, Jisoo Kang,*
, Seong-yong Cho
, Seongyong Yoon
, Daehwan Kim
, Hyun Woo Park
Department of Occupational and Environmental Medicine, Soonchunhyang University Gumi Hospital, Gumi, Korea
© 2026 Korean Society of Occupational & Environmental Medicine
This is an Open Access article distributed under the terms of the Creative Commons Attribution Non-Commercial License (https://creativecommons.org/licenses/by-nc/4.0/) which permits unrestricted non-commercial use, distribution, and reproduction in any medium, provided the original work is properly cited.
CF
CI
KoNEHS
OR
PFAS
PFDeA
PFHxS
PFNA
PFOA
PFOS
Funding
This research was supported by the Soonchunhyang University Research Fund.
Competing interests
The authors declare that they have no competing interests.
Author contributions
Conceptualization: Kim KW, Kang J. Data curation: Kim KW, Kang J. Formal analysis: Kim KW, Park HW. Methodology: Yoon S. Validation: Kim KW, Park HW, Kim D. Project administration: Cho SY. Funding acquisition: Kang J. Writing - original draft: Kim KW, Kang J. Writing - review & editing: Kim KW, Kang J, Cho SY, Yoon S, Kim D, Park HW.
Acknowledgments
This study used the Korean National Environmental Health Survey Cycle 4 (2018~2020), made by the National Institute of Environmental Research (NIER-2020-01-01-016). We appreciate the National Institute of Environmental Research for making the raw data of the Korean National Environmental Health Survey available.
| Category | Total (n = 2,993)a | Men (n = 1,298) | Women (n = 1,695) | p-value |
|---|---|---|---|---|
| PFAS | ||||
| PFOA | 7.66 (7.33–8.00) | 7.99 (7.53–8.45) | 7.34 (7.13–7.55) | <0.001b |
| PFOS | 18.87 (18.64–19.10) | 20.26 (19.53–20.98) | 17.48 (17.02–17.94) | <0.001 |
| PFHxS | 5.76 (5.39–6.12) | 6.42 (6.11–6.74) | 5.09 (4.68–5.50) | <0.001 |
| PFNA | 2.54 (2.52–2.57) | 2.73 (2.71–2.75) | 2.35 (2.32–2.39) | <0.001 |
| PFDeA | 1.08 (1.06–1.10) | 1.15 (1.13–1.17) | 1.01 (1.00–1.03) | <0.001 |
| Age (years) | 47.4 ± 0.13 | 46.4 ± 0.18 | 48.5 ± 0.10 | <0.001 |
| BMI (kg/m2) | 0.003c | |||
| ≤25 | 1,577 (53.4) | 595 (46.1) | 982 (60.7) | |
| >25 | 1,416 (46.6) | 703 (53.9) | 713 (39.3) | |
| Outdoor clothing use | 0.001 | |||
| None | 1,541 (52.3) | 557 (43.7) | 984 (60.8) | |
| <Four times a week | 1,002 (32.4) | 446 (33.9) | 556 (30.9) | |
| ≥Four times a week | 450 (15.3) | 295 (22.4) | 155 (8.3) | |
| Coated frying pans use | 0.002 | |||
| None | 83 (2.5) | 39 (2.6) | 44 (2.3) | |
| <Four times a week | 1,313 (40.1) | 557 (36.9) | 756 (43.2) | |
| ≥Four times a week | 1,597 (57.4) | 702 (60.5) | 895 (54.4) | |
| Crustacean consumption | 0.076 | |||
| <Once a week | 2,753 (91.8) | 1,189 (91.6) | 1,564 (92.1) | |
| ≥Once a week | 240 (8.2) | 109 (8.4) | 131 (7.9) | |
| Type of water drinking indoor | 0.001 | |||
| Water purifier, bottled water, etc. | 2,047 (71.4) | 896 (73.5) | 1,151 (69.4) | |
| Underground water, small-scale water-supply system, tap water | 946 (28.6) | 402 (26.5) | 544 (30.6) | |
| Type of water drinking outdoor | <0.001 | |||
| Water purifier, bottled water, etc. | 2,747 (93.3) | 1,207 (95.1) | 1,540 (91.4) | |
| Underground water, small-scale water-supply system, tap water | 246 (6.7) | 91 (4.9) | 155 (8.6) | |
| Average ventilation time per day (minutes) | 0.043 | |||
| <30 | 354 (10.5) | 174 (11.3) | 180 (9.7) | |
| ≥30, <60 | 371 (11.1) | 156 (10.6) | 215 (11.4) | |
| ≥60, <600 | 1,112 (36.6) | 488 (37.7) | 624 (35.6) | |
| ≥600 | 1,156 (41.8) | 480 (40.4) | 676 (43.3) |
Values are presented as mean (95% confidence interval), number (%) for categorical variables or as mean ± standard error for continuous variables.
PFAS: perfluoroalkyl substances; PFOA: perfluorooctanoic acid; PFOS: perfluorooctanesulfonic acid; PFHxS: perfluorohexanesulfonic acid; PFNA: perfluorononanoic acid; PFDeA: perfluorodecanoic acid; BMI: body mass index.
aUnweighted count;
bp-value by t-test;
cp-value by χ2 test.
| Variable | PFOA | PFOS | ||||
|---|---|---|---|---|---|---|
| Low (n = 974)a | High (n = 324) | p-value | Low (n = 974) | High (n = 324) | p-value | |
| Age (years) | 43.5 ± 0.29 | 57.3 ± 0.22 | <0.001b | 43.1 ± 0.21 | 60.3 ± 0.99 | <0.001 |
| BMI (kg/m2) | 0.081c | 0.763 | ||||
| ≤25 | 460 (79.3) | 135 (20.7) | 454 (81.1) | 141 (18.9) | ||
| >25 | 514 (78.3) | 189 (21.7) | 520 (81.1) | 183 (18.9) | ||
| Outdoor clothing use | 0.004 | 0.011 | ||||
| None | 442 (83.1) | 115 (16.9) | 430 (84.6) | 127 (15.4) | ||
| <Four times a week | 319 (76.0) | 127 (24.0) | 328 (77.3) | 118 (22.7) | ||
| ≥Four times a week | 213 (74.4) | 82 (25.6) | 216 (80.1) | 79 (19.9) | ||
| Coated frying pans use | 0.086 | 0.004 | ||||
| None | 27 (82.6) | 12 (17.4) | 30 (88.2) | 9 (11.8) | ||
| <Four times a week | 429 (78.2) | 128 (21.8) | 406 (78.6) | 151 (21.4) | ||
| ≥Four times a week | 518 (79.0) | 184 (21.0) | 538 (82.3) | 164 (17.7) | ||
| Crustacean consumption | 0.001 | 0.001 | ||||
| <Once a week | 902 (80.2) | 287 (19.8) | 895 (82.1) | 294 (17.9) | ||
| ≥Once a week | 72 (63.2) | 37 (36.8) | 79 (69.7) | 30 (30.3) | ||
| Type of water drinking indoor | 0.009 | 0.006 | ||||
| Water purifier, bottled water, etc. | 688 (82.2) | 202 (17.8) | 687 (84.8) | 203 (15.2) | ||
| Underground water, small-scale water-supply system, tap water | 286 (69.3) | 122 (30.7) | 287 (71.1) | 121 (28.9) | ||
| Type of water drinking outdoor | 0.013 | 0.001 | ||||
| Water purifier, bottled water, etc. | 901 (79.4) | 290 (20.6) | 908 (82.1) | 283 (17.9) | ||
| Underground water, small-scale water-supply system, tap water | 73 (68.0) | 34 (32.0) | 66 (63.7) | 41 (36.3) | ||
| Average ventilation time per day (minutes) | 0.005 | 0.003 | ||||
| <30 | 122 (74.7) | 52 (25.3) | 123 (76.0) | 51 (24.0) | ||
| ≥30, <60 | 116 (81.9) | 40 (18.1) | 116 (84.9) | 40 (15.1) | ||
| ≥60, <600 | 373 (76.7) | 115 (23.3) | 359 (76.9) | 129 (23.1) | ||
| ≥600 | 363 (81.0) | 117 (19.0) | 376 (85.4) | 104 (14.6) | ||
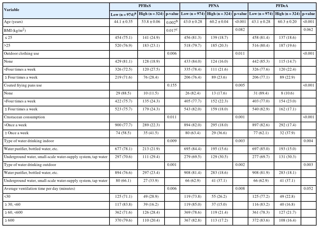
| Variable | PFHxS | PFNA | PFDeA | ||||||
|---|---|---|---|---|---|---|---|---|---|
| Low (n = 974)a | High (n = 324) | p-value | Low (n = 974) | High (n = 324) | p-value | Low (n = 974) | High (n = 324) | p-value | |
| Age (years) | 44.1 ± 0.35 | 53.8 ± 0.06 | 0.002b | 43.0 ± 0.28 | 60.2 ± 0.04 | <0.001 | 43.1 ± 0.28 | 60.3 ± 0.20 | <0.001 |
| BMI (kg/m2) | 0.017c | 0.082 | 0.062 | ||||||
| ≤25 | 454 (75.1) | 141 (24.9) | 456 (81.3) | 139 (18.7) | 458 (81.4) | 137 (18.6) | |||
| >25 | 520 (76.9) | 183 (23.1) | 518 (79.7) | 185 (20.3) | 516 (80.4) | 187 (19.6) | |||
| Outdoor clothing use | 0.006 | 0.011 | <0.001 | ||||||
| None | 429 (81.1) | 128 (18.9) | 433 (84.0) | 124 (16.0) | 442 (85.3) | 115 (14.7) | |||
| <Four times a week | 326 (72.5) | 120 (27.5) | 335 (78.4) | 111 (21.6) | 326 (77.6) | 120 (22.4) | |||
| ≥Four times a week | 219 (71.6) | 76 (28.4) | 206 (76.4) | 89 (23.6) | 206 (77.1) | 89 (22.9) | |||
| Coated frying pans use | 0.155 | 0.005 | <0.001 | ||||||
| None | 29 (88.5) | 10 (11.5) | 26 (82.4) | 13 (17.6) | 31 (89.4) | 8 (10.6) | |||
| <Four times a week | 422 (75.7) | 135 (24.3) | 405 (77.7) | 152 (22.3) | 403 (77.0) | 154 (23.0) | |||
| ≥Four times a week | 523 (75.7) | 179 (24.3) | 543 (82.0) | 159 (18.0) | 540 (82.9) | 162 (17.1) | |||
| Crustacean consumption | 0.011 | 0.001 | <0.001 | ||||||
| <Once a week | 900 (77.7) | 289 (22.3) | 894 (82.0) | 295 (18.0) | 897 (82.6) | 292 (17.4) | |||
| ≥Once a week | 74 (58.5) | 35 (41.5) | 80 (63.4) | 29 (36.6) | 77 (62.1) | 32 (37.9) | |||
| Type of water drinking indoor | 0.009 | 0.003 | 0.004 | ||||||
| Water purifier, bottled water, etc. | 677 (78.1) | 213 (21.9) | 695 (84.4) | 195 (15.6) | 697 (85.0) | 193 (15.0) | |||
| Underground water, small-scale water-supply system, tap water | 297 (70.6) | 111 (29.4) | 279 (69.5) | 129 (30.5) | 277 (69.7) | 131 (30.3) | |||
| Type of water drinking outdoor | 0.001 | 0.002 | 0.003 | ||||||
| Water purifier, bottled water, etc. | 894 (76.6) | 297 (23.4) | 908 (81.4) | 283 (18.6) | 908 (81.9) | 283 (18.1) | |||
| Underground water, small-scale water-supply system, tap water | 80 (66.1) | 27 (33.9) | 66 (62.9) | 41 (37.1) | 66 (62.9) | 41 (37.1) | |||
| Average ventilation time per day (minutes) | 0.006 | 0.008 | 0.052 | ||||||
| <30 | 125 (71.1) | 49 (28.9) | 119 (73.8) | 55 (26.2) | 125 (77.2) | 49 (22.8) | |||
| ≥30, <60 | 117 (83.8) | 39 (16.2) | 119 (85.0) | 37 (15.0) | 116 (83.2) | 40 (16.8) | |||
| ≥60, <600 | 362 (71.6) | 126 (28.4) | 369 (78.6) | 119 (21.4) | 361 (78.3) | 127 (21.7) | |||
| ≥600 | 370 (79.6) | 110 (20.4) | 367 (82.8) | 113 (17.2) | 372 (83.6) | 108 (16.4) | |||
Values are presented as mean ± standard error for continuous variables or number (%) for categorical variables.
PFAS: perfluoroalkyl substances; PFHxS: perfluorohexanesulfonic acid; PFNA: perfluorononanoic acid; PFDeA: perfluorodecanoic acid; BMI: body mass index.
aUnweighted count;
bp-value by t-test;
cp-value by χ2 test.
| Variable | PFOA | PFOS | ||||
|---|---|---|---|---|---|---|
| Low (n = 1,272)a | High (n = 423) | p-value | Low (n = 1,272) | High (n = 423) | p-value | |
| Age (years) | 44.9 ± 0.15 | 61.5 ± 0.07 | <0.001b | 44.8 ± 0.03 | 62.7 ± 0.06 | <0.001 |
| BMI (kg/m2) | <0.001c | 0.004 | ||||
| ≤25 | 775 (83.0) | 207 (17.0) | 779 (82.8) | 203 (17.2) | ||
| >25 | 497 (70.5) | 216 (29.5) | 493 (73.9) | 220 (26.1) | ||
| Outdoor clothing use | 0.002 | <0.001 | ||||
| None | 769 (81.1) | 215 (18.9) | 759 (81.5) | 225 (18.5) | ||
| <Four times a week | 400 (75.0) | 156 (25.0) | 412 (79.0) | 144 (21.0) | ||
| ≥Four times a week | 103 (67.5) | 52 (32.5) | 101 (64.5) | 54 (35.5) | ||
| Coated frying pans use | 0.007 | 0.040 | ||||
| None | 31 (78.2) | 13 (21.8) | 28 (77.6) | 16 (22.4) | ||
| <Four times a week | 540 (72.2) | 216 (27.8) | 535 (75.8) | 221 (24.2) | ||
| ≥Four times a week | 701 (82.8) | 194 (17.2) | 709 (82.1) | 186 (17.9) | ||
| Crustacean consumption | 0.792 | 0.213 | ||||
| <Once a week | 1,182 (78.1) | 382 (21.9) | 1,178 (79.5) | 386 (20.5) | ||
| ≥Once a week | 90 (78.2) | 41 (21.8) | 94 (77.5) | 37 (22.5) | ||
| Type of water drinking indoor | 0.004 | 0.006 | ||||
| Water purifier, bottled water, etc. | 893 (80.5) | 253 (19.5) | 905 (82.9) | 241 (17.1) | ||
| Underground water, small-scale water-supply system, tap water | 379 (72.8) | 170 (27.2) | 367 (71.2) | 182 (28.8) | ||
| Type of water drinking outdoor | 0.002 | 0.002 | ||||
| Water purifier, bottled water, etc. | 1,159 (79.9) | 352 (20.1) | 1,159 (81.7) | 352 (18.3) | ||
| Underground water, small-scale water-supply system, tap water | 113 (62.0) | 71 (38.0) | 113 (58.3) | 71 (41.7) | ||
| Average ventilation time per day (minutes) | 0.015 | 0.062 | ||||
| <30 | 128 (67.1) | 52 (32.9) | 135 (79.0) | 45 (21.0) | ||
| ≥30, <60 | 153 (75.6) | 62 (24.4) | 154 (76.0) | 61 (24.0) | ||
| ≥60, <600 | 467 (76.6) | 157 (23.4) | 465 (77.8) | 159 (22.2) | ||
| ≥600 | 524 (82.4) | 152 (17.6) | 518 (81.5) | 158 (18.5) | ||
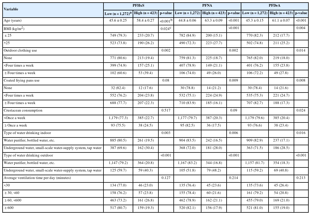
| Variable | PFHxS | PFNA | PFDeA | ||||||
|---|---|---|---|---|---|---|---|---|---|
| Low (n = 1,272)a | High (n = 423) | p-value | Low (n = 1,272) | High (n = 423) | p-value | Low (n = 1,272) | High (n = 423) | p-value | |
| Age (years) | 45.6 ± 0.25 | 58.4 ± 0.27 | <0.001b | 44.8 ± 0.06 | 63.3 ± 0.09 | <0.001 | 45.3 ± 0.15 | 61.1 ± 0.07 | <0.001 |
| BMI (kg/m2) | 0.024c | <0.001 | 0.004 | ||||||
| ≤25 | 749 (79.3) | 233 (20.7) | 782 (84.9) | 200 (15.1) | 770 (82.3) | 212 (17.7) | |||
| >25 | 523 (73.8) | 190 (26.2) | 490 (72.3) | 223 (27.7) | 502 (74.8) | 211 (25.2) | |||
| Outdoor clothing use | 0.002 | 0.002 | 0.014 | ||||||
| None | 771 (80.6) | 213 (19.4) | 759 (81.3) | 225 (18.7) | 765 (82.0) | 219 (18.0) | |||
| <Four times a week | 399 (74.9) | 157 (25.1) | 407 (78.9) | 149 (21.1) | 401 (76.2) | 155 (23.8) | |||
| ≥Four times a week | 102 (60.6) | 53 (39.4) | 106 (74.0) | 49 (26.0) | 106 (72.2) | 49 (27.8) | |||
| Coated frying pans use | 0.080 | 0.009 | 0.008 | ||||||
| None | 32 (82.4) | 12 (17.6) | 30 (78.8) | 14 (21.2) | 30 (78.4) | 14 (21.6) | |||
| <Four times a week | 552 (76.2) | 204 (23.8) | 532 (75.1) | 224 (24.9) | 535 (75.3) | 221 (24.7) | |||
| ≥Four times a week | 688 (77.7) | 207 (22.3) | 710 (83.9) | 185 (16.1) | 707 (82.7) | 188 (17.3) | |||
| Crustacean consumption | 0.517 | 0.090 | 0.024 | ||||||
| <Once a week | 1,179 (77.3) | 385 (22.7) | 1,177 (79.7) | 387 (20.3) | 1,179 (79.6) | 385 (20.4) | |||
| ≥Once a week | 93 (75.5) | 38 (24.5) | 95 (82.5) | 36 (17.5) | 93 (76.6) | 38 (23.4) | |||
| Type of water drinking indoor | 0.003 | 0.006 | 0.016 | ||||||
| Water purifier, bottled water, etc. | 885 (80.5) | 261 (19.5) | 904 (83.5) | 242 (16.5) | 909 (82.9) | 237 (17.1) | |||
| Underground water, small-scale water-supply system, tap water | 387 (69.6) | 162 (30.4) | 368 (72.0) | 181 (28.0) | 363 (71.5) | 186 (28.5) | |||
| Type of water drinking outdoor | <0.001 | <0.001 | <0.001 | ||||||
| Water purifier, bottled water, etc. | 1,147 (79.2) | 364 (20.8) | 1,167 (83.2) | 344 (16.8) | 1,157 (81.7) | 354 (18.3) | |||
| Underground water, small-scale water-supply system, tap water | 125 (59.7) | 59 (40.3) | 105 (51.8) | 79 (48.2) | 115 (59.2) | 69 (40.8) | |||
| Average ventilation time per day (minutes) | 0.127 | 0.214 | 0.213 | ||||||
| <30 | 134 (77.0) | 46 (23.0) | 135 (76.4) | 45 (23.6) | 135 (73.6) | 45 (26.4) | |||
| ≥30, <60 | 158 (76.2) | 57 (23.8) | 155 (78.4) | 60 (21.6) | 161 (79.2) | 54 (20.8) | |||
| ≥60, <600 | 463 (73.2) | 161 (26.8) | 462 (78.9) | 162 (21.1) | 455 (79.0) | 169 (21.0) | |||
| ≥600 | 517 (80.7) | 159 (19.3) | 520 (82.1) | 156 (17.9) | 521 (81.0) | 155 (19.0) | |||
Values are presented as mean ± standard error for continuous variables or number (%) for categorical variables.
PFAS: perfluoroalkyl substances; PFHxS: perfluorohexanesulfonic acid; PFNA: perfluorononanoic acid; PFDeA: perfluorodecanoic acid; BMI: body mass index.
aUnweighted count;
bp-value by t-test;
cp-value by χ2 test.
| Category | Unadjusted | Adjusteda | ||||
|---|---|---|---|---|---|---|
| None | <4 times a week | ≥4 times a week | None | <4 times a week | ≥4 times a week | |
| Men | ||||||
| PFOA | 1 | 1.55 (1.38–1.75) | 1.70 (1.65–1.75) | 1 | 1.26 (1.10–1.44) | 1.70 (1.40–2.07) |
| PFOS | 1 | 1.61 (1.26–2.05) | 1.36 (1.23–1.51) | 1 | 1.66 (1.47–1.89) | 1.57 (1.05–2.34) |
| PFHxS | 1 | 1.63 (1.32–2.01) | 1.70 (1.60–1.82) | 1 | 1.49 (1.16–1.92) | 1.70 (1.22–2.37) |
| PFNA | 1 | 1.45 (1.30–1.62) | 1.62 (1.38–1.90) | 1 | 1.34 (1.19–1.51) | 1.68 (1.38–2.05) |
| PFDeA | 1 | 1.68 (1.49–1.90) | 1.72 (1.52–1.95) | 1 | 1.62 (1.16–2.27) | 1.79 (1.59–2.02) |
| Women | ||||||
| PFOA | 1 | 1.43 (1.36–1.51) | 2.07 (1.77–2.41) | 1 | 1.32 (1.19–1.46) | 1.53 (1.01–2.32) |
| PFOS | 1 | 1.17 (1.06–1.30) | 2.43 (2.25–2.63) | 1 | 1.16 (1.08–1.25) | 1.84 (1.45–2.34) |
| PFHxS | 1 | 1.40 (1.21–1.62) | 2.70 (2.51–2.90) | 1 | 1.46 (1.08–1.96) | 2.63 (2.10–3.29) |
| PFNA | 1 | 1.17 (1.07–1.28) | 1.53 (1.42–1.65) | 1 | 1.38 (1.22–1.55) | 1.45 (1.07–1.96) |
| PFDeA | 1 | 1.42 (1.38–1.46) | 1.75 (1.21–2.54) | 1 | 1.47 (1.23–1.77) | 1.44 (1.35–1.52) |
OR: odds ratio; CI: confidence interval; PFAS: perfluoroalkyl substances; PFOA: perfluorooctanoic acid; PFOS: perfluorooctanesulfonic acid; PFHxS: perfluorohexanesulfonic acid; PFNA: perfluorononanoic acid; PFDeA: perfluorodecanoic acid.
aAdjusted for age, body mass index, marital status, smoking, hiking boots and sneakers use, coated frying pans use, coated pot use, electric cookers use, coated containers use, coated agent or polish use, grilled fish, crustacean, seaweed consumption, type of water drinking indoor, type of water drinking outdoor, average ventilation time per day.
| Category | Total (n = 2,993) |
Men (n = 1,298) | Women (n = 1,695) | p-value |
|---|---|---|---|---|
| PFAS | ||||
| PFOA | 7.66 (7.33–8.00) | 7.99 (7.53–8.45) | 7.34 (7.13–7.55) | <0.001 |
| PFOS | 18.87 (18.64–19.10) | 20.26 (19.53–20.98) | 17.48 (17.02–17.94) | <0.001 |
| PFHxS | 5.76 (5.39–6.12) | 6.42 (6.11–6.74) | 5.09 (4.68–5.50) | <0.001 |
| PFNA | 2.54 (2.52–2.57) | 2.73 (2.71–2.75) | 2.35 (2.32–2.39) | <0.001 |
| PFDeA | 1.08 (1.06–1.10) | 1.15 (1.13–1.17) | 1.01 (1.00–1.03) | <0.001 |
| Age (years) | 47.4 ± 0.13 | 46.4 ± 0.18 | 48.5 ± 0.10 | <0.001 |
| BMI (kg/m2) | 0.003 |
|||
| ≤25 | 1,577 (53.4) | 595 (46.1) | 982 (60.7) | |
| >25 | 1,416 (46.6) | 703 (53.9) | 713 (39.3) | |
| Outdoor clothing use | 0.001 | |||
| None | 1,541 (52.3) | 557 (43.7) | 984 (60.8) | |
| <Four times a week | 1,002 (32.4) | 446 (33.9) | 556 (30.9) | |
| ≥Four times a week | 450 (15.3) | 295 (22.4) | 155 (8.3) | |
| Coated frying pans use | 0.002 | |||
| None | 83 (2.5) | 39 (2.6) | 44 (2.3) | |
| <Four times a week | 1,313 (40.1) | 557 (36.9) | 756 (43.2) | |
| ≥Four times a week | 1,597 (57.4) | 702 (60.5) | 895 (54.4) | |
| Crustacean consumption | 0.076 | |||
| <Once a week | 2,753 (91.8) | 1,189 (91.6) | 1,564 (92.1) | |
| ≥Once a week | 240 (8.2) | 109 (8.4) | 131 (7.9) | |
| Type of water drinking indoor | 0.001 | |||
| Water purifier, bottled water, etc. | 2,047 (71.4) | 896 (73.5) | 1,151 (69.4) | |
| Underground water, small-scale water-supply system, tap water | 946 (28.6) | 402 (26.5) | 544 (30.6) | |
| Type of water drinking outdoor | <0.001 | |||
| Water purifier, bottled water, etc. | 2,747 (93.3) | 1,207 (95.1) | 1,540 (91.4) | |
| Underground water, small-scale water-supply system, tap water | 246 (6.7) | 91 (4.9) | 155 (8.6) | |
| Average ventilation time per day (minutes) | 0.043 | |||
| <30 | 354 (10.5) | 174 (11.3) | 180 (9.7) | |
| ≥30, <60 | 371 (11.1) | 156 (10.6) | 215 (11.4) | |
| ≥60, <600 | 1,112 (36.6) | 488 (37.7) | 624 (35.6) | |
| ≥600 | 1,156 (41.8) | 480 (40.4) | 676 (43.3) |
| Variable | PFOA | PFOS | ||||
|---|---|---|---|---|---|---|
| Low (n = 974) |
High (n = 324) | p-value | Low (n = 974) | High (n = 324) | p-value | |
| Age (years) | 43.5 ± 0.29 | 57.3 ± 0.22 | <0.001 |
43.1 ± 0.21 | 60.3 ± 0.99 | <0.001 |
| BMI (kg/m2) | 0.081 |
0.763 | ||||
| ≤25 | 460 (79.3) | 135 (20.7) | 454 (81.1) | 141 (18.9) | ||
| >25 | 514 (78.3) | 189 (21.7) | 520 (81.1) | 183 (18.9) | ||
| Outdoor clothing use | 0.004 | 0.011 | ||||
| None | 442 (83.1) | 115 (16.9) | 430 (84.6) | 127 (15.4) | ||
| <Four times a week | 319 (76.0) | 127 (24.0) | 328 (77.3) | 118 (22.7) | ||
| ≥Four times a week | 213 (74.4) | 82 (25.6) | 216 (80.1) | 79 (19.9) | ||
| Coated frying pans use | 0.086 | 0.004 | ||||
| None | 27 (82.6) | 12 (17.4) | 30 (88.2) | 9 (11.8) | ||
| <Four times a week | 429 (78.2) | 128 (21.8) | 406 (78.6) | 151 (21.4) | ||
| ≥Four times a week | 518 (79.0) | 184 (21.0) | 538 (82.3) | 164 (17.7) | ||
| Crustacean consumption | 0.001 | 0.001 | ||||
| <Once a week | 902 (80.2) | 287 (19.8) | 895 (82.1) | 294 (17.9) | ||
| ≥Once a week | 72 (63.2) | 37 (36.8) | 79 (69.7) | 30 (30.3) | ||
| Type of water drinking indoor | 0.009 | 0.006 | ||||
| Water purifier, bottled water, etc. | 688 (82.2) | 202 (17.8) | 687 (84.8) | 203 (15.2) | ||
| Underground water, small-scale water-supply system, tap water | 286 (69.3) | 122 (30.7) | 287 (71.1) | 121 (28.9) | ||
| Type of water drinking outdoor | 0.013 | 0.001 | ||||
| Water purifier, bottled water, etc. | 901 (79.4) | 290 (20.6) | 908 (82.1) | 283 (17.9) | ||
| Underground water, small-scale water-supply system, tap water | 73 (68.0) | 34 (32.0) | 66 (63.7) | 41 (36.3) | ||
| Average ventilation time per day (minutes) | 0.005 | 0.003 | ||||
| <30 | 122 (74.7) | 52 (25.3) | 123 (76.0) | 51 (24.0) | ||
| ≥30, <60 | 116 (81.9) | 40 (18.1) | 116 (84.9) | 40 (15.1) | ||
| ≥60, <600 | 373 (76.7) | 115 (23.3) | 359 (76.9) | 129 (23.1) | ||
| ≥600 | 363 (81.0) | 117 (19.0) | 376 (85.4) | 104 (14.6) | ||
| Variable | PFHxS | PFNA | PFDeA | ||||||
|---|---|---|---|---|---|---|---|---|---|
| Low (n = 974) |
High (n = 324) | p-value | Low (n = 974) | High (n = 324) | p-value | Low (n = 974) | High (n = 324) | p-value | |
| Age (years) | 44.1 ± 0.35 | 53.8 ± 0.06 | 0.002 |
43.0 ± 0.28 | 60.2 ± 0.04 | <0.001 | 43.1 ± 0.28 | 60.3 ± 0.20 | <0.001 |
| BMI (kg/m2) | 0.017 |
0.082 | 0.062 | ||||||
| ≤25 | 454 (75.1) | 141 (24.9) | 456 (81.3) | 139 (18.7) | 458 (81.4) | 137 (18.6) | |||
| >25 | 520 (76.9) | 183 (23.1) | 518 (79.7) | 185 (20.3) | 516 (80.4) | 187 (19.6) | |||
| Outdoor clothing use | 0.006 | 0.011 | <0.001 | ||||||
| None | 429 (81.1) | 128 (18.9) | 433 (84.0) | 124 (16.0) | 442 (85.3) | 115 (14.7) | |||
| <Four times a week | 326 (72.5) | 120 (27.5) | 335 (78.4) | 111 (21.6) | 326 (77.6) | 120 (22.4) | |||
| ≥Four times a week | 219 (71.6) | 76 (28.4) | 206 (76.4) | 89 (23.6) | 206 (77.1) | 89 (22.9) | |||
| Coated frying pans use | 0.155 | 0.005 | <0.001 | ||||||
| None | 29 (88.5) | 10 (11.5) | 26 (82.4) | 13 (17.6) | 31 (89.4) | 8 (10.6) | |||
| <Four times a week | 422 (75.7) | 135 (24.3) | 405 (77.7) | 152 (22.3) | 403 (77.0) | 154 (23.0) | |||
| ≥Four times a week | 523 (75.7) | 179 (24.3) | 543 (82.0) | 159 (18.0) | 540 (82.9) | 162 (17.1) | |||
| Crustacean consumption | 0.011 | 0.001 | <0.001 | ||||||
| <Once a week | 900 (77.7) | 289 (22.3) | 894 (82.0) | 295 (18.0) | 897 (82.6) | 292 (17.4) | |||
| ≥Once a week | 74 (58.5) | 35 (41.5) | 80 (63.4) | 29 (36.6) | 77 (62.1) | 32 (37.9) | |||
| Type of water drinking indoor | 0.009 | 0.003 | 0.004 | ||||||
| Water purifier, bottled water, etc. | 677 (78.1) | 213 (21.9) | 695 (84.4) | 195 (15.6) | 697 (85.0) | 193 (15.0) | |||
| Underground water, small-scale water-supply system, tap water | 297 (70.6) | 111 (29.4) | 279 (69.5) | 129 (30.5) | 277 (69.7) | 131 (30.3) | |||
| Type of water drinking outdoor | 0.001 | 0.002 | 0.003 | ||||||
| Water purifier, bottled water, etc. | 894 (76.6) | 297 (23.4) | 908 (81.4) | 283 (18.6) | 908 (81.9) | 283 (18.1) | |||
| Underground water, small-scale water-supply system, tap water | 80 (66.1) | 27 (33.9) | 66 (62.9) | 41 (37.1) | 66 (62.9) | 41 (37.1) | |||
| Average ventilation time per day (minutes) | 0.006 | 0.008 | 0.052 | ||||||
| <30 | 125 (71.1) | 49 (28.9) | 119 (73.8) | 55 (26.2) | 125 (77.2) | 49 (22.8) | |||
| ≥30, <60 | 117 (83.8) | 39 (16.2) | 119 (85.0) | 37 (15.0) | 116 (83.2) | 40 (16.8) | |||
| ≥60, <600 | 362 (71.6) | 126 (28.4) | 369 (78.6) | 119 (21.4) | 361 (78.3) | 127 (21.7) | |||
| ≥600 | 370 (79.6) | 110 (20.4) | 367 (82.8) | 113 (17.2) | 372 (83.6) | 108 (16.4) | |||
| Variable | PFOA | PFOS | ||||
|---|---|---|---|---|---|---|
| Low (n = 1,272) |
High (n = 423) | p-value | Low (n = 1,272) | High (n = 423) | p-value | |
| Age (years) | 44.9 ± 0.15 | 61.5 ± 0.07 | <0.001 |
44.8 ± 0.03 | 62.7 ± 0.06 | <0.001 |
| BMI (kg/m2) | <0.001 |
0.004 | ||||
| ≤25 | 775 (83.0) | 207 (17.0) | 779 (82.8) | 203 (17.2) | ||
| >25 | 497 (70.5) | 216 (29.5) | 493 (73.9) | 220 (26.1) | ||
| Outdoor clothing use | 0.002 | <0.001 | ||||
| None | 769 (81.1) | 215 (18.9) | 759 (81.5) | 225 (18.5) | ||
| <Four times a week | 400 (75.0) | 156 (25.0) | 412 (79.0) | 144 (21.0) | ||
| ≥Four times a week | 103 (67.5) | 52 (32.5) | 101 (64.5) | 54 (35.5) | ||
| Coated frying pans use | 0.007 | 0.040 | ||||
| None | 31 (78.2) | 13 (21.8) | 28 (77.6) | 16 (22.4) | ||
| <Four times a week | 540 (72.2) | 216 (27.8) | 535 (75.8) | 221 (24.2) | ||
| ≥Four times a week | 701 (82.8) | 194 (17.2) | 709 (82.1) | 186 (17.9) | ||
| Crustacean consumption | 0.792 | 0.213 | ||||
| <Once a week | 1,182 (78.1) | 382 (21.9) | 1,178 (79.5) | 386 (20.5) | ||
| ≥Once a week | 90 (78.2) | 41 (21.8) | 94 (77.5) | 37 (22.5) | ||
| Type of water drinking indoor | 0.004 | 0.006 | ||||
| Water purifier, bottled water, etc. | 893 (80.5) | 253 (19.5) | 905 (82.9) | 241 (17.1) | ||
| Underground water, small-scale water-supply system, tap water | 379 (72.8) | 170 (27.2) | 367 (71.2) | 182 (28.8) | ||
| Type of water drinking outdoor | 0.002 | 0.002 | ||||
| Water purifier, bottled water, etc. | 1,159 (79.9) | 352 (20.1) | 1,159 (81.7) | 352 (18.3) | ||
| Underground water, small-scale water-supply system, tap water | 113 (62.0) | 71 (38.0) | 113 (58.3) | 71 (41.7) | ||
| Average ventilation time per day (minutes) | 0.015 | 0.062 | ||||
| <30 | 128 (67.1) | 52 (32.9) | 135 (79.0) | 45 (21.0) | ||
| ≥30, <60 | 153 (75.6) | 62 (24.4) | 154 (76.0) | 61 (24.0) | ||
| ≥60, <600 | 467 (76.6) | 157 (23.4) | 465 (77.8) | 159 (22.2) | ||
| ≥600 | 524 (82.4) | 152 (17.6) | 518 (81.5) | 158 (18.5) | ||
| Variable | PFHxS | PFNA | PFDeA | ||||||
|---|---|---|---|---|---|---|---|---|---|
| Low (n = 1,272) |
High (n = 423) | p-value | Low (n = 1,272) | High (n = 423) | p-value | Low (n = 1,272) | High (n = 423) | p-value | |
| Age (years) | 45.6 ± 0.25 | 58.4 ± 0.27 | <0.001 |
44.8 ± 0.06 | 63.3 ± 0.09 | <0.001 | 45.3 ± 0.15 | 61.1 ± 0.07 | <0.001 |
| BMI (kg/m2) | 0.024 |
<0.001 | 0.004 | ||||||
| ≤25 | 749 (79.3) | 233 (20.7) | 782 (84.9) | 200 (15.1) | 770 (82.3) | 212 (17.7) | |||
| >25 | 523 (73.8) | 190 (26.2) | 490 (72.3) | 223 (27.7) | 502 (74.8) | 211 (25.2) | |||
| Outdoor clothing use | 0.002 | 0.002 | 0.014 | ||||||
| None | 771 (80.6) | 213 (19.4) | 759 (81.3) | 225 (18.7) | 765 (82.0) | 219 (18.0) | |||
| <Four times a week | 399 (74.9) | 157 (25.1) | 407 (78.9) | 149 (21.1) | 401 (76.2) | 155 (23.8) | |||
| ≥Four times a week | 102 (60.6) | 53 (39.4) | 106 (74.0) | 49 (26.0) | 106 (72.2) | 49 (27.8) | |||
| Coated frying pans use | 0.080 | 0.009 | 0.008 | ||||||
| None | 32 (82.4) | 12 (17.6) | 30 (78.8) | 14 (21.2) | 30 (78.4) | 14 (21.6) | |||
| <Four times a week | 552 (76.2) | 204 (23.8) | 532 (75.1) | 224 (24.9) | 535 (75.3) | 221 (24.7) | |||
| ≥Four times a week | 688 (77.7) | 207 (22.3) | 710 (83.9) | 185 (16.1) | 707 (82.7) | 188 (17.3) | |||
| Crustacean consumption | 0.517 | 0.090 | 0.024 | ||||||
| <Once a week | 1,179 (77.3) | 385 (22.7) | 1,177 (79.7) | 387 (20.3) | 1,179 (79.6) | 385 (20.4) | |||
| ≥Once a week | 93 (75.5) | 38 (24.5) | 95 (82.5) | 36 (17.5) | 93 (76.6) | 38 (23.4) | |||
| Type of water drinking indoor | 0.003 | 0.006 | 0.016 | ||||||
| Water purifier, bottled water, etc. | 885 (80.5) | 261 (19.5) | 904 (83.5) | 242 (16.5) | 909 (82.9) | 237 (17.1) | |||
| Underground water, small-scale water-supply system, tap water | 387 (69.6) | 162 (30.4) | 368 (72.0) | 181 (28.0) | 363 (71.5) | 186 (28.5) | |||
| Type of water drinking outdoor | <0.001 | <0.001 | <0.001 | ||||||
| Water purifier, bottled water, etc. | 1,147 (79.2) | 364 (20.8) | 1,167 (83.2) | 344 (16.8) | 1,157 (81.7) | 354 (18.3) | |||
| Underground water, small-scale water-supply system, tap water | 125 (59.7) | 59 (40.3) | 105 (51.8) | 79 (48.2) | 115 (59.2) | 69 (40.8) | |||
| Average ventilation time per day (minutes) | 0.127 | 0.214 | 0.213 | ||||||
| <30 | 134 (77.0) | 46 (23.0) | 135 (76.4) | 45 (23.6) | 135 (73.6) | 45 (26.4) | |||
| ≥30, <60 | 158 (76.2) | 57 (23.8) | 155 (78.4) | 60 (21.6) | 161 (79.2) | 54 (20.8) | |||
| ≥60, <600 | 463 (73.2) | 161 (26.8) | 462 (78.9) | 162 (21.1) | 455 (79.0) | 169 (21.0) | |||
| ≥600 | 517 (80.7) | 159 (19.3) | 520 (82.1) | 156 (17.9) | 521 (81.0) | 155 (19.0) | |||
| Category | Unadjusted | Adjusted |
||||
|---|---|---|---|---|---|---|
| None | <4 times a week | ≥4 times a week | None | <4 times a week | ≥4 times a week | |
| Men | ||||||
| PFOA | 1 | 1.55 (1.38–1.75) | 1.70 (1.65–1.75) | 1 | 1.26 (1.10–1.44) | 1.70 (1.40–2.07) |
| PFOS | 1 | 1.61 (1.26–2.05) | 1.36 (1.23–1.51) | 1 | 1.66 (1.47–1.89) | 1.57 (1.05–2.34) |
| PFHxS | 1 | 1.63 (1.32–2.01) | 1.70 (1.60–1.82) | 1 | 1.49 (1.16–1.92) | 1.70 (1.22–2.37) |
| PFNA | 1 | 1.45 (1.30–1.62) | 1.62 (1.38–1.90) | 1 | 1.34 (1.19–1.51) | 1.68 (1.38–2.05) |
| PFDeA | 1 | 1.68 (1.49–1.90) | 1.72 (1.52–1.95) | 1 | 1.62 (1.16–2.27) | 1.79 (1.59–2.02) |
| Women | ||||||
| PFOA | 1 | 1.43 (1.36–1.51) | 2.07 (1.77–2.41) | 1 | 1.32 (1.19–1.46) | 1.53 (1.01–2.32) |
| PFOS | 1 | 1.17 (1.06–1.30) | 2.43 (2.25–2.63) | 1 | 1.16 (1.08–1.25) | 1.84 (1.45–2.34) |
| PFHxS | 1 | 1.40 (1.21–1.62) | 2.70 (2.51–2.90) | 1 | 1.46 (1.08–1.96) | 2.63 (2.10–3.29) |
| PFNA | 1 | 1.17 (1.07–1.28) | 1.53 (1.42–1.65) | 1 | 1.38 (1.22–1.55) | 1.45 (1.07–1.96) |
| PFDeA | 1 | 1.42 (1.38–1.46) | 1.75 (1.21–2.54) | 1 | 1.47 (1.23–1.77) | 1.44 (1.35–1.52) |
Values are presented as mean (95% confidence interval), number (%) for categorical variables or as mean ± standard error for continuous variables. PFAS: perfluoroalkyl substances; PFOA: perfluorooctanoic acid; PFOS: perfluorooctanesulfonic acid; PFHxS: perfluorohexanesulfonic acid; PFNA: perfluorononanoic acid; PFDeA: perfluorodecanoic acid; BMI: body mass index. Unweighted count;
Values are presented as mean ± standard error for continuous variables or number (%) for categorical variables. PFAS: perfluoroalkyl substances; PFOA: perfluorooctanoic acid; PFOS: perfluorooctanesulfonic acid; BMI: body mass index. Unweighted count;
Values are presented as mean ± standard error for continuous variables or number (%) for categorical variables. PFAS: perfluoroalkyl substances; PFHxS: perfluorohexanesulfonic acid; PFNA: perfluorononanoic acid; PFDeA: perfluorodecanoic acid; BMI: body mass index. Unweighted count;
Values are presented as mean ± standard error for continuous variables or number (%) for categorical variables. PFAS: perfluoroalkyl substances; PFOA: perfluorooctanoic acid; PFOS: perfluorooctanesulfonic acid; BMI: body mass index. Unweighted count;
Values are presented as mean ± standard error for continuous variables or number (%) for categorical variables. PFAS: perfluoroalkyl substances; PFHxS: perfluorohexanesulfonic acid; PFNA: perfluorononanoic acid; PFDeA: perfluorodecanoic acid; BMI: body mass index. Unweighted count;
OR: odds ratio; CI: confidence interval; PFAS: perfluoroalkyl substances; PFOA: perfluorooctanoic acid; PFOS: perfluorooctanesulfonic acid; PFHxS: perfluorohexanesulfonic acid; PFNA: perfluorononanoic acid; PFDeA: perfluorodecanoic acid. Adjusted for age, body mass index, marital status, smoking, hiking boots and sneakers use, coated frying pans use, coated pot use, electric cookers use, coated containers use, coated agent or polish use, grilled fish, crustacean, seaweed consumption, type of water drinking indoor, type of water drinking outdoor, average ventilation time per day.
