Multiplicativec 1.27 (0.89–1.82) 1.32 (0.91–1.91) 1.35 (0.92–1.99)
 Additived 1.06 (0.36–1.76) 0.91 (0.27–1.56) 0.57 (0.04–1.09)

WLB: work-life balance; ERI: effort-reward imbalance; OR: odds ratio; CI: confidence interval; RERI: relative excess risk due to interaction.

aAdjusted for age and self-rated health status;

bAdjusted for age, self-rated health status, education, income, occupational type, company size, employment status, shiftwork, night work, working 10 hours or more per day (/month), stress from work, working hours (/week);

cValues are presented as OR (95% CI);

dValues are presented as RERI (95% CI; calculated by delta method).

  • 1. Cooper C, Dewe P. Well-being: absenteeism, presenteeism, costs and challenges. Occup Med (Lond) 2008;58(8):522–4.ArticlePubMed
  • 2. Johns G. Presenteeism in the workplace: a review and research agenda. J Org Behav 2010;31(4):519–42.ArticlePDF
  • 3. Kim MH. A comparative study on the characteristic of presenteeism between Korea, USA and Japan. J Hum Resour Manag Res 2014;21(4):153–72.Article
  • 4. Hemp P. Presenteeism: at work--but out of it. Harv Bus Rev 2004;82(10):49-58, 155.PubMed
  • 5. Goetzel RZ, Long SR, Ozminkowski RJ, Hawkins K, Wang S, Lynch W. Health, absence, disability, and presenteeism cost estimates of certain physical and mental health conditions affecting U.S. employers. J Occup Environ Med 2004;46(4):398–412.ArticlePubMed
  • 6. Lohaus D, Habermann W. Presenteeism: a review and research directions. Hum Resour Manag Rev 2019;29(1):43–58.Article
  • 7. Biron C, Saksvik PO. Sickness presenteeism and attendance pressure factors: implications for practice. In: Cooper CL, Quick JC, Schabracq MJ, editors. International Handbook of Work and Health Psychology. 3rd ed. Chichester, UK: Wiley Blackwell; 2009, 77–96.
  • 8. Cho YS, Park JB, Lee KJ, Min KB, Baek CI. The association between Korean workers' presenteeism and psychosocial factors within workplaces. Ann Occup Environ Med 2016;28(1):41.ArticlePubMedPMC
  • 9. Boles M, Pelletier B, Lynch W. The relationship between health risks and work productivity. J Occup Environ Med 2004;46(7):737–45.ArticlePubMed
  • 10. Ryu IS, Jeong DS, Kim IA, Roh JH, Won JU. Association between job stress, psychosocial well-being and presenteeism, absenteeism: focusing on railroad workers. Korean J Occup Environ Med 2012;24(3):263–73.ArticlePDF
  • 11. Yang T, Lei R, Jin X, Li Y, Sun Y, Deng J. Supervisor support, coworker support and presenteeism among healthcare workers in China: the mediating role of distributive justice. Int J Environ Res Public Health 2019;16(5):817.ArticlePubMedPMC
  • 12. Musich S, Hook D, Baaner S, Spooner M, Edington DW. The association of corporate work environment factors, health risks, and medical conditions with presenteeism among Australian employees. Am J Health Promot 2006;21(2):127–36.ArticlePubMedPDF
  • 13. Brough P, Timms C, Chan XW, Hawkes A, Rasmussen L. Work-life balance: definitions, causes, and consequences. In: Theorell T, editor. Handbook of Socioeconomic Determinants of Occupational Health: From Macro-level to Micro-level Evidence. Cham, Switzerland: Springer; 2022, 473–87.
  • 14. Kim JY, Park SM. Meta-analysis on factors influencing work-life balance (WLB). J Korea Acad Ind Coop Soc 2019;20(4):214–23.
  • 15. Siegrist J. Reducing social inequalities in health: work-related strategies. Scand J Public Health Suppl 2002;59:49–53.ArticlePubMedPDF
  • 16. Siegrist J, Starke D, Chandola T, Godin I, Marmot M, Niedhammer I, et al. The measurement of effort-reward imbalance at work: European comparisons. Soc Sci Med 2004;58(8):1483–99.ArticlePubMed
  • 17. Fink G. Stress: Concepts, Cognition, Emotion, and Behavior. Handbook of Stress Series, Vol. 1. London, UK: Academic Press; 2016.
  • 18. Tsutsumi A, Kawakami N. A review of empirical studies on the model of effort-reward imbalance at work: reducing occupational stress by implementing a new theory. Soc Sci Med 2004;59(11):2335–59.ArticlePubMed
  • 19. van Vegchel N, de Jonge J, Bosma H, Schaufeli W. Reviewing the effort-reward imbalance model: drawing up the balance of 45 empirical studies. Soc Sci Med 2005;60(5):1117–31.ArticlePubMed
  • 20. Bregenzer A, Jimenez P, Milfelner B. Appreciation at work and the effect on employees' presenteeism. Work 2022;73(1):109–20.ArticlePubMed
  • 21. Tong L, Zhu L, Zhang H, Zhong L, Diao D, Chen X, et al. Effort-reward imbalance and health outcomes in emergency nurses: the mediating role of work-family conflict and intrinsic effort. Front Public Health 2024;12:1515593.ArticlePubMedPMC
  • 22. Qi H, Hongyan S, Song H, Zhihang Z, Ruiyin H, Youjia M, et al. The relationship between effort-reward imbalance and quality of working life among medical caregivers: mediating effects of job burnout. Front Psychol 2024;15:1375022.ArticlePubMedPMC
  • 23. Lim HM, Park CJ, Yook JH, Kim MS, Kim HY, Hong YC. The association between effort-reward imbalance, work-life balance and depressive mood in Korean wage workers: the 4th Korean Working Conditions Survey. Ann Occup Environm Med 2021;33:e2.ArticlePubMedPMCPDF
  • 24. Choi Y, Park J. The Korean Working Conditions Survey (KWCS): a review on the utilization of the survey database. J Korean Soc Occup Environ Hyg 2019;29(4):431–41.Article
  • 25. Hwang J, Cho SS, Kim JI. Association between insomnia and absenteeism or presenteeism among Korean employees. Ann Occup Environ Med 2022;34:e41.ArticlePubMedPMCPDF
  • 26. Gordeev VS, Maksymowych WP, Schachna L, Boonen A. Understanding presenteeism in patients with ankylosing spondylitis: contributing factors and association with sick leave. Arthritis Care Res (Hoboken) 2014;66(6):916–24.ArticlePubMed
  • 27. Pfortner TK, Demirer I. To what extent do job insecurity, income satisfaction, and self-rated health mediate the association between low income and presenteeism in Germany? A gendered analysis. Int Arch Occup Environ Health 2023;96(7):999–1008.ArticlePubMedPDF
  • 28. Park JW, Cho SS, Lee J, Hwang J, Kim JI, Kim BG, et al. Association between employment status and sickness presenteeism among Korean employees: a cross-sectional study. Ann Occup Environ Med 2020;32:e17.ArticlePubMedPMCPDF
  • 29. Goto E, Ishikawa H, Okuhara T, Ueno H, Okada H, Fujino Y, et al. Presenteeism among workers: health-related factors, work-related factors and health literacy. Occup Med (Lond) 2020;70(8):564–9.ArticlePubMedPDF
  • 30. Andres EB, Lui JN, Song W, Johnston J. Exploring Hong Kong nurses’ decision-making processes around presenteeism. Occup Med (Lond) 2021;71(4-5):189–95.ArticlePubMedPDF
  • 31. Jeon SH, Leem JH, Park SG, Heo YS, Lee BJ, Moon SH, et al. Association among working hours, occupational stress, and presenteeism among wage workers: results from the second Korean Working Conditions Survey. Ann Occup Environ Med 2014;26(1):6.ArticlePubMedPMCPDF
  • 32. Jost M, Moser S. Salary, flexibility or career opportunity? A choice experiment on gender specific job preferences. Front Sociol 2023;8:1154324.ArticlePubMedPMC
  • 33. Kuhn A, Wolter SC. Things versus people: gender differences in vocational interests and in occupational preferences. J Econ Behav Org 2022;203:210–34.Article
  • 34. Kim KB, Lee JH, Lee Y, Noh JW, Kwon YD. Factors affecting level of perceived stress by gender. J Korea Contents Assoc 2018;18(3):235–45.
  • 35. Walia P. Gender and age as correlates of work-life balance. J Org Hum Behav 2015;4(1):13–8.Article
  • 36. Hausler N, Bopp M, Hammig O. Effort-reward imbalance, work-privacy conflict, and burnout among hospital employees. J Occup Environ Med 2018;60(4):e183–7.ArticlePubMed
  • 37. Goh J, Pfeffer J, Zenios SA. The relationship between workplace stressors and mortality and health costs in the United States. Manag Sci 2016;62(2):608–28.Article
  • 38. Calnan M, Wainwright D, Almond S. Job strain, effort-reward imbalance and mental distress: a study of occupations in general medical practice. Work Stress 2000;14(4):297–311.Article
  • 39. Sterling P, Eyer J. Allostasis: a new paradigm to explain arousal pathology. In: Fisher S, Reason J, editors. Handbook of Life Stress, Cognition and Health. New York: John Wiley & Sons; 1988, 629–49.
  • 40. Allen TD, Herst DE, Bruck CS, Sutton M. Consequences associated with work-to-family conflict: a review and agenda for future research. J Occup Health Psychol 2000;5(2):278–308.ArticlePubMed
  • 41. Doyal L. Sex, gender, and health: the need for a new approach. BMJ 2001;323(7320):1061–3.ArticlePubMedPMC
  • 42. Chandola T, Kuper H, Singh-Manoux A, Bartley M, Marmot M. The effect of control at home on CHD events in the Whitehall II study: gender differences in psychosocial domestic pathways to social inequalities in CHD. Soc Sci Med 2004;58(8):1501–9.ArticlePubMed
  • 43. Fujimura Y, Sekine M, Tatsuse T. Sex differences in factors contributing to family‐to‐work and work‐to‐family conflict in Japanese civil servants. J Occup Health 2014;56(6):485–97.ArticlePubMedPDF
  • 44. Hwang JH, Jung HS. The effects of work characteristics related to work-life imbalance on presenteeism among female workers in the health and social work sectors: mediation analysis of psychological and physical health problems. Int J Environ Res Public Health 2021;18(12):6218.ArticlePubMedPMC
  • 45. Dobson M, Schnall P, Rosskam E, Landsbergis P. Work-related burden of absenteeism, presenteeism, and disability: an epidemiologic and economic perspective. In: Bultmann U, Siegrist J, editors. Handbook of Disability, Work and Health. Cham, Switzerland: Springer; 2019, 1–22.
  • 46. Oreskovic T, Milosevic M, Kosir BK, Horvat D, Glavas T, Sadaric A, et al. Associations of working from home with job satisfaction, work-life balance, and working-model preferences. Front Psychol 2023;14:1258750.ArticlePubMedPMC
  • 47. Lee S. The effects of experience of telecommuting due to COVID-19 on life satisfaction: multi-mediation effects of work environment satisfaction and working-hour satisfaction. Soc Coverg Knowl Trans 2022;10(3):49–57.Article
  • 48. Beschoner P, Jerg-Bretzke L, Erim Y, Geiser F, Baranowski AM, Weidner K, et al. The prevalence of effort-reward imbalance and its associations with working conditions, psychosocial resources and burden among health care workers during the COVID-19 pandemic: results of the egePan-Voice study. PLoS One 2023;18(8):e0287509.ArticlePubMedPMC
  • 49. Shkembi A, Le AB, Neitzel RL. Associations between poorer mental health with work-related effort, reward, and overcommitment among a sample of formal US solid waste workers during the COVID-19 pandemic. Saf Health Work 2023;14(1):93–9.ArticlePubMedPMC
  • 50. Saijo Y, Yoshioka E, Nakagi Y, Kawanishi Y, Hanley SJ, Yoshida T. Social support and its interrelationships with demand-control model factors on presenteeism and absenteeism in Japanese civil servants. Int Arch Occup Environ Health 2017;90(6):539–53.ArticlePubMedPDF

Figure & Data

REFERENCES

    Citations

    Citations to this article as recorded by  

      • Cite
        CITE
        export Copy Download
        Close
        Download Citation
        Download a citation file in RIS format that can be imported by all major citation management software, including EndNote, ProCite, RefWorks, and Reference Manager.

        Format:
        • RIS — For EndNote, ProCite, RefWorks, and most other reference management software
        • BibTeX — For JabRef, BibDesk, and other BibTeX-specific software
        Include:
        • Citation for the content below
        Work-life balance and effort-reward imbalance, and their interaction, associated with presenteeism among Korean wage workers: Based on 6th Korean working conditions survey
        Ann Occup Environ Med. 2026;38:e1  Published online January 8, 2026
        Close
      • XML DownloadXML Download
      Figure
      • 0
      Related articles
      Work-life balance and effort-reward imbalance, and their interaction, associated with presenteeism among Korean wage workers: Based on 6th Korean working conditions survey
      Image
      Fig. 1. Flow chart of the selection of study subjects. KWCS: Korean Working Conditions Survey.
      Work-life balance and effort-reward imbalance, and their interaction, associated with presenteeism among Korean wage workers: Based on 6th Korean working conditions survey
      Variable WLB ERI
      Totala Balance Imbalance p-valueb Totala Balance Imbalance p-valueb
      Sex 33,095 <0.001 33,095 <0.001
       Men 18,810 15,476 (82.3) 3,334 (17.7) 18,810 9,310 (49.5) 9,500 (50.5)
       Women 14,285 12,252 (85.8) 2,033 (14.2) 14,285 6,792 (47.5) 7,493 (52.5)
      Age (years) 0.066 <0.001
       20–39 4,221 3,523 (83.5) 698 (16.5) 4,221 1,806 (42.8) 2,415 (57.2)
       40–49 7,361 6,148 (83.5) 1,213 (16.5) 7,361 3,626 (49.3) 3,735 (50.7)
       50–59 8,321 7,033 (84.5) 1,288 (15.5) 8,321 4,185 (50.3) 4,136 (49.7)
       ≥60 13,192 11,024 (83.6) 2,168 (16.4) 13,192 6,485 (49.2) 6,707 (50.8)
      Self-rated health status <0.001 <0.001
       Bad 32,006 27,025 (84.4) 4,981 (15.6) 32,006 15,809 (49.4) 16,197 (50.6)
       Good 1,089 703 (64.5) 386 (35.5) 1,089 293 (26.9) 796 (73.1)
      Education <0.001 <0.001
       Middle school or below 19,874 16,967 (85.4) 2,907 (14.6) 19,874 10,524 (53.0) 9,350 (47.0)
       High school 10,755 8,743 (81.3) 2,012 (18.7) 10,755 4,664 (43.4) 6,091 (56.6)
       College or above 2,467 2,019 (81.8) 448 (18.2) 2,467 916 (37.1) 1,551 (62.9)
      Income (10,000/month) <0.001 <0.001
       <100 13,387 11,273 (84.2) 2,114 (15.8) 13,388 7,819 (58.4) 5,569 (41.6)
       100–199 10,835 8,745 (80.7) 2,090 (19.3) 10,834 4,825 (44.5) 6,009 (55.5)
       200–299 6,635 5,640 (85.0) 995 (15.0) 6,635 2,504 (37.7) 4,131 (62.3)
       ≥300 2,238 2,070 (92.5) 168 (7.5) 2,238 954 (42.6) 1,284 (57.4)
      Occupational type <0.001 <0.001
       Management/professional 4,890 3,913 (80.0) 977 (20.0) 4,890 1,907 (39.0) 2,983 (61.0)
       White collar 3,725 2,946 (79.1) 779 (20.9) 3,725 1,523 (40.9) 2,202 (59.1)
       Service/sales 5,759 4,685 (81.4) 1,074 (18.6) 5,758 2,680 (46.5) 3,078 (53.5)
       Blue collar 7,546 6,627 (87.8) 919 (12.2) 7,546 4,101 (54.3) 3,445 (45.7)
       Laborer 11,175 9,557 (85.5) 1,618 (14.5) 11,175 5,893 (52.7) 5,282 (47.3)
      Company size <0.001 <0.001
       <50 3,617 3,139 (86.8) 478 (13.2) 3,617 2,279 (63.0) 1,338 (37.0)
       50–299 6,916 5,816 (84.1) 1,100 (15.9) 6,916 3,500 (50.6) 3,416 (49.4)
       ≥300 22,562 18,773 (83.2) 3,789 (16.8) 22,562 10,323 (45.8) 12,239 (54.2)
      Employment status <0.001 <0.001
       Regular worker 1,657 1,293 (78.0) 364 (22.0) 1,657 588 (35.5) 1,069 (64.5)
       Temporary worker 4,483 3,880 (86.5) 603 (13.5) 4,483 1,904 (42.5) 2,579 (57.5)
       Day laborer 26,955 22,555 (83.7) 4,400 (16.3) 26,955 13,610 (50.5) 13,345 (49.5)
      Shiftwork <0.001 <0.001
       No 3,311 2,483 (75.0) 828 (25.0) 3,311 1,516 (45.8) 1,795 (54.2)
       Yes 29,784 25,245 (84.8) 4,539 (15.2) 29,784 14,586 (49.0) 15,198 (51.0)
      Night work <0.001 <0.001
       No 3,080 2,031 (66.0) 1,049 (34.0) 3,080 1,344 (43.6) 1,736 (56.4)
       Yes 30,015 25,697 (85.6) 4,318 (14.4) 30,015 14,758 (49.2) 15,257 (50.8)
      ≥10 working hours/day (/month) <0.001 <0.001
       0 1,098 470 (42.8) 628 (57.2) 1,098 406 (37.0) 692 (63.0)
       1–10 2,379 1,642 (69.0) 737 (31.0) 2,379 972 (40.9) 1,407 (59.1)
       ≥11 29,618 25,616 (86.5) 4,002 (13.5) 29,618 14,724 (49.7) 14,894 (50.3)
      Stress from work <0.001 <0.001
       No 25,856 21,337 (82.5) 4,519 (17.5) 25,857 12,319 (47.6) 13,538 (52.4)
       Yes 7,239 6,391 (88.3) 848 (11.7) 7,238 3,783 (52.3) 3,455 (47.7)
      Working hours (/week) <0.001 <0.001
       ≤40 9,375 6,478 (69.1) 2,897 (30.9) 9,375 4,116 (43.9) 5,259 (56.1)
       >40 23,720 21,250 (89.6) 2,470 (10.4) 23,720 11,986 (50.5) 11,734 (49.5)
      Presenteeism <0.001 <0.001
       No 29,405 25,009 (85.1) 4,396 (14.9) 29,405 14,824 (50.4) 14,582 (49.6)
       Yes 3,690 2,719 (73.7) 971 (26.3) 3,690 1,279 (34.7) 2,411 (65.3)
      WLB and ERI status Totala No presenteeisma Presenteeisma p-valueb
      Men 18,810 16,988 (90.3) 1,822 (9.7) <0.001
       Balanced-Balanced 8,162 (43.4) 7,640 (93.6) 522 (6.4)
       Imbalanced-Balanced 1,148 (6.1) 1,047 (91.2) 101 (8.8)
       Balanced-Imbalanced 7,314 (38.9) 6,571 (89.8) 743 (10.2)
       Imbalanced-Imbalanced 2,186 (11.6) 1,731 (79.2) 455 (20.8)
      Women 14,285 12,417 (86.9) 1,868 (13.1) <0.001
       Balanced-Balanced 6,011 (42.1) 5,460 (90.8) 551 (9.2)
       Imbalanced-Balanced 782 (5.5) 677 (86.6) 105 (13.4)
       Balanced-Imbalanced 6,241 (43.7) 5,339 (85.5) 902 (14.5)
       Imbalanced-Imbalanced 1,251 (8.8) 941 (75.2) 310 (24.8)
      Variable Crude Model 1a Model 2b
      Men
       WLB
        Balanced Ref. Ref. Ref.
        Imbalanced 2.25 (1.88–2.70) 1.96 (1.63–2.34) 1.41 (1.15–1.72)
       ERI
        Balanced Ref. Ref. Ref.
        Imbalanced 2.01 (1.70–2.38) 1.83 (1.55–2.17) 1.72 (1.45–2.04)
      Women
       WLB
        Balanced Ref. Ref. Ref.
        Imbalanced 1.90 (1.62–2.24) 1.73 (1.46–2.04) 1.28 (1.07–1.54)
       ERI
        Balanced Ref. Ref. Ref.
        Imbalanced 1.81 (1.56–2.09) 1.72 (1.48–2.00) 1.66 (1.43–1.93)
      WLB and ERI status Crude Model 1a Model 2b
      Men
       Balanced-Balanced Ref. Ref. Ref.
       Imbalanced-Balanced 1.42 (1.01–1.99) 1.32 (0.93–1.86) 1.00 (0.71–1.43)
       Balanced-Imbalanced 1.65 (1.36–2.01) 1.56 (1.29–1.90) 1.55 (1.28–1.90)
       Imbalanced-Imbalanced 3.85 (3.07–4.83) 3.16 (2.52–3.97) 2.27 (1.77–2.90)
      Women
       Balanced-Balanced Ref. Ref. Ref.
       Imbalanced-Balanced 1.53 (1.14–2.06) 1.37 (1.00–1.87) 1.01 (0.73–1.41)
       Balanced-Imbalanced 1.67 (1.42–1.98) 1.60 (1.35–1.89) 1.57 (1.32–1.86)
       Imbalanced-Imbalanced 3.26 (2.66–4.00) 2.88 (2.34–3.55) 2.15 (1.71–2.69)
      Crude Model 1a Model 2b
      Men
       Multiplicativec 1.64 (1.10–2.46) 1.54 (1.02–2.30) 1.46 (0.96–2.20)
       Additived 1.78 (0.93–2.62) 1.28 (0.56–1.99) 0.71 (0.14–1.28)
      Women
       Multiplicativec 1.27 (0.89–1.82) 1.32 (0.91–1.91) 1.35 (0.92–1.99)
       Additived 1.06 (0.36–1.76) 0.91 (0.27–1.56) 0.57 (0.04–1.09)
      Table 1. General and occupational characteristics of the participants according to WLB and ERI

      Values are presented as number (%).

      WLB: work-life balance; ERI: effort-reward imbalance.

      Weighted numbers of wageworkers;

      χ2 test for binomial variables.

      Table 2. Presenteeism by WLB and ERI status

      Values are presented as number (%).

      WLB: work-life balance; ERI: effort-reward imbalance.

      Weighted numbers of wageworkers;

      χ2 test for binomial variables.

      Table 3. ORs of presenteeism according to WLB and ERI status by gender

      Values are presented as OR (95% CI).

      OR: odds ratio; WLB: work-life balance; ERI: effort-reward imbalance; CI: confidence interval.

      Adjusted for age, and self-rated health status;

      Adjusted for age, self-rated health status, education, income, occupational type, company size, employment status, shiftwork, night work, working 10 hours or more per day (/month), stress from work, working hours (/week).

      Table 4. ORs of presenteeism according to both WLB and ERI status

      Values are presented as OR (95% CI).

      OR: odds ratio; WLB: work-life balance; ERI: effort-reward imbalance.

      Adjusted for age and self-rated health status;

      Adjusted for age, self-rated health status, education, income, occupational type, company size, employment status, shiftwork, night work, working 10 hours or more per day (/month), stress from work, working hours (/week).

      Table 5. Interaction effect between WLB and ERI on presenteeism

      WLB: work-life balance; ERI: effort-reward imbalance; OR: odds ratio; CI: confidence interval; RERI: relative excess risk due to interaction.

      Adjusted for age and self-rated health status;

      Adjusted for age, self-rated health status, education, income, occupational type, company size, employment status, shiftwork, night work, working 10 hours or more per day (/month), stress from work, working hours (/week);

      Values are presented as OR (95% CI);

      Values are presented as RERI (95% CI; calculated by delta method).


      Ann Occup Environ Med : Annals of Occupational and Environmental Medicine
      Close layer
      TOP